Математика 4 класс учебник Моро, Бантова 2 часть ответы – страница 67
- Тип: ГДЗ, Решебник.
- Авторы: Моро М.И., Бантова М.А., Бельтюкова Г.В. и др.
- Часть: 2.
- Год: 2020-2024.
- Серия: Школа России (ФГОС).
- Издательство: Просвещение.
Что узнали. Чему научились
Номер 1.
Ответ:
Повтори алгоритм письменного деления на двузначные числа, а также порядок действий.
Выполняем вычисления по действиям.
Оформляем задание в тетрадь.
370 – 90 + 180 – 120 : 6 = 180
600 – (15 ∙ 10 + 12 ∙ 20) = 210
(70 – 58) ∙ (32 + 68) – 90 = 1 110
40 ∙ (16 + 14) – 350 : 50 = 1 193
8 888 : 8 = 1 111
8 888 : 22 = 404
8 888 : 44 = 202
8 888 : 88 = 101
Номер 2.
Найди значения выражения 14976 : а, если а = 18; а = 26; а = 72.
Ответ:
Повтори, что такое буквенные выражения.
Выполняем вычисления с пояснениями.
14 976 : а
Если а = 18, то
14 976 : а = 14 976 : 18 = 832
Если а = 26, то
14 976 : а = 14 976 : 26 = 576
Если а = 72, то
14 976 : а = 14 976 : 72 = 208
Оформляем задание в тетрадь.
Номер 3.
Ответ:1)
2)
Повтори алгоритм письменного сложения, вычитания, умножения и деления многозначных чисел, а также порядок действий.
Выполняем вычисления по действиям.
1)
2)
Оформляем задание в тетрадь.
1) (100 000 – 91 008) : 4 = 2 248
(200 000 – 160 095) : 5 = 7 981
6 789 + (1 010 – 803) ∙ 940 = 201 369
9 010 – (8 316 + 864) : 510 = 899
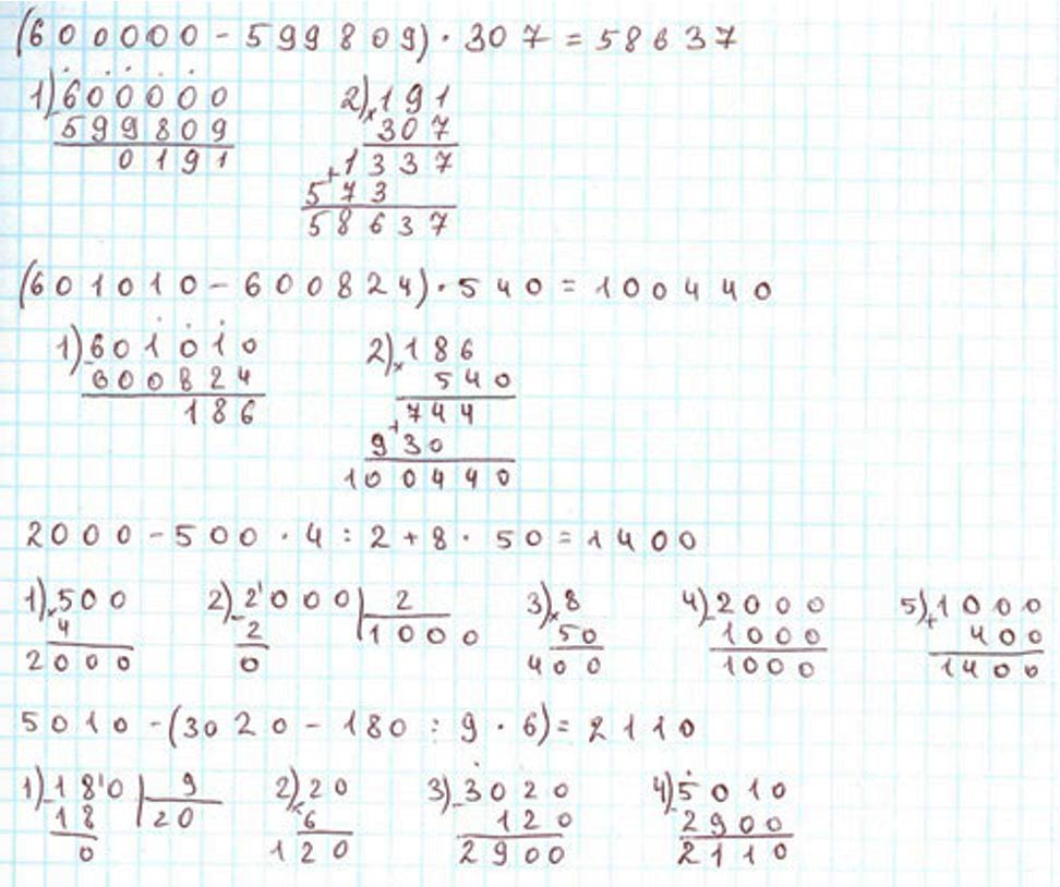
2) (600 000 – 599 809) ∙ 307 = 58 637
(601 010 – 600 824) ∙ 540 = 100 440
2 000 – 500 ∙ 4 : 2 + 8 ∙ 50 = 1 400
5 010 – (3 020 – 180 : 9 ∙ 6) = 2 110
Номер 4.
Выполни деление с остатком.
Ответ:
Повтори, как выполнять деление с остатком.
Выполняем вычисления с пояснениями.
Пишу: 73 : 24.
Разделю 73 на 24, получу 3.
Умножу 24 на 3, получу 72.
73 – 72 = 1.
Частное – 3, остаток 1.
Пишу: 98 : 11.
Разделю 98 на 11, получу 8.
Умножу 11 на 8, получу 88.
98 – 88 = 10.
Частное – 8, остаток 10.
Пишу: 95 : 40.
