Математика 6 класс учебник Виленкин, Жохов 1 часть ответы – номер 2.314

alt
  • Тип: ГДЗ, Решебник.
  • Авторы: Виленкин Н.Я., Жихов В.И., Чесноков А.С. и др.
  • Часть: 1.
  • Год: 2023-2024.
  • Серия: Школа России (ФГОС).
  • Издательство: Просвещение.

Номер 2.314.

Найдите корень уравнения:

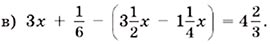
а) 11,4b − (2,7b + 3,2b) + 2,35 = 6,2; б) 15d − (12,1d − 0,7d) + 5,6 = 20; в) 3x + 1/6 − (3 1/2x − 1 1/4x) = 4 2/3.

Ответ:

а) 11,4b – (2,7b + 3,2b) + 2,35 = 6,2; 11,4b – 5,9b = 6,2 – 2,35; 5,5b = 3,85; b = 3,85 : 5,5; b = 38,5 : 55; b = 0,7.

математика 6 класс Виленкин, Жохов - 1 часть Номер 2.314

Ответ: b = 0,7.
Проверка: 11,4 · 0,7 − (2,7 · 0,7 + 3,2 · 0,7) + 2,35 = 6,2 1) 2,7 · 0,7 + 3,2 · 0,7 = (2,7 + 3,2) · 0,7 = 5,9 · 0,7 2) 11,4 · 0,7 − 5,9 · 0,7 = (11,4 − 5,9) · 0,7 = 5,5 · 0,7 = 3,85 3) 3,85 + 2,35 = 6,2 Уравнение решено верно.
б) 15d – (12,1d – 0,7d) + 5,6 = 20; 15d – 11,4d = 20 − 5,6; 3,6d = 14,4; d = 14,4 : 3,6; d = 144 : 36; d = 4.

математика 6 класс Виленкин, Жохов - 1 часть Номер 2.314

Ответ: d = 4.
Проверка: 15 · 4 − (12,1 · 4 – 0,7 · 4) + 5,6 = 20 1) 12,1 · 4 – 0,7 · 4 = (12,1 – 0,7) · 4 = 11,4 · 4 = 45,6 2) 15 · 4 – 45,6 = 60 – 45,6 = 14,4 3) 14,4 + 5,6 = 20 Уравнение решено верно.
в) 3x + 1/6 − (3 1⁽²/2x − 1 1/4x) = 4 2/3 3x − (3 2/4x − 1 1/4x) = 4 2⁽²/31/6 3x − 2 1/4 x = 4 4/61/6 2 4/4x − 2 1/4x = 4 3/6 3/4x = 4 1/2 x = 9/23/4 x = 9/2 · 4/3 x = ³̶9̶ · ̶4̶²/₁ ̶2̶ · ̶3̶ ₁ x = 6
Ответ: х = 6.
Проверка: 3 · 6 + 1/6 − (3 1⁽²/2 · 6 − 1 1/4 · 6) = 4 2/3 1) 3 1⁽²/2 · 6 − 1 1/4 · 6 = (3 1⁽²/2 − 1 1/4) · 6 = (3 2/4 − 1 1/4) · 6 = 2 1/4 · 6 = 9/4 · 6 = 54/4 = 27/2 = 13 1/2 2) 3 · 6 + 1/6 = 18 + 1/6 = 18 1/6 3) 18 1/6 − 13 1⁽³/2 = 17 7/6 − 13 3/6 = 4 4/6 = 4 2/3 Уравнение решено верно.

Конец страницы
Переход на другие страницы Содержание
Информация на этой странице была полезной?
0/5 (0 голосов)
Нашли ошибку на сайте? Помогите нам ее исправить!

С подпиской рекламы не будет

Подключите премиум подписку со скидкой в 40% за 149 ₽

Понравились решения?
Напишите свой комментарий.

Вам может быть интересно