Математика 4 класс учебник Моро, Бантова 2 часть ответы – страница 94

  • Тип: ГДЗ, Решебник.
  • Авторы: Моро М.И., Бантова М.А., Бельтюкова Г.В. и др.
  • Часть: 2.
  • Год: 2020-2024.
  • Серия: Школа России (ФГОС).
  • Издательство: Просвещение.
Отличается задание? Переключите год учебника.
Переключение года издания

Правила о порядке выполнения действий

Номер 1.

(Устно.) Вычисли.

Ответ:

450 − 30 ∙ 4 + 70 : 10 = 450 − 120 + 7 = 330 + 7 = 337 280 : 7 + 160 ∙ 5 + 70 = 40 + 800 + 70 = 910
650 + 350 − 80 : 2 ∙ 5 = 1000 − 40 ∙ 5 = 1000 − 200 = 800 180 + 20 ∙ 6 − 75 : 25 = 180 + 120 − 3 = 297

Подсказка:

Повтори случаи устного сложения и вычитания трёхзначных чисел, а также порядок действий.

Шаг 1.
Выполняем вычисления первого столбика.

450 − 30 ∙ 4 + 70 : 10 = 450 − 120 + 7 = 330 + 7 = 337
280 : 7 + 160 ∙ 5 + 70 = 40 + 800 + 70 = 910

Шаг 2.
Выполняем вычисления второго столбика.

650 + 350 − 80 : 2 ∙ 5 = 1000 − 40 ∙ 5 = 1000 − 200 = 800
180 + 20 ∙ 6 − 75 : 25 = 180 + 120 − 3 = 297

Номер 2.

Ответ:
математика 4 класс Моро, Бантова - 2 часть страница 94, номер 2
Подсказка:

Повтори, как умножать и делить круглые числа, а также порядок действий.

Шаг 1.
Выполняем вычисления по действиям.
Пояснение к заданию 2
Шаг 2.
Оформляем задание в тетрадь.

980 – (150 + 30) : 30 = 974
1 600 + (470 – 70) ∙ 3 = 2 800
400 ∙ 3 – (750 – 550) ∙ 4 = 400
820 + (1 420 – 1 400) ∙ 8 = 980

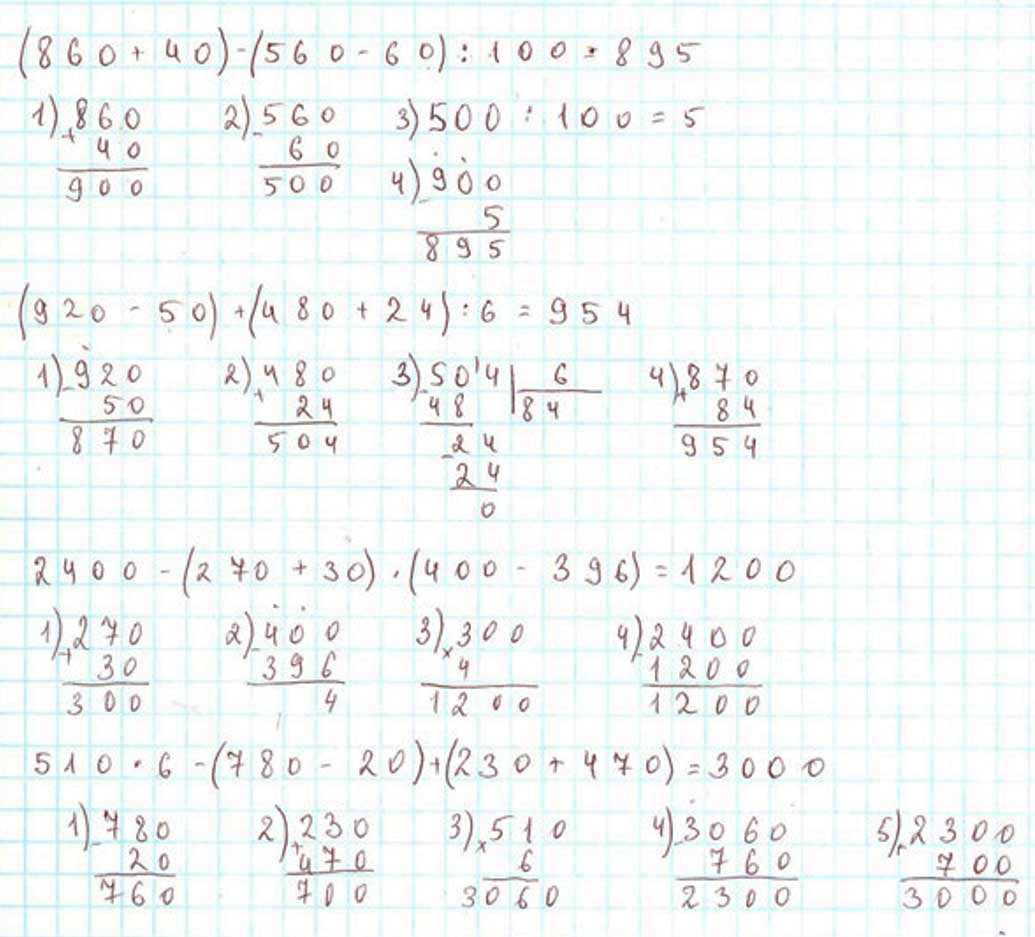
Номер 3.