Разделю 95 на 40, получу 2.
Умножу 40 на 2, получу 80.
95 – 80 = 15.
Частное – 2, остаток 15.
Пишу: 78 : 30.
Разделю 78 на 30, получу 2.
Умножу 30 на 2, получу 60.
78 – 60 = 18.
Частное – 2, остаток 18.
Пишу: 194 : 70.
Разделю 194 на 70, получу 2.
Умножу 70 на 2, получу 140.
194 – 140 = 54.
Частное – 2, остаток 54.
Пишу: 250 : 80.
Разделю 250 на 80, получу 3.
Умножу 80 на 3, получу 240.
250 – 240 = 10.
Частное – 3, остаток 10.
Пишу: 1 370 : 400.
Разделю 1 370 на 400, получу 3.
Умножу 400 на 3, получу 1 200.
1 370 – 1 200 = 170.
Частное – 3, остаток 170.
Пишу: 6 203 : 900.
Разделю 6 203 на 900, получу 6.
Умножу 900 на 6, получу 5 400.
6 203 – 5 400 = 803.
Частное – 6, остаток 803.
Оформляем задание в тетрадь.
Номер 5.
Вырази:
1) в миллиметрах: 3 см 5 мм, 2 дм 3 см, 4 м 3 дм;
2) в квадратных метрах: 3800 дм², 1 км²;
3) в минутах: 2400 с, 3 ч 50 мин, 2 ч 30 мин.
1) 3 см 5 мм = 3 ∙ 10 + 5 = 30 + 5 = 35 мм,
2 дм 3 см = 2 ∙ 100 + 3 ∙ 10 = 200 + 30 = 230 мм,
4 м 3 дм = 4 ∙ 1000 + 3 ∙ 100 = 4000 + 300 = 4300 мм;
2) 3800 дм² = 3800 : 100 = 38 м²,
1 км² = 1000 ∙ 1000 = 1000000 м²;
3) 2400 с = 2400 : 60 = 40 мин,
3 ч 50 мин = 3 ∙ 60 + 50 = 180 + 50 = 230 мин,
2 ч 30 мин = 2 ∙ 60 + 30 = 120 + 30 = 150 мин.
Повтори единицы длины – сантиметр, дециметр, миллиметр и метр, единицы времени – час, минуту и секунду, а также единицы площади.
Выполняем вычисления.
1) 3 см 5 мм = 3 ∙ 10 + 5 = 30 + 5 = 35 мм,
2 дм 3 см = 2 ∙ 100 + 3 ∙ 10 = 200 + 30 = 230 мм,
4 м 3 дм = 4 ∙ 1000 + 3 ∙ 100 = 4000 + 300 = 4300 мм;
2) 3800 дм² = 3800 : 100 = 38 м²,
1 км² = 1000 ∙ 1000 = 1000000 м²;
3) 2400 с = 2400 : 60 = 40 мин,
3 ч 50 мин = 3 ∙ 60 + 50 = 180 + 50 = 230 мин,
2 ч 30 мин = 2 ∙ 60 + 30 = 120 + 30 = 150 мин.
Оформляем задание в тетрадь.
1) 3 см 5 мм = 35 мм
2 дм 3 см = 230 мм
4 м 3 дм = 4 300 мм
2) 3 800 дм² = 38 м²
1 км² = 1 000 000 м²
3) 2 400 с = 40 мин
3 ч 50 мин = 230 мин
2 ч 30 мин = 150 мин
Номер 6.
Вычисли.
Ответ:
1) 6 км − 380 м = 6000 м − 380 м = 5 км 620 м
3 м − 89 см = 300 см − 89 см = 211 см = 2 м 11 см
7 т − 450 кг = 7000 кг − 450 кг = 6550 кг = 6 т 550 кг
5 кг − 820 г = 5000 г − 820 г = 4180 г = 4 кг 180 г
10 м² − 75 дм² = 1000 дм² − 75 дм² = 925 дм² = 9 м² 25 дм²
12 дм² − 48 см² = 1200 см² − 48 см² = 1152 см² = 11 дм² 52 см²
2) 16 ч − 8 ч = 8 ч
25 с − 6 с = 19 с
2 мин − 30 с = 1 мин 60 сек − 30 сек = 1 мин 30 с
4 ч − 55 мин = 3 ч 60 мин − 55 мин = 3 ч 5 мин
2 сут. − 10 ч = 1 сут. 24 ч − 10 ч = 1 сут. 14 ч
2 сут. − 30 мин = 1 сут. 23 ч 60 мин − 30 мин = 1 сут. 23 ч 30 мин
Повтори единицы длины – километр и метр, единицы массы – тонну, килограмм и грамм, единицы времени – сутки, час и минуту, а также единицы площади.
Выполняем вычисления с пояснениями.
1) 1 км = 1 000 м, поэтому
6 км – 380 м = 6 000 м – 380 м = 5 620 м = 5 км 620 м.
1 м = 100 см, поэтому
3 м – 89 см = 300 см – 89 см = 211 см = 2 м 11 см.
1 т = 1 000 кг, поэтому
7 т – 450 кг = 7 000 кг – 450 кг = 6 550 кг = 6 т 550 кг.
1 кг = 1 000 г, поэтому
5 кг – 820 г = 5 000 г – 820 г = 4 180 г = 4 кг 180 г.
1 м² = 100 дм², поэтому
10 м² – 75 дм² = 1 000 дм² – 75 дм² = 925 дм² = 9 м² 25 дм².
1 дм² = 100 см², поэтому
12 дм² – 48 см² = 1 200 см² – 48 см² =1 152 см² = 11 дм² 52 см².
2) 1 мин = 60 с, поэтому
2 мин – 30 с = 120 с – 30 с = 90 с = 1 мин 30 с.
