Математика 6 класс учебник Виленкин, Жохов 1 часть ответы – номер 2.306

alt
  • Тип: ГДЗ, Решебник.
  • Авторы: Виленкин Н.Я., Жихов В.И., Чесноков А.С. и др.
  • Часть: 1.
  • Год: 2023-2024.
  • Серия: Школа России (ФГОС).
  • Издательство: Просвещение.

Номер 2.306.

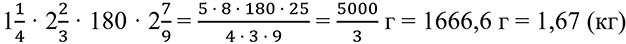
Масса 1 см3 алюминия равна 2 7/9 г. Найдите массу алюминиевой пластины, измерения которой равны 1 1/4 см, 2 2/3 см, 2 2/3 см, 1 4/5 м. Ответ округлите до сотых долей килограмма.

Ответ:

Масса 1 см3 – 2 7/9 г Измерения пластины – 1 1/4 см х 2 2/3 см х 1 4/5 м Масса пластины – ?
1 4/5 м = 1,8 м = 180 см 1) 1 1/4 · 2 2/3 · 180 = 5/4 · 8/3 · 180 = 5 · ̶8̶² · ̶1̶8̶0̶⁶⁰/₁ ̶4̶ · ̶3̶ ₁ = 5 · 2 · 60 = 600 (см3) – объём пластины; 2) 600 · 2 7/9 = 600 · 25/9 = 15 000/9 = 1666,66... (г) = 1,666...(кг) ≈ 1,67 (кг) – масса алюминиевой пластины.

математика 6 класс Виленкин, Жохов - 1 часть Номер 2.306

Ответ: 1,67 кг масса алюминиевой пластины.

Конец страницы
Переход на другие страницы Содержание
Информация на этой странице была полезной?
0/5 (0 голосов)
Нашли ошибку на сайте? Помогите нам ее исправить!

С подпиской рекламы не будет

Подключите премиум подписку со скидкой в 40% за 149 ₽

Понравились решения?
Напишите свой комментарий.

Вам может быть интересно