Ответ:
математика 4 класс Моро, Бантова - 2 часть страница 94, номер 3
Подсказка:

Повтори случаи устного сложения и вычитания многозначных чисел, а также порядок действий.

Шаг 1.
Выполняем вычисления по действиям.
Пояснение к заданию 3
Шаг 2.
Оформляем задание в тетрадь.

(860 + 40) – (560 – 60) : 100 = 895
(920 – 50) + (480 + 24) : 6 = 786
2 400 – (270 + 30) ∙ (400 – 396) = 1 200
510 ∙ 6 – (780 – 20) + (230 + 470) = 3 000

Номер 4.

Поставь скобки, чтобы равенства были верными.

Ответ:

24 + 36 : (2 ∙ 3) = 24 + 36 : 6 = 24 + 6 = 30 (24 + 36) : 2 ∙ 3 = 60 : 2 * 3 = 30 * 3 = 90 (24 + 36 : 2) ∙ 3 = (24 + 18) * 3 = 42 * 3 = 126
(20 ∙ 9 − 6) : 3 = (180 - 6) : 3 = 174 : 3 = 58 20 ∙ (9 − 6 : 3) = 20 * (9 - 2) = 20 * 7 = 140 20 ∙ (9 − 6) : 3 = 20 * 3 : 3 = 60 : 3 = 20

Подсказка:

Повтори случаи вне табличного умножения и деления, а также порядок действий.

Шаг 1.
Поставим скобки, чтобы равенства были верны.

24 + 36 : (2 ∙ 3) = 30
1) 2 ∙ 3 = 6
2) 36 : 6 = 6
3) 24 + 6 = 30

(24 + 36) : 2 ∙ 3 = 90
1) 24 + 36 = 60
2) 60 : 2 = 30
3) 30 ∙ 3 = 90

(24 + 36 : 2) ∙ 3 = 126
1) 36 : 2 = 18
2) 24 + 18 = 42
3) 42 ∙ 3 = 126

(20 ∙ 9 − 6) : 3 = 58
1) 20 ∙ 9 = 180
2) 180 – 6 = 174
3) 174 : 3 = 58

20 ∙ (9 − 6 : 3) = 140
1) 6 : 3 = 2
2) 9 – 2 = 7
3) 20 ∙ 7 = 140

20 ∙ (9 − 6) : 3 = 20
1) 9 – 6 = 3
2) 3 : 3 = 1
3) 20 ∙ 1 = 20

Шаг 2.
Оформим задание в тетрадь.

