Математика 6 класс учебник Виленкин, Жохов 1 часть ответы – номер 2.226
- Тип: ГДЗ, Решебник.
- Авторы: Виленкин Н.Я., Жихов В.И., Чесноков А.С. и др.
- Часть: 1.
- Год: 2023-2024.
- Серия: Школа России (ФГОС).
- Издательство: Просвещение.
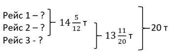
Номер 2.226.
За три рейса самосвал перевёз 20 т гравия. За первые два рейса он перевёз 14 5/12 т гравия, за последние два рейса – 13 11/20 т. Сколько тонн гравия самосвал перевёз за каждый рейс по отдельности?
Ответ:
1) 20 − 14 5/12 = 19 12/12 − 14 5/12 = 5 7/12 (т) – гравия перевезли в третий рейс;
2) 20 − 13 11/20 = 19 20/20 − 13 11/20 = 6 9/20 (т) – гравия перевезли в первый рейс;
3) 14 5⁽⁵/12 − 6 9⁽³/20 = 14 25/60 − 6 27/60 = 13 85/60 − 6 27/60 = 7 58/60 = 7 29/30 (т) – гравия перевезли во второй рейс.
Ответ: 6 9/20 т – первый рейс; 7 29/30 т – второй рейс; 5 7/12 т – третий рейс.
С подпиской рекламы не будет
Подключите премиум подписку со скидкой в 40% за 149 ₽
Напишите свой комментарий.