Русский язык 9 класс учебник Бархударов, Крючков ответы – номер 324

  • Тип: ГДЗ, Решебник.
  • Авторы: Бархударов С. Г., Крючков С. Е., Максимов Л.Ю. и др.
  • Без частей.
  • Год: 2025.
  • Серия: Школа России (ФГОС).
  • Издательство: Просвещение.

Номер 324.

Спишите, расставляя пропущенные знаки препинания. Выполните синтаксический и пунктуационный анализ сложных предложений.

   1) Пушкин есть явление чрезвычайное и может быть единственное явление русского духа это русский человек в его развитии в каком он может быть явится через двести лет. (Н. Гоголь) 2) Явление это кажется не так трудно разрешить будучи поражены смелостью его кисти и волшебством картин все читатели его образованные и необразованные требовали наперерыв чтобы отечественные и исторические происшествия сделались предметом его поэзии позабывая что нельзя теми же красками которыми рисуются горы Кавказа и его вольные обитатели изобразить более спокойный и гораздо менее исполненный страстей быт русской. (Н. Гоголь) 3) Пушкин первый почувствовал что литература национальное дело первостепенной важности что она выше работы в канцеляриях и службы во дворце он первый поднял звание литератора на высоту до него недосягаемую в его глазах поэт выразитель всех чувств и дум народа он призван понять и изобразить все явления жизни. (М. Горький). 4) Пушкин наше всё Пушкин представитель всего нашего душевного особенного такого что останется нашим душевным особенным после всех столкновений с чужими, с другими мирами. (А. Григорьев) 5) Пушкин так легко и весело умел нести своё творческое бремя несмотря на то что роль поэта не лёгкая и не весёлая она трагическая Пушкин вёл свою роль широким уверенным и вольным движением как большой мастер и однако у нас часто сжимается сердце при мысли о Пушкине праздничное и триумфальное шествие поэта который не мог мешать внешнему ибо дело его – внутреннее – культура это шествие слишком часто нарушалось мрачным вмешательством людей для которых печной горшок дороже Бога. (А. Блок) 6) У него (Пушкина) не было времени пройти эти пути до конца он оставлял наброски заметки краткие указания он включал сложнейшие вопросы для разработки которых потом требовались многотомные романы в рамку краткой поэмы или даже в сухой план произведения написать которое не имел досуга. (В. Брюсов) 7) Читаешь и чувствуешь здесь всё не больше и не меньше того что нужно и как можно сказать. (А. Н. Толстой)

Ответ:

Синтаксический разбор

   1) 1Пушкин есть явление чрезвычайное и, может быть, единственное явление русского духа: 2это русский человек в его развитии, 3в каком он, может быть, явится через двести лет.
        1. Повествовательное, невосклицательное, сложное (три грамматические основы), с разными видами связи. Вторая и третья предикативные части образуют сложноподчиненное предложение с придаточным определительным (средство связи – союзное слово в каком) и вместе поясняют первую предикативную часть, способ связи бессоюзный.
        2. 1. Двусоставное, полное, распространенное, осложнено однородными сказуемыми и вводным словом. 2. Главное: двусоставное, неполное (опущено подлежащее Пушкин), распространенное, неосложненное. 3. Придаточное определительное: двусоставное, неполное (опущено дополнение в развитии), распространенное, осложнено вводным словом.
        3. 1[– = и =]: 2[=], 3(в каком – =).

   2) 1Явление это, кажется, не так трудно разрешить: 2будучи поражены смелостью его кисти и волшебством картин, все читатели его, образованные и необразованные, требовали наперерыв, 3чтобы отечественные и исторические происшествия сделались предметом его поэзии, 2позабывая, 4что нельзя теми же красками, 5которыми рисуются горы Кавказа и его вольные обитатели, 4изобразить более спокойный и гораздо менее исполненный страстей быт русской.
        1. Повествовательное, невосклицательное, сложное (5 грамматических основ), с разными видами связи. 2–5 предикативные части образуют сложноподчиненное предложение с неоднородным и последовательным подчинением придаточных (средства связи – союзы что, чтобы, союзное слово которыми). Это предложение поясняет первую предикативную основу, способ связи бессоюзный.
        2. 1. Односоставное, безличное, полное, распространенное, осложнено вводным словом. 2. Главное: двусоставное, полное, распространенное, осложнено обособленными обстоятельствами, выраженными деепричастным оборотом и одиночным деепричастием, обособленными однородными определениями. 3. Придаточное изъяснительное: двусоставное, полное, распространенное, осложнено однородными определениями. 4. Придаточное изъяснительное (первой степени): односоставное, безличное, полное, распространенное, осложнено однородными определениями. 5. Придаточное определительное (второй степени): двусоставное, полное, распространенное, осложнено однородными подлежащими.
        3. 1[=]: 2[– =, 3(чтобы – =), дееприч.], 4(что = теми + сущ., 5(которыми = – и –), …).