24 + 36 : (2 ∙ 3) = 30
(24 + 36) : 2 ∙ 3 = 90
(24 + 36 : 2) ∙ 3 = 126

(20 ∙ 9 − 6) : 3 = 58
20 ∙ (9 − 6 : 3) = 140
20 ∙ (9 − 6) : 3 = 20

Номер 5.

Ответ:
математика 4 класс Моро, Бантова - 2 часть страница 94, номер 5
Подсказка:

Повтори, как называются числа при сложении, вычитании, умножении и делении.

Шаг 1.
Выполняем вычисления с объяснением.

1)
Чтобы найти уменьшаемое, нужно к разности прибавить вычитаемое:
120 + 80 = 200.
Чтобы найти вычитаемое, нужно из уменьшаемого вычесть разность:
320 – 230 = 90.
Чтобы найти первое слагаемое, нужно из суммы вычесть второе слагаемое:
290 – 90 = 200.
Чтобы найти сумму, нужно к первому слагаемому прибавить второе слагаемое:
200 + 80 = 280;
320 + 90 = 410.
Чтобы найти разность, нужно из уменьшаемого вычесть вычитаемое:
200 – 90 = 110.

2)
Чтобы найти второй множитель, нужно произведение разделить на первый множитель:
80 : 20 = 4.
Чтобы найти делимое, нужно частное умножить на делитель:
8 ∙ 5 = 40.
Чтобы найти делитель, нужно делимое разделить на частное:
80 : 8 = 10.
Чтобы найти частное, нужно делимое разделить на делитель:
20 : 4 = 5.
Чтобы найти произведение, нужно первый множитель умножить на второй множитель:
40 ∙ 5 = 200;
80 ∙ 10 = 800.

Шаг 2.
Оформим задание в тетрадь.
Пояснение к заданию 5

Номер 6.

Найди значения выражений.

Ответ:

1) а + 320     а = 320     320 + 320 = 640     а = 400     400 + 320 = 720
    а − 320     а = 320     320 − 320 = 0     а = 400     400 − 320 = 80
2) 720 ∙ b     b = 1     720 ∙ 1 = 720     b = 2     720 ∙ 2 = 1440
    720 : b     b = 1     720 : 1 = 720     b = 2     720 : 2 = 360

Подсказка:

Повтори, что такое буквенные выражения.

Шаг 1.
Поясняем.

Чтобы найти значение буквенного выражения, нужно в это выражение вместо буквы подставить данные числа и выполнить вычисления.
Если уменьшаемое и вычитаемое равны, то разность равна нулю.
Если один из двух множителей равен 1, то произведение равно другому множителю.
Если число разделить на 1, то получится число, которое делили.

Шаг 2.
Выполняем вычисления и оформляем задание в тетрадь.

1) а + 320
    а = 320
    320 + 320 = 640
    а = 400
    400 + 320 = 720

    а − 320
    а = 320
    320 − 320 = 0
    а = 400
    400 − 320 = 80

2) 720 ∙ b
    b = 1
    720 ∙ 1 = 720
    b = 2
    720 ∙ 2 = 1440

    720 : b
    b = 1
    720 : 1 = 720
    b = 2
    720 : 2 = 360

Номер 7.

Вычисли.

Ответ:

1)

математика 4 класс Моро, Бантова - 2 часть страница 94, номер 7, задание 1

2)

математика 4 класс Моро, Бантова - 2 часть страница 94, номер 7, задание 2
Подсказка:

Повтори алгоритм письменного сложения, вычитания, умножения и деления многозначных чисел, а также порядок действий.

Шаг 1.
Выполняем вычисления.
Пояснение к заданию 7
Шаг 2.
Продолжаем выполнять вычисления.
Пояснение к заданию 7
Шаг 3.
Оформляем задание в тетрадь.

Умножение и деление

Номер 1.

В каком случае сложение можно заменить умножением? Покажи на примерах.

