Математика 6 класс учебник Виленкин, Жохов 1 часть ответы – номер 1.29

alt
  • Тип: ГДЗ, Решебник.
  • Авторы: Виленкин Н.Я., Жихов В.И., Чесноков А.С. и др.
  • Часть: 1.
  • Год: 2023-2024.
  • Серия: Школа России (ФГОС).
  • Издательство: Просвещение.

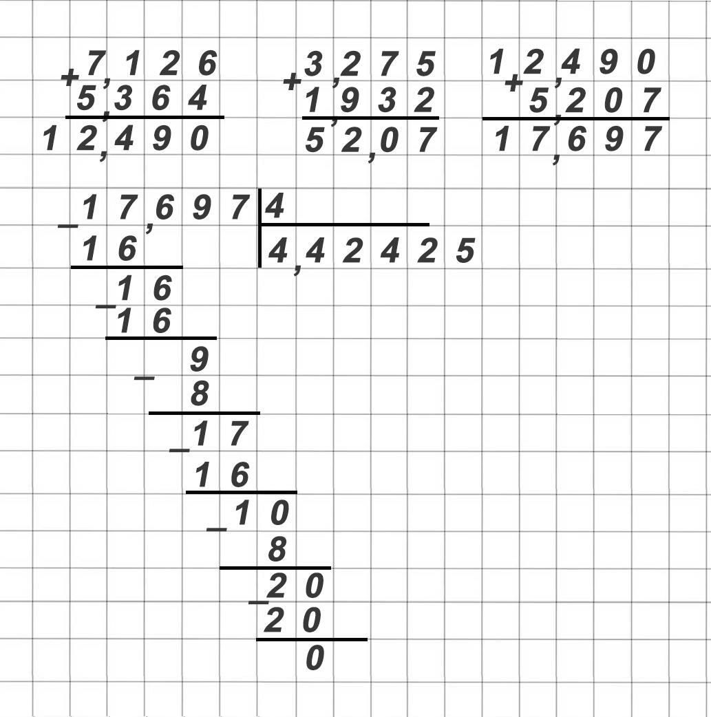
Номер 1.29.

Найдите среднее арифметическое чисел:

а) 43,25; 41,64; 38,24; 47,82 и округлите ответ до десятых;
б) 7,126; 5,364; 3,275; 1,932 и округлите ответ до тысячных.

Ответ:

а) (43,25 + 41,64 + 38,24 + 47,82) : 4 = (84,89 + 86,06) : 4 = 170,95 : 4 = 42,7375 = 42,7

математика 6 класс Виленкин, Жохов - 1 часть Номер 1.29

б) (7,126 + 5,364 + 3,275 + 1,932) : 4 = (12,490 + 5,207) : 4 = 17,697 : 4 = 4,42425 = 4,424

математика 6 класс Виленкин, Жохов - 1 часть Номер 1.29
Конец страницы
Переход на другие страницы Содержание
Информация на этой странице была полезной?
4.3/5 (6 голосов)
Нашли ошибку на сайте? Помогите нам ее исправить!

С подпиской рекламы не будет

Подключите премиум подписку со скидкой в 40% за 149 ₽

Понравились решения?
Напишите свой комментарий.

Вам может быть интересно