Русский язык 9 класс учебник Бархударов, Крючков ответы – номер 467

  • Тип: ГДЗ, Решебник.
  • Авторы: Бархударов С. Г., Крючков С. Е., Максимов Л.Ю. и др.
  • Без частей.
  • Год: 2025.
  • Серия: Школа России (ФГОС).
  • Издательство: Просвещение.

Номер 467.

Спишите, соблюдая правила правописания. Поставьте слова из скобок в нужную грамматическую форму. Подчеркните предлоги.

   Добраться до (пристань), встать до (рассвет), остановиться у (вокзал), гулять по (аллея), приехать через (неделя), забыть по (рассеянность), кричать от (боль), книга для (чтение), идти (на)встречу (ветер), сидеть (во)круг костра, не явиться (из)за (болезнь), выглядывать (из)под (ветвь), броситься (на)перерез (зверь), задержаться (в)следстви.. (ураган), отсутствовать (в)течени.. месяца, знать благодаря (отец), выполнить согласно (решение), изменилась вопреки (предсказание).

Расскажите о строении и грамматическом значении первых трёх словосочетаний.

Ответ:

   Добраться до пристани (р. п.), встать до рассвета (р. п.), остановиться у вокзала (р. п.), гулять по аллее (д. п.), приехать через неделю (в. п.), забыть по рассеянности (д. п.), кричать от боли (р. п.), книга для чтения (р. п.), идти навстречу ветру (д. п.), сидеть вокруг костра (р. п.), не явиться из-за болезни (р. п.), выглядывать из-под ветви (р. п.), броситься наперерез зверю (д. п.), задержаться вследствие урагана (р. п.), отсутствовать в течение месяца (р. п.), знать благодаря отцу (д. п.), выполнить согласно решению (д. п.), изменилась вопреки предсказанию (д. п.).

Русский язык 9 класс учебник Бархударов, Крючков. Номер 467. 2025 год.

   – глагольное словосочетание, тип связи – глагольное управление, средства связи – окончание -и зависимого слова и предлог до (форма родительного падежа). Обстоятельственное грамматическое значение.

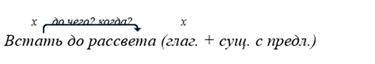
Русский язык 9 класс учебник Бархударов, Крючков. Номер 467. 2025 год.

   – глагольное словосочетание, тип связи – глагольное управление, средства связи – окончание -а зависимого слова и предлог до (форма родительного падежа). Обстоятельственное грамматическое значение.

Русский язык 9 класс учебник Бархударов, Крючков. Номер 467. 2025 год.

   – глагольное словосочетание, тип связи – глагольное управление, средства связи – окончание -а зависимого слова и предлог у (форма родительного падежа). Обстоятельственное грамматическое значение.

Конец страницы
Переход на другие номера Содержание
Информация на этой странице была полезной?
0/5 (0 голосов)
Нашли ошибку на сайте? Помогите нам ее исправить!

С подпиской рекламы не будет

Подключите премиум подписку со скидкой в 40% за 149 ₽

Понравились решения?
Напишите свой комментарий.

Вам может быть интересно