Ответ:

Умножение - более удобный способ нахождения суммы, состоящей из одинаковых слагаемых и повторяющихся несколько раз. Например: 5 + 5 + 5 = 5 ∙ 3 – можно заменить сложение умножением, а вот 4 + 4 + 4 + 2 – нельзя заменить, потому что сложение не состоит из одного вида слагаемого.

Подсказка:

Повтори, как называются числа при сложении.

Шаг 1.
Рассуждаем.

Умножение — более удобный способ нахождения суммы, состоящей из одинаковых слагаемых и повторяющихся несколько раз.

Шаг 2.
Приведем пример.

Например:
5 + 5 + 5 = 5 ∙ 3 — можно заменить сложение умножением,
а вот 4 + 4 + 4 + 2 — нельзя заменить, потому что сложение не состоит из одного вида слагаемого.

Номер 2.

Какими знаками обозначаются умножение и деление и как называются выражения, в которых числа соединены знаком умножения? знаком деления?

Ответ:

Умножение обозначается знаком умножить “умножить” ( ∙ ). Деление обозначается знаком “разделить” ( : ). Выражения, в которых числа соединены знаком умножения, называются произведением. Выражения, в которых числа соединены знаком деления, называются частным.

Подсказка:

Повтори, как называются числа при умножении и делении.

Шаг 1.
Рассуждаем.

Умножение обозначается знаком умножить “ ∙ ”.
Выражения, в которых числа соединены знаком умножения, называются произведением.

Шаг 2.
Продолжаем рассуждения.

Деление обозначается знаком разделить “ : ”.
Выражения, в которых числа соединены знаком деления, называются частным.

Номер 3.

Покажи, как умножение можно заменить сложением.

Ответ:

7 ∙ 3 = 7 + 7 + 7 38 ∙ 4 = 38 + 38 + 38 + 38 156 ∙ 2 = 156 + 156 9 ∙ 6 = 9 + 9 + 9 + 9 + 9 + 9

Подсказка:

Повтори, как называются числа при сложении и умножении.

Шаг 1.
Рассуждаем.

Умножение — это короткая запись сложения.
Умножение можно заменить суммой одинаковых слагаемых.
Один множитель — это число, которое повторяется несколько раз, а второй множитель — это число, указывающее на количество повторений.

Шаг 2.
Продолжаем рассуждение.

7 ∙ 3 = 7 + 7 + 7
38 ∙ 4 = 38 + 38 + 38 + 38
156 ∙ 2 = 156 + 156
9 ∙ 6 = 9 + 9 + 9 + 9 + 9 + 9

Номер 4.

Вставь знак >, < или = так, чтобы получилось верное равенство или неравенство.

Ответ:

37 ∙ 4 + 5 < 37 ∙ 5 Слева число 37 умножается на 4, значит это замена сложению 37 + 37 + 37 + 37. Справа такое сложение выполняют 5 раз, то есть 37 + 37 + 37 + 37 + 37. Слева прибавляется еще 5. Получается и слева и справа 5 слагаемых, но слева 5, а справа пятым является 37. 5 < 37, значит сумма слева меньше суммы справа.
68 ∙ 7 < 68 ∙ 7 + 68 Слева 68 ∙ 7 заменяет сумму, состоящую из 7 слагаемых каждое из которых равно 68, а справа сумма состоит из 8 слагаемых тоже равных 68. Значение выражения слева меньше, чем значение выражения справа, так как справа большее число повторение слагаемых.
7 ∙ 9 = 7 ∙ 10 − 7 Слева 7 повторяют в сложении 9 раз и справа тоже, ведь выражение 7 ∙ 10 − 7 можно заменить выражением 7 ∙ 10 − 7 ∙ 1, а это равно 7 ∙ 9.

Подсказка:

Повтори, что такое равенство и неравенство.

Шаг 1.
Рассуждаем.