1 ч = 60 мин, поэтому
4 ч – 55 мин = 240 мин – 55 мин = 195 мин = 3 ч 15 мин.
1 сут. = 24 ч, поэтому
2 сут. – 10 ч = 48 ч – 10 ч = 38 ч = 1 сут. 14 ч.
2 сут. – 30 мин = 1 сут. + 23 ч + (60 мин – 30 мин) = 1 сут. 23 ч 30 мин.
Оформляем задание в тетрадь.
1) 6 км − 380 м = 6000 м − 380 м = 5 км 620 м
3 м − 89 см = 300 см − 89 см = 211 см = 2 м 11 см
7 т − 450 кг = 7000 кг − 450 кг = 6550 кг = 6 т 550 кг
5 кг − 820 г = 5000 г − 820 г = 4180 г = 4 кг 180 г
10 м² − 75 дм² = 1000 дм² − 75 дм² = 925 дм² = 9 м² 25 см²
12 дм² − 48 см² = 1200 см² − 48 см² = 1152 см² = 11 дм² 52 см²
2) 16 ч − 8 ч = 8 ч
25 с − 6 с = 19 с
2 мин − 30 с = 1 мин 60 сек − 30 сек = 1 мин 30 с
4 ч − 55 мин = 3 ч 60 мин − 55 мин = 3 ч 5 мин
2 сут. − 10 ч = 1 сут. 24 ч − 10 ч = 1 сут. 14 ч
2 сут. − 30 мин = 1 сут. 23 ч 60 мин − 30 мин = 1 сут. 23 ч 30 мин
Номер 7.
Ответ:
Повтори алгоритм письменного деления на двузначные числа.
Выполняем вычисления с пояснениями.
Пишу: 156 : 26.
Разделю 156 на 26, получу 6.
156 – 156 = 0.
Частное – 6.
Пишу: 216 : 54.
Разделю 216 на 54, получу 4.
216 – 216 = 0.
Частное – 4.
Пишу: 2 924 : 68.
Разделю 2 924 на 68. Выделю первое неполное делимое – 292. Разделю 292 на 68, получу 4. 292 – 272 = 20. Добавляю 4 ед.
Нахожу вторую цифру частного:
204 : 68, получу 3.
Умножу 68 на 3, получу 204.
204 – 204 = 0.
Частное – 43.
Пишу: 3 456 : 54.
Разделю 3456 на 54. Выделю первое неполное делимое – 345. Разделю 345 на 5, получу 6. 345 – 324 = 21. Добавляю 4 ед.
Нахожу вторую цифру частного:
216 : 54, получу 4.
Умножу 54 на 4, получу 216.
216 – 216 = 0.
Частное – 64.
Пишу: 29 736 : 56.
Разделю 29 736 на 56. Выделю первое неполное делимое – 297. Разделю 29 на 5, получу 5. 297 – 280 = 17. Добавляю 3 дес.
Нахожу вторую цифру частного:
173 : 56, получу 3.
Умножу 56 на 3, получу 96.
173 – 168 = 5. Добавляю 6 ед.
Нахожу третью цифру частного:
56 : 56 = 1.
Умножу 56 на 1, получу 56.
56 – 56 = 0.
Частное – 531.
Пишу: 38 232 : 72.
Разделю 38 232 на 72. Выделю первое неполное делимое – 382. Разделю 382 на 72, получу 5. 382 – 360 = 22. Добавляю 3 дес.
Нахожу вторую цифру частного:
223 : 72, получу 3.
Умножу 72 на 3, получу 216.
223 – 216 = 7. Добавляю 2 ед.
Нахожу третью цифру частного:
72 : 72, получу 1.
Умножу 72 на 1, получу 72.
72 – 72 = 0.
Частное – 531.
Пишу: 136 576 : 64.
Разделю 1365 76 на 64. Выделю первое неполное делимое – 136. Разделю 13 на 6, получу 2.
136 – 128 = 8. Добавляю 5 сот.
Нахожу вторую цифру частного:
85 : 64, получу 1.
Умножу 64 на 1, получу 64.
85 – 64 = 21. Добавляю 7 дес.
Нахожу третью цифру частного:
217 : 64, получу 3.
Умножу 64 на 3, получу 192.
217 – 192 = 25. Добавляю 6 ед.
Нахожу четвёртую цифру частного:
256 : 64 = 4.
Умножу 64 на 4, получу 256.
256 – 256 = 0.
Частное – 2 134.
Пишу: 191 962 : 82.
Разделю 191 962 на 82. Выделю первое неполное делимое – 191. Разделю 191 на 82, получу 2.
191 – 164 = 27. Добавляю 9 сот.
Нахожу вторую цифру частного:
279 : 82, получу 3.
Умножу 82 на 3, получу 246.
279 – 246 = 33. Добавляю 6 дес.
Нахожу третью цифру частного:
336 : 82, получу 4.
Умножу 82 на 4, получу 328.
336 – 328 = 8. Добавляю 2 ед.
Нахожу четвёртую цифру частного:
82 : 82 = 1.
Умножу 82 на 1, получу 82.
82 – 82 = 0.
Частное – 2 341.
Выполняем проверку.
Номер 8.

Ответ:
80 ∙ 70 − 65
80 ∙ 70 = 5600
5600 − 65 = 5535
20 ∙ 70 − 65
20 ∙ 70 = 1400
1400 − 65 = 1335
8 ∙ 70 − 65
8 ∙ 70 = 560
560 − 65 = 495
2 ∙ 70 − 65
2 ∙ 70 = 140
140 − 65 = 75
6 ∙ 70 − 65
6 ∙ 70 = 420
420 − 65 = 355
4 ∙ 70 − 65
4 ∙ 70 = 280
280 − 65 = 215
Повтори случаи устного вычитания трёхзначных чисел.
Выполняем вычисления.