   3) 1Пушкин первый почувствовал, 2что литературанациональное дело первостепенной важности, 3что она выше работы в канцеляриях и службы во дворце; 4он первый поднял звание литератора на высоту до него недосягаемую: 5в его глазах поэтвыразитель всех чувств и дум народа, 6он призван понять и изобразить все явления жизни.
        1. Повествовательное, невосклицательное, сложное (6 грамматических основ), с разными видами связи. 1–3, 4–6 предложения образуют два смысловых блока, связь между ними бессоюзная (интонация перечисления). Первая-третья предикативные части образуют сложноподчиненное предложение с однородным подчинением придаточных (средство связи – союзы что). Четвертая-шестая части образуют бессоюзное сложное предложение. Пятая и шестая части поясняют первую (между собой они равны).
        2. 1. Главное: двусоставное, полное, распространенное, неосложненное. 2. Придаточное изъяснительное: двусоставное, полное, распространенное, неосложненное. 3. Придаточное изъяснительное: двусоставное, полное, распространенное, осложнено однородными дополнениями. 4. Двусоставное, полное, распространенное, неосложненное. 5. Двусоставное, полное, распространенное, осложнено однородными дополнениями. 6. Двусоставное, полное, распространенное, осложнено однородными сказуемыми.
        3. 1[– =], 2(что – =), 3(что – =); 4[– =]: 5[– =], 6[– = и =].

   4) 1Пушкин наше всё; 2Пушкин представитель всего нашего душевного, особенного, такого, 3что останется нашим душевным, особенным после всех столкновений с чужими, с другими мирами.
        1. Повествовательное, невосклицательное, сложное (3 грамматические основы), с разными видами связи. Вторая и третья предикативные части образуют сложноподчиненное предложение (средство связи – союзное слово что), которое связано с первой предикативной частью интонацией перечисления (бессоюзная связь).
        2. 1. Двусоставное, полное, распространенное, неосложненное. 2. Главное: двусоставное, полное, распространенное, осложнено однородными определениями. 3. Придаточное местоименно-определительное: двусоставное, полное, распространенное, осложнено однородными сказуемыми и определениями.
        3. 1[– =], 2[– = всего], 3(что =, =).

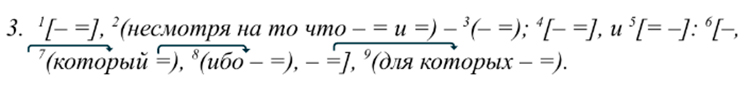
   5) 1Пушкин так легко и весело умел нести своё творческое бремя, 2несмотря на то что роль поэта не лёгкая и не весёлая 3она трагическая; 4Пушкин вёл свою роль широким, уверенным и вольным движением, как большой мастер, и, 5однако, у нас часто сжимается сердце при мысли о Пушкине: 6праздничное и триумфальное шествие поэта, 7который не мог мешать внешнему, 8ибо дело еговнутреннеекультура, 6это шествие слишком часто нарушалось мрачным вмешательством людей, 9для которых печной горшок дороже Бога.
        1. Повествовательное, невосклицательное, сложное (9 грамматических основ), с разными видами связи. 1–3 предикативные части образуют сложноподчинённое предложение с однородным подчинением придаточных (средство связи – союз что). Между придаточными связь бессоюзная, отношения противопоставления. Четвертая и пятая части образуют сложносочиненное предложение (средство связи – союз и), которое связано с предыдущим блоком бессоюзной связью (интонация перечисления). 6–9 части образуют сложноподчиненное предложение с неоднородным и последовательным подчинением придаточных (средства связи – союзные слова который и для которых, союз ибо). Это сложноподчиненное предложение раскрывает причину того, о чем говорится в пятой части, связь между ними бессоюзная.
        2. 1. Главное: двусоставное, полное, распространенное, осложнено однородными обстоятельствами. 2. Придаточное уступки: двусоставное, полное, распространенное, осложнено однородными сказуемыми. 3. Придаточное уступки: двусоставное, полное, нераспространенное, неосложненное. 4. Двусоставное, полное, распространенное, осложнено однородными определениями и обособленным сравнительным оборотом. 5. Двусоставное, полное, распространенное, осложнено вводным словом. 6. Главное: двусоставное, полное, распространенное, осложнено однородными определениями. 7. Определительное придаточное (первой степени): двусоставное, полное, распространенное, неосложненное. 8. Придаточное второй степени (причины): двусоставное, полное, распространенное, осложнено обособленным определением. 9. Определительное придаточное: двусоставное, полное, распространенное, неосложненное.

