Русский язык 5 класс учебник Рыбченкова, Александрова 2 часть ответы – номер 104

  • Тип: ГДЗ, Решебник.
  • Авторы: Рыбченкова Л.М., Александрова О.М., Глазков А.В., Лисицин А.Г.
  • Часть: 2.
  • Год: 2024.
  • Серия: Школа России (ФГОС).
  • Издательство: Просвещение.

Номер 104.

Бегло, не возвращаясь к прочитанному, прочитайте текст. Сформулируйте его тему.

   Доктор физико-математических наук Николай Козырев в течение многих лет занимался исследованиями Луны в Главной астрономической обсерватории АН СССР в Пулкове.
   3 ноября 1958 года Козырев зафиксировал, что из недр Луны вырываются мощные скопления газов. Астроном предположил, что это может происходить из-за вулканической активности на Луне. Однако этот вопрос долгое время оставался дискуссионным.
   <…> В 1970 году установленные на Луне сейсмографы зафиксировали сильные тектонические толчки а в 1972 году в образцах лунного грунта учёные обнаружили присутствие вулканической лавы. Так исследователи установили, что Луна – не огромный кусок мёртвого камня, а живое космическое тело. (Годнауки.рф)

1. В каких предложениях текста содержится информация, подтверждающая верность предположения учёного? Прочитайте их.
2. Верно ли, что среди прочитанных вами предложений нет простых? Свою точку зрения обоснуйте. Запишите эти предложения, расставляя пропущенные знаки препинания.

Ответ:

   Тема текста – вулканы на Луне.
Верность предположения ученого содержится в следующих предложениях:
   В 1970 году установленные на Луне сейсмографы зафиксировали сильные тектонические толчки а в 1972 году в образцах лунного грунта учёные обнаружили присутствие вулканической лавы. Так исследователи установили, что Луна – не огромный кусок мёртвого камня, а живое космическое тело.
Эти предложения являются сложными, так как в каждом из них две грамматические основы.
   1В 1970 году установленные на Луне сейсмографы зафиксировали сильные тектонические толчки, а 2в 1972 году в образцах лунного грунта учёные обнаружили присутствие вулканической лавы. 1Так исследователи установили, 2что Луна – не огромный кусок мёртвого камня, а живое космическое тело.

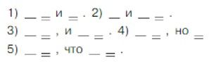
Лингвистическая задачка.

Докажите, что часть схем соответствует простым предложениям, а часть – сложным. Составьте предложения в соответствии с каждой схемой.

Русский язык 5 класс. Учебник 2 часть, Рыбченкова. Лингвистическая задача, 2023 г.
Ответ:

   В первом и втором предложениях перед союзами и не стоят запятые, значит, они соединяют однородные члены – это простые предложения с однородными сказуемыми (1) и подлежащими (2). В третьем предложении союз и стоит между двумя грамматическими основами, перед ним мы видим запятую, значит, это сложное предложение с двумя грамматическими основами. Определить, простое или сложное предложение показано в четвертой схеме при отсутствии скобок невозможно, так как союз но может соединять как однородные сказуемые, так и части сложного предложения, одна из которых будет двусоставной, а другая односоставной. Пятое предложение однозначно сложное, так как в нем есть подчинительный союз что.
   1) Дети долго прыгали на батуте и сильно устали. 2) Бабушки и дедушки часто балуют своих внуков.
3) 1Дождь шел весь день, и 2земля уже не впитывала влагу. 4) Кабинет был мал, но уютен. / 1Кабинет был мал, но 2там всегда было уютно. 5) 1Учитель сказал, 2что завтра мы пойдем в театр.

Конец страницы
Переход на другие страницы Содержание
Информация на этой странице была полезной?
0/5 (0 голосов)
Нашли ошибку на сайте? Помогите нам ее исправить!

С подпиской рекламы не будет

Подключите премиум подписку со скидкой в 40% за 149 ₽

Понравились решения?
Напишите свой комментарий.

Вам может быть интересно