80 ∙ 70 – 65 = 5535
80 ∙ 70 = 5600
5600 − 65 = 5535
20 ∙ 70 – 65 = 1335
20 ∙ 70 = 1400
1400 − 65 = 1335
8 ∙ 70 – 65 = 495
8 ∙ 70 = 560
560 − 65 = 495
2 ∙ 70 – 65 = 75
2 ∙ 70 = 140
140 − 65 = 75
6 ∙ 70 – 65 = 355
6 ∙ 70 = 420
420 − 65 = 355
4 ∙ 70 – 65 = 215
4 ∙ 70 = 280
280 − 65 = 215
Оформляем задание в тетрадь.
Номер 9.
Ответ:
Повтори алгоритм письменного деления на двузначные числа.
Выполняем вычисления с пояснениями.
Пишу: 11 661 : 23.
Разделю 11 661 на 23. Выделю первое неполное делимое – 116. Разделю 11 на 2, получу 5.
Умножу 23 на 5, получу 115.
116 – 115 = 1. Добавляю 6 дес.
Нахожу вторую цифру частного: 16 : 23.
16 меньше, чем 23, пишу в частном 0. Добавляю 1 ед.
Нахожу третью цифру частного:
161 : 23, получу 7.
Умножу 23 на 7, получу 161.
161 – 161 = 0.
Частное – 507.
Пишу: 20 706 : 34.
Разделю 20 706 на 34. Выделю первое неполное делимое – 207. Разделю 20 на 3, получу 6 – это пробная цифра.
Проверяю, подходит ли цифра 6.
Умножу 34 на 6, получу 204.
207 – 204 = 3. Добавляю 0 дес.
Нахожу вторую цифру частного: 30 : 34.
30 меньше, чем 34, пишу в частном 0. Добавляю 6 ед.
Нахожу третью цифру частного:
306 : 34, получу 9.
Умножу 34 на 9, получу 306.
306 – 306 = 0.
Частное – 609.
Пишу: 48 960 : 68.
Разделю 48 960 на 68. Выделю первое неполное делимое – 489. Разделю 48 на 6, получу 8 – это пробная цифра.
Проверяю, подходит ли цифра 8.
Умножу 68 на 8, получу 544. Это больше, чем 489, значит, в частном должно быть меньше, чем 8. Пробую, подходит ли цифра 7.
Умножу 68 на 7, получу 476.
489 – 476 = 13 сот. Добавляю 6 дес.
Нахожу вторую цифру частного:
136 : 68, получу 2.
Умножу 68 на 2, получу 136.
136 – 136 = 0.
Нахожу третью цифру частного:
0 : 68 = 0.
Частное – 720.
Пишу: 40 890 : 87.
Разделю 40 890 на 87. Выделю первое неполное делимое – 408. Разделю 40 на 8, получу 5 – это пробная цифра.
Проверяю, подходит ли цифра 5.
Умножу 87 на 5, получу 435. Это больше, чем 408, значит, в частном должно быть меньше, чем 5. Пробую, подходит ли цифра 4.
Умножу 87 на 4, получу 348.
408 – 348 = 60 сот. Добавляю 9 дес.
Нахожу вторую цифру частного:
609 : 87, получу 7.
Умножу 87 на 7, получу 609.
609 – 609 = 0.
Нахожу третью цифру частного:
0 : 87 = 0.
Частное – 470.
Пишу: 773 075 : 85.
Разделю 773 075 на 85. Выделю первое неполное делимое – 773. Разделю 77 на 8, получу 9 – это пробная цифра.
Проверяю, подходит ли цифра 9.
Умножу 77 на 9, получу 765.
773 – 765 = 8. Добавляю 0 сот.
Нахожу вторую цифру частного: 80 : 85.
80 меньше, чем 85, пишу в частном 0. Добавляю 7 дес.
Нахожу третью цифру частного:
807 : 85, получу 9.
807 – 765 = 42. Добавляю 5 ед.
Нахожу четвёртую цифру частного:
425 : 85, получу 5.
425 – 425 = 0.
Частное – 9 095.
Пишу: 629 260 : 73.
Разделю 629 260 на 73. Выделю первое неполное делимое – 629. Разделю 62 на 7, получу 8 – это пробная цифра.
Проверяю, подходит ли цифра 8.
Умножу 73 на 8, получу 584.
629 – 584 = 45. Добавляю 2 сот.
Нахожу вторую цифру частного:
452 : 73. Разделю 45 на 7, получу 6 – это пробная цифра.
Проверяю, подходит ли цифра 6.
Умножу 73 на 6, получу 438.
452 – 438 = 14. Добавляю 6 дес.
Нахожу третью цифру частного:
146 : 73, получу 2.
146 – 146 = 0.
Нахожу четвёртую цифру частного: 0 : 73, получу 0.
Частное – 8 620.
Пишу: 234 135 : 45.
Разделю 234 135 на 45. Выделю первое неполное делимое – 234. Разделю 23 на 4, получу 5 – это пробная цифра.
Проверяю, подходит ли цифра 5.
Умножу 45 на 5, получу 225.
234 – 225 = 9. Добавляю 1 сот.
Нахожу вторую цифру частного: 91 : 45, получу 2.
Умножу 45 на 2, получу 90.
91 – 90 = 1. Добавляю 3 дес.
Нахожу третью цифру частного: 13 : 45.
13 меньше, чем 45, пишу в частном 0. Добавляю 5 дес.
Нахожу четвёртую цифру частного:
135 : 45, получу 3.
Умножу 45 на 3, получу 135.
135 – 135 = 0.
Частное – 5 203.
Пишу: 603 720 : 86.
Разделю 603 720 на 86. Выделю первое неполное делимое – 603. Разделю 60 на 8, получу 7 – это пробная цифра.