37 ∙ 4 + 5 < 37 ∙ 5
Слева число 37 умножается на 4, значит это замена сложению
37 + 37 + 37 + 37.
Справа такое сложение выполняют 5 раз, то есть
37 + 37 + 37 + 37 + 37.
37 ∙ 5 = 37 ∙ 4 + 37
Слева прибавляется еще 5. Получается и слева и справа 5 слагаемых, но слева 5, а справа пятым является 37.
5 < 37
37 ∙ 4 + 5 < 37 ∙ 4 + 37,
значит сумма слева меньше суммы справа.

68 ∙ 7 < 68 ∙ 7 + 68
Слева 68 ∙ 7 заменяет сумму, состоящую из 7 слагаемых каждое из которых равно 68.
Справа сумма состоит из 8 слагаемых тоже равных 68.
68 ∙ 7 + 68 = 68 ∙ 7 + 68 ∙ 1 = 68 ∙ 8
7 < 8
68 ∙ 7 < 68 ∙ 8
Значение выражения слева меньше, чем значение выражения справа, так как справа большее число повторение слагаемых.

7 ∙ 9 = 7 ∙ 10 − 7
Слева число 7 повторяют в сложении 9 раз.
Справа тоже, ведь выражение 7 ∙ 10 − 7 можно заменить выражением
7 ∙ 10 − 7 = 7 ∙ 10 − 7 ∙ 1 = 7 ∙ 9
9 = 9
7 ∙ 9 = 7 ∙ 9
Значит выражения справа и слева равны.

Шаг 2.
Оформляем задание в тетрадь.

37 ∙ 4 + 5 < 37 ∙ 5
68 ∙ 7 < 68 ∙ 7 + 68
7 ∙ 9 = 7 ∙ 10 – 7

Номер 5.

Как называются при умножении и делении данные числа и число, которое получается в результате выполнения действия?

Ответ:

При умножении числа, которые умножаем называются первый множитель и второй множитель, а результат умножения − произведение. Первый множитель ∙ второй множитель = произведение.
При делении число, которое делят, называется делимое, число, на которое делят − делитель, а результат − частное. Делимое : делитель = частное.

Подсказка:

Повтори, как называются числа при умножении и делении.

Шаг 1.
Рассуждаем.

При умножении числа, которые умножаем называются сомножителями, а результат умножения — произведение.
Например:
8 ∙ 5 = 40
8 — первый множитель
5 — второй множитель
40 — произведение

Шаг 2.
Оформляем задание в тетрадь.

При делении число, которое делят, называется делимое, число, на которое делят — делитель, а результат деления — частное.
40 : 8 = 5
40 — делимое
8 — делитель
5 — частное

Номер 6.

Прочитай, используя различные словесные формулировки, следующие равенства:

Ответ:

18 ∙ 3 = 54 1) Произведение 18 и 3 равно 54. 2) 18 умножить на 3 равно 54. 3) Если 18 умножить на 3, то получится 54. 4) Первый множитель 18, второй множитель 3, произведение 54.
128 : 4 = 32 1) 128 разделить на 4 равно 54. 2) Частное 128 и 4 равно 32. 3) Делимое 128, делитель 4, частное 32. 4) Если 128 разделить на 4, то получится 32.

Подсказка:

Повтори, как называются числа при умножении и делении, а также что такое равенства.

Шаг 1.
Рассуждаем.

18 ∙ 3 = 54
1) Произведение чисел 18 и 3 равно 54.
2) 18 умножить на 3 равно 54.
3) Если 18 умножить на 3, то получится 54.
4) Первый множитель 18, второй множитель 3, произведение 54.

Шаг 2.
Продолжаем рассуждение.

128 : 4 = 32
1) 128 разделить на 4 равно 54.
2) Частное чисел 128 и 4 равно 32.
3) Делимое 128, делитель 4, частное 32.
4) Если 128 разделить на 4, то получится 32.

Номер 7.