Русский язык 9 класс учебник Бархударов, Крючков. Номер 324. 2025 год.

   6) 1У него (Пушкина) не было времени пройти эти пути до конца: 2он оставлял наброски, заметки, краткие указания; 3он включал сложнейшие вопросы, 4для разработки которых потом требовались многотомные романы, 3в рамку краткой поэмы или даже в сухой план произведения, 5написать которое не имел досуга.
        1. Повествовательное, невосклицательное, сложное (5 грамматических основ), с разными видами связи. Первая и вторая предикативные части образуют сложное бессоюзное предложение, в котором вторая часть поясняет первую. 3–5 предикативные части образуют сложноподчиненное предложение с неоднородным подчинением придаточных (средства связи – союзные слова которых и которое), оно связано с первым блоком бессоюзной связью (интонация перечисления).
        2. 1. Односоставное, безличное, полное, распространенное, неосложненное. 2. Двусоставное, полное, распространенное, осложнено однородными дополнениями. 3. Главное: двусоставное, полное, распространенное, осложнено однородными обстоятельствами. 4. Придаточное определительное: двусоставное, полное, распространенное, неосложненное. 5. Придаточное определительное: двусоставное, неполное (опущено подлежащее он), распространенное, неосложненное.
        3. 1[=]: 2[– =]; 3[– = сущ., 4(которых = –), сущ.], 5(которое =).

   7) 1Читаешь и чувствуешь: 2здесь всё не больше и не меньше того, 3что нужно и 4как можно сказать.
        1. Повествовательное, невосклицательное, сложное (4 грамматические основы), с разными видами связи. 2–4 предикативные части образуют сложноподчиненное предложение с однородным подчинением придаточных (средства связи – союзные слова что и как). Между придаточными частями связь сочинительная (средство связи – союз и). Это сложное предложение дополняет первую предикативную часть, с которой связано интонацией изъяснения (связь бессоюзная).
        2. 1. Односоставное, обобщенно-личное, полное, нераспространенное, осложнено однородными сказуемыми. 2. Главное: двусоставное, полное, распространенное, неосложненное. 3. Придаточное местоименно-определительное: односоставное, безличное, полное, распространенное, неосложнённое. 4 Придаточное местоименно-определительное: односоставное, безличное, полное, распространенное, неосложненное.
        3. 1[= и =]: 2[– = и = того], 3(что =) и 4(как =).

Пунктуационный разбор

   1) 1Пушкин есть явление чрезвычайное и, может быть, (вводн. сл.) единственное явление русского духа: 2это русский человек в его развитии, 3в каком он, может быть, (вводн. сл.) явится через двести лет.
        1. Предложение повествовательное, невосклицательное, поэтому в конце стоит знак завершения точка.
        2. Предложение сложное, состоит из трех грамматических основ. Между первой и второй связь бессоюзная, отношения пояснения, поэтому их разделяет двоеточие. Между второй и третьей связь подчинительная, поэтому их разделяет запятая.
        3. Первая предикативная часть осложнена однородными сказуемыми, связанными одиночным союзом и, поэтому запятая между ними не стоит. Первая и третья предикативные части осложнены вводными словами, которые выделены запятыми.
        4. 1[– = и, вводн. сл., =]: 2[=], 3(в каком –, вводн. сл., =).