Проверяю, подходит ли цифра 7.
Умножу 86 на 7, получу 602.
603 – 602 = 1. Добавляю 7 сот.
Нахожу вторую цифру частного: 17 : 86.
17 меньше, чем 86, пишу в частном 0. Добавляю 2 дес.
Нахожу третью цифру частного:
172 : 86, получу 2.
Умножу 86 на 2, получу 172.
172 – 172 = 0.
Нахожу четвёртую цифру частного:
0 : 86, получу 0.
Частное – 7 020.
Оформляем задание в тетрадь.
Номер 10.
Ответ:
Повтори алгоритм письменного деления на двузначные числа.
Выполняем вычисления с пояснениями.
Пишу: 3 912 : 12.
Разделю 3 912 на 12. Выделю первое неполное делимое – 39. Разделю 39 на 12, получу 3.
Умножу 12 на 3, получу 36.
39 – 36 = 3. Добавляю 1 дес.
Нахожу вторую цифру частного:
31 : 12, получу 2.
Умножу 12 на 2, получу 24.
31 – 24 = 7. Добавляю 2 ед.
Нахожу третью цифру частного:
72 : 12, получу 6.
Умножу 12 на 6, получу 72.
72 – 72 = 0.
Частное – 326.
Пишу: 6 748 : 14.
Разделю 6 748 на 14. Выделю первое неполное делимое – 67. Разделю 67 на 14, получу 4.
Умножу 14 на 4, получу 56.
67 – 56 = 11. Добавляю 4 дес.
Нахожу вторую цифру частного:
114 : 14, получу 8.
Умножу 14 на 8, получу 112.
114 – 112 = 2. Добавляю 8 ед.
Нахожу третью цифру частного:
28 : 14, получу 2.
Умножу 14 на 2, получу 28.
28 – 28 = 0.
Частное – 482.
Пишу: 10 635 : 15.
Разделю 10 635 на 15. Выделю первое неполное делимое – 106. Разделю 106 на 15, получу 7.
Умножу 15 на 7, получу 105.
106 – 105 = 1. Добавляю 3 дес.
Нахожу вторую цифру частного:
13 : 15. 13 меньше, чем 15, пишу в частном 0. Добавляю 5 ед.
Нахожу третью цифру частного:
135 : 15, получу 9.
Умножу 15 на 9, получу 135.
135 – 135 = 0.
Частное – 709.
Пишу: 11 206 : 13.
Разделю 11 206 на 13. Выделю первое неполное делимое – 112. Разделю 112 на 13, получу 8.
Умножу 13 на 8, получу 104.
112 – 104 = 8. Добавляю 0 дес.
Нахожу вторую цифру частного:
80 : 13, получу 6.
Умножу 13 на 6, получу 78.
80 – 78 = 2. Добавляю 6 ед.
Нахожу третью цифру частного:
26 : 13, получу 2.
Умножу 13 на 2, получу 26.
26 – 26 = 0.
Частное – 862.
Пишу: 14 562 : 18.
Разделю 14 562 на 18. Выделю первое неполное делимое – 145. Разделю 145 на 18, получу 8.
Умножу 18 на 8, получу 144.
145 – 144 = 1. Добавляю 6 дес.
Нахожу вторую цифру частного: 16 : 18.
16 меньше, чем 18, пишу в частном 0. Добавляю 2 ед.
Нахожу третью цифру частного:
162 : 18, получу 9.
Умножу 18 на 9, получу 162.
162 – 162 = 0.
Частное – 809.
Пишу: 15 640 : 17.
Разделю 15 640 на 17. Выделю первое неполное делимое – 156. Разделю 156 на 17, получу 9.
Умножу 17 на 9, получу 153.
156 – 153 = 3 сот. Добавляю 4 дес.
Нахожу вторую цифру частного:
34 : 17, получу 2.
Умножу 17 на 2, получу 34.
34 – 34 = 0.
Нахожу третью цифру частного:
0 : 17 = 0.
Частное – 920.
Пишу: 58 520 : 19.
Разделю 58 520 на 19. Выделю первое неполное делимое – 58. Разделю 58 на 19, получу 3.
Умножу 19 на 3, получу 57.
58 – 57 = 1. Добавляю 5 сот.
Нахожу вторую цифру частного:
15 : 19. 15 меньше, чем 19, пишу в частном 0. Добавляю 2 дес.
Нахожу третью цифру частного:
152 : 19, получу 8.
Умножу 19 на 8, получу 152.
152 – 152 = 0.
Нахожу четвёртую цифру частного:
0 : 19, получу 0.
Частное – 3 080.
Пишу: 43 248 : 16.
Разделю 43 248 на 16. Выделю первое неполное делимое – 43. Разделю 43 на 16, получу 2.
Умножу 16 на 2, получу 32.
43 – 32 = 11. Добавляю 2 сот.
Нахожу вторую цифру частного:
112 : 16, получу 7.
Умножу 16 на 7, получу 112.
112 – 112 = 0.
Нахожу третью цифру частного: 4 : 16.
4 меньше, чем 16, пишу в частном 0. Добавляю 8 ед.
Нахожу четвёртую цифру частного:
48 : 16, получу 3.
Умножу 16 на 3, получу 48.
48 – 48 = 0.
Частное – 2 703.
Оформляем задание в тетрадь.
Задание на полях страницы
Занимательные рамки.

Ответ:
Проверка:
Первая занимательная рамка:
350 + 360 + 190 = 350 + 550 = 900
190 + 290 + 420 = 480 + 420 = 900
350 + 130 + 420 = 480 + 420 = 900
Вторая занимательная рамка:
70 + 190 + 60 = 130 + 190 = 320
60 + 170 + 90 = 150 + 170 = 320
70 + 160 + 90 = 160 + 160 = 320
В занимательных рамках сумма всех чисел на каждой стороне должна равняться числу в центре.