Составь и реши задачи на умножение и деление, используя слова: «Купили ... вещей по цене ... р.», «Сколько раз по ... содержится в ...?», «Сколько получится в каждой части, если ... разделить на ... равных частей?», «... больше в ... раз», «... меньше в ... раз», «Во сколько раз ... больше, чем ...?», «... в ... раз меньше, чем ...».

Ответ:

Задача 1: Купили 5 альбомов по цене 25 р. Узнай стоимость покупки.
5 альбомов за ? р. 1 альбом – 25 р.
25 ∙ 5 = 125 (р.) – потратили на всю покупку.
Ответ: 125 рублей составляет общая стоимость покупки.
Задача 2: В бочке 300 л воды, а в ведре 10 л. Сколько раз по 10 л содержится в 300 л?
В бочке – 300 л В ведре – 10 л ? раз по 10 л в 300 л
300 : 10 = 30 (раз) – в 300 л содержится по 10 л.
Ответ: 30 раз в 300 л содержится по 10 л.
Задача 3: Длина тесьмы 56 см. Сколько см получится в каждой части, если отрезок разделить на 7 одинаковых частей?
Длина всего – 56 см Длина 1 части – ? см = 7 кусков
56 : 7 = 8 (см) – длина каждого куска, который получился при делении отрезка в 56 см на 7 кусков.
Ответ: длина каждого из семи кусков составляет 8 см.
Задача 4: Велосипедист проехал 12 км. Ему осталось еще проехать в 2 раза больше. Сколько км велосипедист должен еще проехать?

Математика 4 класс Моро, Бантова - 2 часть страница 94, номер 7, задача 4. Год 2024.

12 ∙ 2 = 24 (км) – велосипедисту еще нужно проехать.
Ответ: 24 км всего нужно проехать велосипедисту.
Задача 5: В корзине 18 кг яблок, а груш в 3 раза меньше. Сколько кг груш в корзине?

Математика 4 класс Моро, Бантова - 2 часть страница 94, номер 7, задача 5. Год 2024.

18 : 3 = 6 (кг) – груш лежат в корзине.
Ответ: 6 кг груш всего лежат в корзине.
Задача 6: В автобусе 30 взрослых, а детей 10. Во сколько раз больше взрослых в автобусе, чем детей?

Математика 4 класс Моро, Бантова - 2 часть страница 94, номер 7, задача 6. Год 2024.

30 : 10 = 3 (раза) – во столько раз в автобусе больше взрослых, чем детей.
Ответ: в 3 раза больше человек в автобусе было взрослых, чем детей.
Задача 7: Длина прямоугольного бассейна 8 м, а ширина 3 м. Длина стороны квадратной площадки 2 м. Во сколько раз площадь площадки меньше площади бассейна?

Математика 4 класс Моро, Бантова - 2 часть страница 94, номер 7, задача 7. Год 2024.

1) 8 ∙ 3 = 24 (м²) – площадь бассейна. 2) 2 ∙ 2 = 4 (м²) – площадь площадки. 3) 24 : 4 = 6 (раз) – во столько раз площадь площадки меньше, чем площадь бассейна.
Ответ: в 6 раз площадь площадки больше площади бассейна.

Подсказка:

Повтори, как узнать во сколько раз больше или меньше, случаи вне табличного умножения, а также способы оформления краткой записи к задаче.

Задача 1.

Шаг 1.
Составляем условие задачи.

Купили 5 альбомов по цене 25 р. Узнай стоимость покупки.

Шаг 2.
Оформляем условие в виде краткой записи.

1 альбом — 25 р.
5 альбомов — ? р.

Шаг 3.
Рассуждаем.

Узнаем, сколько денег потратили на всю покупку. Для этого стоимость одного альбома умножаем на количество альбомов.
25 ∙ 5 = 125 (р.) — стоимость покупки.

Шаг 4.
Записываем ответ.

Ответ: 125 рублей потратили на всю покупку.

Задача 2.

Шаг 1.
Составляем условие задачи.