   2) 1Явление это, кажется, (вводн. сл.) не так трудно разрешить: 2будучи поражены смелостью его кисти и волшебством картин, все читатели его, образованные и необразованные, требовали наперерыв, 3чтобы отечественные и исторические происшествия сделались предметом его поэзии, 2позабывая, 4что нельзя теми же красками, 5которыми рисуются горы Кавказа и его вольные обитатели, 4изобразить более спокойный и гораздо менее исполненный страстей быт русской.
        1. Предложение повествовательное, невосклицательное, поэтому в конце стоит знак завершения точка.
        2. Предложение сложное, состоит из пяти грамматических основ. Между первой и второй связь бессоюзная, отношения пояснения, поэтому их разделяет двоеточие. Третья предикативная часть (придаточное изъяснительное), разрывает главную, поэтому выделена запятыми с двух сторон. Четвертая часть отделена от второй разделительной запятой. Пятая часть выделена запятыми с двух сторон, так как разрывает главную (четвертую основу).
        3. Первая часть осложнена вводным словом, которое выделено запятыми с двух сторон. Вторая часть осложнена обособленными обстоятельствами, выраженными деепричастным оборотом и одиночным деепричастием, которые выделены запятыми (запятые при деепричастии забывая поглощены запятыми при придаточных предложениях). Также вторая часть осложнена обособленными однородными определениями, стоящими после определяемого слова. Они выделены запятыми с двух сторон. Третья основа осложнена однородными определениями, связанными одиночным союзом и, поэтому запятая между ними не ставится. Четвертая основа осложнена однородными определениями, связанными одиночным союзом и, поэтому запятая между ними не ставится. Пятая основа осложнена однородными подлежащими, связанными одиночным союзом и, поэтому запятая между ними не ставится.
        4. 1[…, вводн. сл., =]: 2[дееприч. оборот, –, ~ и ~, =, 3(чтобы ~ и ~ – =), дееприч.], 4(что =, 5(которыми = – и –), ~ и ~].

   3) 1Пушкин первый почувствовал, 2что литература национальное дело первостепенной важности, 3что она выше работы в канцеляриях и службы во дворце; 4он первый поднял звание литератора на высоту до него недосягаемую: 5в его глазах поэт выразитель всех чувств и дум народа, 6он призван понять и изобразить все явления жизни.
        1. Предложение повествовательное, невосклицательное, поэтому в конце стоит знак завершения точка.
        2. Предложение сложное, состоит из 6 предикативных частей. Между первой. второй и третьей частями стоят разделительные запятые. Между третьей и четвертой стоит разделительная точка с запятой, так как связь между смысловыми блоками бессоюзная, средство связи – интонация перечисления. Пятая часть поясняет четвертую, связь бессоюзная, поэтому их разделяет двоеточие. Пятую и шестую части разделяет запятая, так как между ними бессоюзная связь, средство связи – интонация перечисления.
        3. Между подлежащими и сказуемыми во втором и шестом предложениях стоят тире, так как сказуемые выражены существительными в именительном падеже.
        4. Между однородными членами в третьей, пятой и шестой частях не стоят запятые, так как они связаны одиночными союзами и.
        5. 1[- =], 2(что – - =), 3(что – = -- и --); 4[- =]: 5[- =], 6[- = и =].

   4) 1Пушкин наше всё; 2Пушкин представитель всего нашего душевного, особенного, такого, 3что останется нашим душевным, особенным после всех столкновений с чужими, с другими мирами.
        1. Предложение повествовательное, невосклицательное, поэтому в конце стоит знак завершения точка.
        2. Предложение сложное, состоит из трех грамматических основ. Между первой и второй связь бессоюзная, средство связи – интонация перечисления, поэтому они разделены точкой с запятой. Вторую и третью части разделяет запятая перед подчинительным союзом что.
        3. В первой и второй частях между подлежащими и сказуемым стоят тире, так как сказуемые выражены именными частями речи в форме именительного падежа. Вторая основа осложнена однородными определениями, связанными только интонацией перечисления, поэтому их разделяют запятые. Третья основа осложнена однородными сказуемыми и однородными определениями, которые также разделены запятыми, потому что между ними нет союзов.
        4. 1[– - =], 2[– - = ~, ~, ~], 3(что =, = ~, ~).