Выполняем вычисления.
900 – (350 + 190) = 900 – 540 = 360
900 – (420 + 190) = 900 – 610 = 290
900 – (420 + 350) = 900 – 770 = 130
320 – (60 + 70) = 320 – 130 = 190
320 – (90 + 60) = 320 – 150 = 170
320 – (90 + 70) = 320 – 160 = 160
Оформляем задание в тетрадь.
Ребус.
-1.jpg)
Ответ:
Перед нами ребус, для того чтобы найти недостающие цифры необходимо выполнить деление.
Рассуждаем и выполняем вычисление.
Разгадаем ребус.
Второе неполное делимое – 207. После того, как 207 разделили на двузначное число, получилось 9. 207 : 9 = 23.
После того, как первое неполное делимое с 6 десятками разделили на 23, получился остаток 20. Значит, получилось разделить на 23 число с 4 десятками. Таким образом, получилось разделить число 46. 46 : 23 = 2. 46 + 20 = 66.
Оформим задание в тетрадь.
Задание вверху страницы
1) Объясни, как выполнено деление.
2) Рассмотри более короткую запись тех же вычислений.
1) Первая строка из 3 примеров: деление в них выполнено так, что при нахождении второго неполного частного получается нуль и из-за этого выполняется лишнее действие.
2) Во второй строке пропускается действие нахождения второго неполного частного, а вместо этого сразу сносится два знака к остатку при первом неполном частном и в частное записывается сразу нуль, а затем число единиц.
Повтори алгоритм письменного деления на двузначные числа.
Рассмотрим примеры.
Рассуждаем.
17640 : 35 = 504
Для этого выделю первое неполное делимое — 176 (сотен).
Нахожу первую цифру частного: 176 : 35 = 5 (сотен).
Образую второе неполное делимое: 35 ∙ 5 = 175, 176 − 175 = 1 (сотня).
Добавляю оставшиеся 4 десятка — 14.
Нахожу вторую цифру частного: 14 : 35 = 0 (десятков).
Образую третье неполное делимое: 35 ∙ 0 = 0, 14 − 0 = 14 (десятков).
Добавлю оставшиеся 0 единиц — 140.
Нахожу третью цифру частного: 140 : 35 = 4.
96048 : 24 = 4002
Для этого выделю первое неполное делимое — 96 (тысяч).
Нахожу первую цифру частного: 96 : 24 = 4 (тысячи).
Образую второе неполное делимое: 24 ∙ 4 = 96, 96 − 96 = 0 (тысяч).
Добавляю оставшиеся 0 сотен — 0.
Нахожу вторую цифру частного: 0 : 24 = 0 (сотен).
Образую третье неполное делимое: 24 ∙ 0 = 0, 0 − 0 = 0 (сотен).
Добавлю оставшиеся 4 десятков — 4.
Нахожу третью цифру частного: 4 : 24 = 0 (десятков).
Образую четвёртое неполное делимое: 24 ∙ 0 = 0, 4 − 0 = 4 (десятка).
Добавлю оставшиеся 8 единиц — 48.
Нахожу четвёртую цифру частного: 48 : 24 = 2
34860 : 42 = 830
Для этого выделю первое неполное делимое — 348 (сотен).
Нахожу первую цифру частного: 348 : 42 = 8 (сотен).
Образую второе неполное делимое: 42 ∙ 8 = 336, 348 − 336 = 12 (сотен).
Добавляю оставшиеся 6 десятка — 126.
Нахожу вторую цифру частного: 126 : 42 = 3 (десятка).
Образую третье неполное делимое: 42 ∙ 3 = 126, 126 − 126 = 0 (десятков).
Добавлю оставшиеся 0 единиц — 0.
Нахожу третью цифру частного: 0 : 42 = 0.
Деление в данных примерах выполнено так, что при нахождении второго либо третьего неполного частного получается нуль, из-за этого выполняется лишнее действие.
Рассмотрим короткую запись тех же примеров.
Продолжаем рассуждение.
Во второй или в третьей строке пропускается действие нахождения второго или третьего неполного частного, а вместо этого сразу сносится два знака к остатку при первом неполном частном и в частное записывается сразу нуль, а затем число единиц.
Номер 280.
Ответ:
Повтори алгоритм письменного деления на двузначные числа.
Выполняем вычисления.
13915 : 23 = 605
Разделю 13915 на 23. Выделю первое неполное делимое — 139.
Разделю 13 на 2, получу 6 — это пробная цифра.
Проверяю, подходит ли цифра 6.
Умножу 23 на 6, получу 138.
Образую второе неполное частное.
139 – 138 = 1 сот. Добавляю 1 дес., получаю 11 дес.
Нахожу вторую цифру частного: 11 : 23. 11 < 23, пишу в частном 0.
К 11 дес. добавляю 5 ед. получаю 115.
Нахожу третью цифру частного: 115 : 23 = 5.
Частное — 605.
17238 : 34 = 507
Разделю 17238 на 34. Выделю первое неполное делимое — 172.
Разделю 172 на 3, получу 5 — это пробная цифра.
Проверяю, подходит ли цифра 5.
Умножу 34 на 5, получу 170.
Образую второе неполное частное.
172 – 170 = 2 сот. Добавляю 3 дес., получаю 23 дес.
Нахожу вторую цифру частного: 23 : 34. 23 < 34, пишу в частном 0.
К 23 дес. добавляю 8 ед., получаю 238.
Нахожу третью цифру частного: 238 : 34 = 7.
Частное — 507.
3696 : 12 = 308
Разделю 3696 на 12. Выделю первое неполное делимое — 36.
Разделю 36 на 12, получу 3.
Умножу 12 на 3, получу 36.
Образую второе неполное частное.