В бочке 300 л воды, а в ведре 10 л. Сколько раз по 10 л содержится в 300 л?

Шаг 2.
Оформляем условие в виде краткой записи.

В бочке — 300 л
В ведре — 10 л
? раз по 10 л в 300 л

Шаг 3.
Рассуждаем.

Узнаем, сколько раз по 10 литров содержится в 300 литрах, для этого объём бочки разделим на объём ведра.
300 : 10 = 30 (раз) — содержится.

Шаг 4.
Записываем ответ.

Ответ: 30 раз по 10 л содержится в 300 л.

Задача 3.

Шаг 1.
Составляем условие задачи.

Длина тесьмы 56 см. Сколько см получится в каждой части, если отрезок разделить на 7 одинаковых частей?

Шаг 2.
Оформляем условие в виде краткой записи.

Длина всего — 56 см
Частей — 7 шт.
Длина 1 части — ? см

Шаг 3.
Рассуждаем.

Чтобы узнать, сколько см получится в каждой части, если отрезок разделить на 7 одинаковых частей, нужно длину всей тесьмы разделить на 7.
56 : 7 = 8 (см) — длина одной части.

Шаг 4.
Записываем ответ.

Ответ: 8 см длина каждой части.

Задача 4.

Шаг 1.
Составляем условие задачи.

Велосипедист проехал 12 км. Ему осталось еще проехать в 2 раза больше. Сколько км велосипедист должен еще проехать?

Шаг 2.
Оформляем условие в виде краткой записи.
Пояснение к заданию 7
Шаг 3.
Рассуждаем.

Узнаем, сколько еще км нужно проехать велосипедисту.
12 ∙ 2 = 24 (км) — нужно проехать.

Шаг 4.
Записываем ответ.

Ответ: 24 км велосипедисту еще нужно проехать.

Задача 5.

Шаг 1.
Составляем условие задачи.

В корзине 18 кг яблок, а груш в 3 раза меньше. Сколько кг груш в корзине?

Шаг 2.
Оформляем условие в виде краткой записи.
Пояснение к заданию 7
Шаг 3.
Рассуждаем.

Узнаем, сколько кг груш лежит в корзине.
18 : 3 = 6 (кг) — груш.

Шаг 4.
Записываем ответ.

Ответ: 6 кг груш лежит в корзине.

Задача 6.

Шаг 1.
Составляем условие задачи.

В автобусе 30 взрослых, а детей 10. Во сколько раз больше взрослых в автобусе, чем детей?

Шаг 2.
Оформляем условие в виде краткой записи.
Пояснение к заданию 7
Шаг 3.
Рассуждаем.

Узнаем, во сколько раз в автобусе больше взрослых, чем детей. Для этого количество взрослых разделим на количество детей.
30 : 10 = 3 (раза) — во столько раз больше.

Шаг 4.
Записываем ответ.

Ответ: в автобусе в 3 раза больше взрослых, чем детей.

Задача 7.

Шаг 1.
Составляем условие задачи.

Длина прямоугольного бассейна 8 м, а ширина 3 м. Длина стороны квадратной площадки 2 м. Во сколько раз площадь площадки меньше площади бассейна?

Шаг 2.
Оформляем условие в виде краткой записи.
Пояснение к заданию 7
Шаг 3.
Рассуждаем.

Вычислим площадь бассейна, для этого умножим длину бассейна на его ширину.
8 ∙ 3 = 24 (м²) — площадь бассейна.

Шаг 4.
Продолжаем рассуждение.

Вычислим площадь площадки.
2 ∙ 2 = 4 (м²) — площадь площадки.

Шаг 5.
Продолжаем рассуждение.

Вычислим, во сколько раз площадь площадки меньше, чем площадь бассейна. Для этого разделим площадь бассейна на площадь площадки.
24 : 4 = 6 (раз) — во столько раз меньше.

Шаг 6.
Записываем ответ.

Ответ: в 6 раз площадь площадки меньше, чем площадь бассейна.

Номер 8.