   5) 1Пушкин так легко и весело умел нести своё творческое бремя, 2несмотря на то что роль поэта не лёгкая и не весёлая 3она трагическая; 4Пушкин вёл свою роль широким, уверенным и вольным движением, как большой мастер, и, 5однако, у нас часто сжимается сердце при мысли о Пушкине: 6праздничное и триумфальное шествие поэта, 7который не мог мешать внешнему, 8ибо дело его – внутреннеекультура,6это шествие слишком часто нарушалось мрачным вмешательством людей, 9для которых печной горшок дороже Бога.
        1. Предложение повествовательное, невосклицательное, поэтому в конце стоит знак завершения точка.
        2. Предложение сложное, состоит из 9 грамматических частей. Первая и вторая части разделены запятой перед подчинительным союзом несмотря на то что. Между второй и третьей основами связь бессоюзная, отношения противопоставления, поэтому их разделяет тире. Между третьей и четвертой частями связь бессоюзная, это граница смысловых блоков, поэтому их разделяет точка с запятой. Между четвертой и пятой частями связь сочинительная, поэтому перед союзом и стоит разделительная запятая. Между пятой и шестой частями связь бессоюзная, отношения пояснения или причины, поэтому их разделяет двоеточие. Седьмое предложение (определительное придаточное) разрывает главное (шестое), поэтому выделено запятыми с двух сторон. Восьмое предложение отделено от седьмого запятой перед подчинительным союзом ибо. От шестого предложения оно отделено тире, которое обозначает границы главной основы. Девятое предложение отделено от шестого разделительной запятой перед союзным словом для которых.
        3. Первая часть осложнена однородными обстоятельствами, связанными одиночным союзом и, поэтому запятая между ними не ставится. Вторая часть осложнена однородными сказуемыми, связанными одиночным союзом и, поэтому запятая между ними не ставится. Четвертая часть осложнена однородными определениями, связанными бессоюзной и сочинительной связью, поэтому между первым и вторым определениями стоит разделительная запятая. Также четвертая часть осложнена обособленным сравнительным оборотом, который выделен запятой. Пятая часть осложнена вводным словом, которое выделено запятыми с двух сторон. Шестая часть осложнена однородными определениями, связанными одиночным союзом и, поэтому запятая между ними не ставится. Восьмая часть осложнена обособленным определением с добавочным пояснительным значением, оно выделено тире с двух сторон.
        4. 1[– –·– и –·– =], 2(несмотря на то что – = и =) – 3(– =); 4[– = ~, ~ и ~, сравн. оборот], и, 5[вводн. сл.,= –]: 6[~ и ~ –, 7(который =), 8(ибо – – ~ – =),– – =], 9(для которых – =).

   6) 1У него (Пушкина) не было времени пройти эти пути до конца: 2он оставлял наброски, заметки, краткие указания; 3он включал сложнейшие вопросы, 4для разработки которых потом требовались многотомные романы, 3в рамку краткой поэмы или даже в сухой план произведения, 5написать которое не имел досуга.
        1. Предложение повествовательное, невосклицательное, поэтому в конце стоит знак завершения точка.
        2. Предложение сложное, состоит из пяти грамматических основ. Между первой и второй частями связь бессоюзная, отношения пояснения, поэтому их разделяет двоеточие. Между второй и третьей частями связь бессоюзная, это граница смысловых блоков, поэтому между ними стоит разделительная точка с запятой. Четвертое предложение (придаточное определительное) разрывает главное (третье), поэтому выделено запятыми с двух сторон. Пятая основа отделена от четвертой разделительной запятой перед словосочетанием с союзным словом «написать которое».
        3. Вторая основа осложнена однородными дополнениями, связанными только интонацией перечисления, поэтому между ними стоят разделительные запятые.
        4. 1[=]: 2[– = ––, ––, ––]; 3[– =, 4(которых = –), –– или ––], 5(которое =).

   7) 1Читаешь и чувствуешь: 2здесь всё не больше и не меньше того, 3что нужно и 4как можно сказать.
        1. Предложение повествовательное, невосклицательное, поэтому в конце предложения стоит знак завершения точка.
        2. Предложение сложное, состоит из четырех грамматических основ. Между первой и второй связь бессоюзная, отношения дополнения, поэтому их разделяет двоеточие. Между второй и третьей стоит разделительная запятая перед союзным словом что. Между третьей и четвертой частями запятая не ставится, так как это однородные придаточные, связанные союзом и.
        3. Первая и вторая части осложнены однородными сказуемыми, связанными одиночными союзами и, поэтому между ними запятые не ставятся.
        4. 1[= и =]: 2[– = и = того], 3(что =) и 4(как =).

Конец страницы
Переход на другие номера Содержание
Информация на этой странице была полезной?
0/5 (0 голосов)
Нашли ошибку на сайте? Помогите нам ее исправить!

С подпиской рекламы не будет

Подключите премиум подписку со скидкой в 40% за 149 ₽

Понравились решения?
Напишите свой комментарий.

Вам может быть интересно