36 – 36 = 0 сот. Добавляю 9 дес., получаю 9 дес.
Нахожу вторую цифру частного: 9 : 12. 9 < 12, пишу в частном 0.
К 9 дес. добавляю 6 ед., получаю 96.
Нахожу третью цифру частного: 96 : 12 = 8.
Частное – 308.
7605 : 15 = 507
Разделю 7605 на 15. Выделю первое неполное делимое — 76.
Разделю 76 на 15, получу 5.
Умножу 15 на 5, получу 75.
Образую второе неполное делимое.
76 – 75 = 1 сот. Добавляю 0 дес., получаю 10 дес.
Нахожу вторую цифру частного: 10 : 15. 10 < 15, пишу в частном 0.
К 10 дес. добавляю 5 ед., получаю 105.
Нахожу третью цифру частного: 105 : 15 = 7.
Частное — 507.
26880 : 32 = 840
Разделю 26880 на 32. Выделю первое неполное делимое — 268.
Разделю 26 на 3, получу 8 — это пробная цифра.
Проверяю, подходит ли цифра 8.
Умножу 32 на 8, получу 256.
Образую второе неполное частное.
268 – 256 = 12 сот. Добавляю 8 дес., получаю 128.
Нахожу вторую цифру частного: 128 : 32 = 4.
Умножу 32 на 4, получу 128.
128 – 128 = 0.
Нахожу третью цифру частного: 0 : 32 = 0.
Частное — 840.
36540 : 87 = 420
Разделю 36540 на 87. Выделю первое неполное делимое — 365.
Разделю 365 на 8, получу 4 — это пробная цифра.
Проверяю, подходит ли цифра 4.
Умножу 87 на 4, получу 348.
Образую второе неполное частное.
365 – 348 = 17 сот. Добавляю 4 дес., получаю 174.
Нахожу вторую цифру частного: 174 : 87 = 2.
Умножу 87 на 2, получу 174.
174 – 174 = 0.
Нахожу третью цифру частного: 0 : 87 = 0.
Частное – 420.
319 ∙ 706 = 225214
Умножу первый множитель на число единиц:
319 ∙ 6 = 1914.
Получу первое неполное произведение: 1914 ед.
В десятках второго множителя — ноль, поэтому пропускаем этап умножения на десятки.
Умножу первый множитель на число сотен:
319 ∙ 7 = 2233.
Получу второе неполное произведение: 2233 сот.
Начну подписывать второе неполное произведение под сотнями.
Сложу неполные произведения.
Читаю ответ: 225214. Это произведение чисел 319 и 706.
405 ∙ 82 = 33210
Умножу первый множитель на число единиц:
405 ∙ 2 = 810.
Получу первое неполное произведение: 810 ед.
Умножу первый множитель на число десятков:
405 ∙ 8 = 3240.
Получу второе неполное произведение: 3240 дес.
Начну подписывать второе неполное произведение под десятками.
Сложу неполные произведения.
Читаю ответ: 33210. Это произведение чисел 405 и 82.
Оформляем задание в тетрадь.
Номер 281.
И двух посёлков, находящихся на расстоянии 20 км, вышли одновременно навстречу друг другу два лыжника. Они встретились через 40 мин. Один из них шёл со скоростью 240 м/мин. Объясни, что показывают выражения.
20 км = 20000 м 1) 20000 : 40 – скорость сближения лыжников. 2) 20000 : 40 - 240 – скорость второго лыжника. 3) 240 ∙ 40 – расстояние, которое прошёл первый лыжник. 4) 20000 − 240 ∙ 40 – расстояние, которое прошёл второй лыжник.
Повтори взаимосвязь между скоростью, временем и расстоянием.
Оформляем условие в виде схематического чертежа.
Рассуждаем.
Так как 1 км = 1000 м, то
20 км = 20000 м
Если расстояние разделить на время, то получим скорость сближения лыжников.
20000 : 40 (м/мин) — скорость сближения лыжников.
Продолжаем рассуждение.
Если из общей скорости сближения вычесть скорость одного лыжника, то найдём скорость второго.
20000 : 40 – 240 (м/мин) — скорость второго лыжника.
Продолжаем рассуждение.
Если скорость одного лыжника умножить на время в пути, то узнаем расстояние, которое он прошёл.
240 ∙ 40 (м) — расстояние, которое прошёл первый лыжник.
Продолжаем рассуждение.
Если из расстояния между посёлками вычесть расстояние, которое прошёл один лыжник, то получим расстояние, которое прошёл другой лыжник.
20000 − 240 ∙ 40 (м) — расстояние, которое прошёл второй лыжник.
Номер 282.
За установку солнечных батарей на крыше дома семья заплатила 24 000 р. За какое время семье окупится установка солнечных батарей, если раньше за электроэнергию они платили 500 р. в месяц?
Ответ:
Заплатили – 24 000 р.
Платили за месяц – 500 р.
Окупиться – ?
24 000 : 500 = 48 (мес.) = 4 год. – за сколько окупится.
Ответ: за 4 года всего окупится установка солнечных батарей.
Повтори единицы измерения времени.
Оформляем условие в виде краткой записи.
Заплатили — 24000 р.
Платили в месяц — 500 р.
Окупится — ?
Рассуждаем.
Чтобы узнать, за какое время семье окупится установка солнечных батарей, нужно сумму, которую они заплатили за установку, разделить на сумму, которую они раньше платили за электричество в месяц.
24000 : 500 = 240 : 5 = (200 + 40) : 5 = 40 + 8 = 48 (мес.)
1 год = 12 мес.
48 мес. : 12 мес. = 4 года
Записываем ответ.
Ответ: установка солнечных батарей окупится за 4 года.
Номер 283.
Составь уравнения и реши их.
1) Какое число надо умножить на 42, чтобы получить разность чисел 500 и 38?