Что получится, если 1) произведение двух чисел разделить на один из множителей; 2) умножить делитель на частное; 3) разделить делимое на частное?

Ответ:

1) Получится другой множитель. 2) Получится делимое. 3) Получится делитель.

Подсказка:

Повтори, как называются числа при умножении и делении.

Шаг 1.
Рассуждаем.

Если произведение двух чисел разделить на один из множителей, то получится другой множитель.
Если делитель умножить на частное, то получится делимое.
Если делимое разделить на частное, то получится делитель.

Шаг 2.
Оформляем задание в тетрадь.

1) Получится другой множитель.
2) Получится делимое.
3) Получится делитель.

Номер 9.

1) Объясни два способа проверки умножения и деления.
2) Вычисли и сделай проверку.

Математика 4 класс Моро, Бантова - 2 часть страница 94, номер 9. Год 2024.
Ответ:

1) Два способа проверки умножения и деления: а) В первом случае для проверки произведение делят на второй множитель и получают первый, а во втором случае делят на первый множитель и получают второй. б) В первом случае для проверки частное умножают на делитель и получают делимое, а во втором случае делимое делят на частное и получают делитель.
2)

Математика 4 класс Моро, Бантова - 2 часть страница 94, номер 9. Год 2024.
Подсказка:

Повтори алгоритм письменного умножения и деления многозначных чисел, а также как называются числа при умножении и делении.

Шаг 1.
Рассмотрим примеры.

14 ∙ 6 = 84
Проверка:
84 : 6 = 14
84 : 14 = 6

98 : 7 = 14
Проверка:
14 ∙ 7 = 98
98 : 14 = 7

Шаг 2.
Рассуждаем.

Два способа проверки умножения и деления:
а) В первом случае для проверки произведение делят на второй множитель и получают первый, а во втором случае делят на первый множитель и получают второй.
б) В первом случае для проверки частное умножают на делитель и получают делимое, а во втором случае делимое делят на частное и получают делитель.

Шаг 3.
Выполним вычисления.

356 ∙ 8 = 2848

Пояснение к заданию 9

Проверка:
2848 : 8 = 356

Пояснение к заданию 9

2848 : 356 = 8

Пояснение к заданию 9

45360 : 9 = 5040

Пояснение к заданию 9

Проверка:
5040 ∙ 9 = 45360

Пояснение к заданию 9

45360 : 5040 = 9

Пояснение к заданию 9
Шаг 4.
Оформляем задание в тетрадь.
Пояснение к заданию 9

Задание на полях страницы

Ребус.

Математика 4 класс Моро, Бантова - 2 часть страница 94, задание на полях страницы. Год 2024.
Ответ:
Математика 4 класс Моро, Бантова - 2 часть страница 94, задание на полях страницы. Год 2024.
Подсказка:

Повтори случаи табличного умножения.

Шаг 1.
Рассмотрим ребус.

9 ∙ ☐ = *3
9 ∙ ☐ = *7
9 ∙ ☐ = *2
8 ∙ ☐ = *4
7 ∙ ☐ = *1
6 ∙ ☐ = *0
4 ∙ ☐ = *8

Шаг 2.
Рассуждаем.

Используя таблицу умножения, заполняем пропуски и выполняем вычисления.
9 ∙ 7 = 63
9 ∙ 3 = 27
9 ∙ 8 = 72
8 ∙ 8 = 64
7 ∙ 3 = 21
6 ∙ 5 = 30
4 ∙ 7 = 28

Шаг 3.
Оформляем задание в тетрадь.
Пояснение к заданию на полях страницы
Конец страницы
Переход на другие страницы Содержание
Информация на этой странице была полезной?
0/5 (0 голосов)
Нашли ошибку на сайте? Помогите нам ее исправить!

С подпиской рекламы не будет

Подключите премиум подписку со скидкой в 40% за 149 ₽

Понравились решения?
Напишите свой комментарий.

Вам может быть интересно