2) Какое число надо увеличить в 3 раза, чтобы получить число, равное сумме чисел 135 и 450?
1)
2)
Повтори, как решать уравнения.
Составляем уравнения.
По описанию в учебнике составим уравнения:
1) х ∙ 42 = 500 – 38
2) х ∙ 3 = 135 + 450
Выполняем вычисления.
Решим полученные уравнения.
х ∙ 42 = 500 – 38
х ∙ 42 = 462
х = 462 : 42
х = 11
х ∙ 3 = 135 + 450
х ∙ 3 = 585
х = 585 : 3
х = 195
Оформляем задание в тетрадь.
1)
2)
Номер 284.
Реши уравнения.
Ответ:
х ∙ 100 = 4500
х = 4500 : 100
х = 45
у : 100 = 4500
у = 4500 ∙ 100
у = 450000
Повтори, как решать уравнения.
Выполняем вычисления.
х ∙ 100 = 4500
Чтобы найти неизвестный множитель, нужно произведение разделить на известный множитель.
х = 4500 : 100
Чтобы число разделить на 100, нужно справа отбросить два нуля.
х = 45
у : 100 = 4500
Чтобы найти делимое, нужно частное умножить на делитель.
у = 4500 ∙ 100
Чтобы число умножить на 100, нужно справа приписать два нуля.
у = 450000
Оформляем задание в тетрадь.
х ∙ 100 = 4500
х = 4500 : 100
х = 45
у : 100 = 4500
у = 4500 ∙ 100
у = 450000
Задание внизу страницы
Сколько минут в одной двенадцатой части часа? в одной пятнадцатой части часа?
Ответ:1 час = 60 мин 60 : 12 ∙ 1 = 5 мин – в одной двенадцатой части часа. 60 : 15 ∙ 1 = 4 мин – в одной пятнадцатой части часа.
Повтори, что такое доли.
Выполняем вычисления.
Для выполнения вычислений нужно помнить, что
1 час = 60 мин
Чтобы найти, сколько минут в одной двенадцатой части часа, нужно час разделить на двенадцать частей и взять одну.
60 : 12 ∙ 1 = 5 (мин) — в одной двенадцатой части часа.
Чтобы найти, сколько минут в одной пятнадцатой части часа, нужно час разделить на пятнадцать частей и взять одну.
60 : 15 ∙ 1 = 4 (мин) — в одной пятнадцатой части часа.
Оформляем задание в тетрадь.
1 час = 60 мин
60 : 12 ∙ 1 = 5 (мин) — в одной двенадцатой части часа.
60 : 15 ∙ 1 = 4 (мин) — в одной пятнадцатой части часа.
Задание на полях страницы
Продолжи и вычисли.
Ответ:
1111 : 11 ∙ 2 = 101 ∙ 2 = 202, 2222 : 11 ∙ 3 = 202 ∙ 3 = 606, 3333 : 11 ∙ 4 = 303 ∙ 4 = 1212, 4444 : 11 ∙ 5 = 404 ∙ 5 = 2020, 5555 : 11 ∙ 6 = 505 ∙ 6 = 3030, 6666 : 11 ∙ 7 = 606 ∙ 7 = 4242, 7777 : 11 ∙ 8 = 707 ∙ 8 = 5656, 8888 : 11 ∙ 9 = 808 ∙ 9 = 7272, 9999 : 11 ∙ 10 = 909 ∙ 10 = 9090.
Повтори алгоритм письменного умножения многозначного числа на однозначное.
Рассмотрим рисунок из учебника.
1111 : 11 ∙ 2 = □
2222 : 11 ∙ 3 = □
3333 : 11 ∙ 4 = □
4444 : 11 ∙ 5 = □
5555 : 11 ∙ 6 = □
Рассуждаем.
Первое число увеличивается в каждой строчке на 1111 от предыдущего, а третье число — на 1.
1111 : 11 ∙ 2 = □
2222 : 11 ∙ 3 = □
3333 : 11 ∙ 4 = □
4444 : 11 ∙ 5 = □
5555 : 11 ∙ 6 = □
Продолжим последовательность.
6666 : 11 ∙ 7 = □
7777 : 11 ∙ 8 = □
8888 : 11 ∙ 9 = □
9999 : 11 ∙ 10 = □
Выполняем вычисления.
1111 : 11 ∙ 2 = 101 ∙ 2 = 202
2222 : 11 ∙ 3 = 202 ∙ 3 = 606
3333 : 11 ∙ 4 = 303 ∙ 4 = 1212
4444 : 11 ∙ 5 = 404 ∙ 5 = 2020
5555 : 11 ∙ 6 = 505 ∙ 6 = 3030
6666 : 11 ∙ 7 = 606 ∙ 7 = 4242
7777 : 11 ∙ 8 = 707 ∙ 8 = 5656
8888 : 11 ∙ 9 = 808 ∙ 9 = 7272
9999 : 11 ∙ 10 = 909 ∙ 10 = 9090
Оформляем задание в тетрадь.
1111 : 11 ∙ 2 = 101 ∙ 2 = 202
2222 : 11 ∙ 3 = 202 ∙ 3 = 606
3333 : 11 ∙ 4 = 303 ∙ 4 = 1212
4444 : 11 ∙ 5 = 404 ∙ 5 = 2020
5555 : 11 ∙ 6 = 505 ∙ 6 = 3030
6666 : 11 ∙ 7 = 606 ∙ 7 = 4242
7777 : 11 ∙ 8 = 707 ∙ 8 = 5656
8888 : 11 ∙ 9 = 808 ∙ 9 = 7272
9999 : 11 ∙ 10 = 909 ∙ 10 = 9090
С подпиской рекламы не будет
Подключите премиум подписку со скидкой в 40% за 149 ₽
Напишите свой комментарий.