Математика 4 класс учебник Моро, Бантова 2 часть ответы – страница 56

  • Тип: ГДЗ, Решебник.
  • Авторы: Моро М.И., Бантова М.А., Бельтюкова Г.В. и др.
  • Часть: 2.
  • Год: 2020-2024.
  • Серия: Школа России (ФГОС).
  • Издательство: Просвещение.
Отличается задание? Переключите год учебника.
Переключение года издания

Номер 22.

От двух пристаней, расстояние между которыми 350 км, в 11 ч отправились навстречу друг другу два теплохода. Скорость первого 32 км/ч, скорость второго 38 км/ч. В какое время теплоходы встретятся?

Ответ:
математика 4 класс Моро, Бантова - 2 часть страница 56, номер 22

1) 32 + 38 = 70 (км/ч) – скорость сближения. 2) 350 : 70 = 5 (ч) – теплоходы были в пути. 3) 11 + 5 = 16 (ч) - теплоходы встретятся
Ответ: в 16 часов теплоходы встретятся.

Подсказка:

Повтори взаимосвязь между скоростью, временем и расстоянием.

Шаг 1.
Оформляем условие в виде схематического чертежа.
Пояснение к заданию 22
Шаг 2.
Рассуждаем.

Найдем скорость сближения теплоходов.
1) 32 + 38 = 70 (км/ч) – скорость сближения.

Шаг 3.
Продолжаем рассуждение.

Узнаем, какое количество времени теплоходы были в пути.
2) 350 : 70 = 5 (ч) – теплоходы были в пути.

Шаг 4.
Продолжаем рассуждение.

Узнаем, с какое время теплоходы встретятся.
3) 11 + 5 = 16 (ч) – время, когда теплоходы встретятся.

Шаг 5.
Записываем ответ.

Ответ: в 16 часов.

Номер 23.

Два велосипедиста отправились из одного посёлка одновременно в противоположных направлениях. Через 30 мин расстояние между ними было 15 км. Скорость одного из них 260 м/мин. Узнай скорость другого велосипедиста. (Вырази 15 км в метрах.) Составь и реши задачи, обратные данной.

Ответ:
математика 4 класс Моро, Бантова - 2 часть страница 56, номер 23, задача 1

15 км = 15000 м 1) 260 ∙ 30 = 7800 (м) – проехал один велосипедист. 2) 15000 − 7800 = 7200 (м) – проехал другой велосипедист. 3) 7200 : 30 = 240 (м/мин) – скорость другого велосипедиста.
Ответ: скорость другого велосипедиста составляет 240 м/мин.
Обратная задача 1: Два велосипедиста одновременно отправились из одного поселка в противоположных направлениях. Средняя скорость одного из них 260 м / мин, а другого – 240 м/ мин. Какое расстояние будет между ними через 30 мин? Вырази расстояние между ними через 30 минут в километрах.

математика 4 класс Моро, Бантова - 2 часть страница 56, номер 23, задача 2

1) 260 + 240 = 500 (м/мин) – скорость удаления. 2) 500 ∙ 30 = 15000 (м) = 15 км – расстояние между велосипедистами через 30 минут езды.
Ответ: расстояние между велосипедистами через 30 минут составит 15 км.
Обратная задача 2: Два велосипедиста одновременно отправились из поселка в противоположных направлениях. Скорость одного из них 260 м/мин, а скорость другого 240 м/мин. Через сколько минут расстояние между ними будет 15 км?

математика 4 класс Моро, Бантова - 2 часть страница 56, номер 23, задача 3

15 км = 15000 м 1) 260 + 240 = 500 (м/мин) – скорость удаления. 2) 15000 : 500 = 30 (мин) – время, через которое расстояние между велосипедистами будет равно 15 км.
Ответ: расстояние между велосипедистами через 30 минут составит 15 км.

Подсказка:

Повтори взаимосвязь между скоростью, временем и расстоянием.

Данная задача.

Шаг 1.
Рассуждаем и выполняем вычисление.
Пояснение к заданию 23
Шаг 2.
Рассуждаем.

Узнаем, сколько метров проехал один велосипедист.
15 км = 15000 м
1) 260 ∙ 30 = 7800 (м) – проехал один велосипедист.

Шаг 3.
Продолжаем рассуждение.

Узнаем, сколько метров проехал другой велосипедист.
2) 15000 − 7800 = 7200 (м) – проехал другой велосипедист.

Шаг 4.
Продолжаем рассуждение.

Узнаем скорость другого велосипедиста. Для этого расстояние, которое он преодолел, разделим на время в пути.
3) 7200 : 30 = 240 (м/мин) – скорость другого велосипедиста.

Шаг 5.
Записываем ответ.

Ответ: 240 м/мин.

Обратная задача 1.

Шаг 1.
Составим первую задачу обратную данной.

Два велосипедиста одновременно отправились из одного поселка в противоположных направлениях. Средняя скорость одного из них 260 м / мин, а другого – 240 м/ мин. Какое расстояние будет между ними через 30 мин? Вырази расстояние между ними через 30 минут в километрах.

Шаг 2.
Оформляем условие в виде схематического чертежа.
Пояснение к заданию 23
Шаг 3.
Рассуждаем.

Узнаем скорость удаления велосипедистов.
1) 260 + 240 = 500 (м/мин) – скорость удаления.

Шаг 4.
Продолжаем рассуждение.

Узнаем расстояние между велосипедистами через 30 минут езды.
2) 500 ∙ 30 = 15000 (м) = 15 км – расстояние между велосипедистами через 30 минут езды.

Шаг 5.
Записываем ответ.

Ответ: 15 км.

Обратная задача 2.

Шаг 1.
Составим вторую задачу обратную данной.

Два велосипедиста одновременно отправились из поселка в противоположных направлениях. Скорость одного из них 260 м/мин, а скорость другого 240 м/мин. Через сколько минут расстояние между ними будет 15 км?

Шаг 2.
Оформляем условие в виде схематического чертежа.
Пояснение к заданию 23
Шаг 3.
Рассуждаем.

15 км = 15000 м
Узнаем скорость удаления велосипедистов.
1) 260 + 240 = 500 (м/мин) – скорость удаления.

Шаг 4.
Продолжаем рассуждение.

Узнаем, через какое время расстояние между велосипедистами будет 15 км.
2) 15000 : 500 = 30 (мин) – время, через которое расстояние между велосипедистами будет равно 15 км.

Шаг 5.
Записываем ответ.

Ответ: через 30 минут.

Номер 24.

В санатории построили бассейн прямоугольной формы, длина которого 15 м, ширина 5 м и глубина 2 м.
1) Сколько квадратных кафельных плиток со стороной 1 дм каждая потребовалось для облицовки дна этого бассейна? стенок этого бассейна?
2) Сколько надо сделать шагов, чтобы обойти весь бассейн, если длина шага 50 см?

Ответ:

Задача 1:

математика 4 класс Моро, Бантова - 2 часть страница 56, номер 24, задача 1

1 ∙ 1 = 1 (дм²) – площадь одной плитки для облицовки бассейна. 15 ∙ 5 = 75 (м²) – площадь дна бассейна. 75 м² ∙ 100 = 75 (дм²) (умножаем на 100, потому что 1 м² = 100дм²) 7500 ∙ 1 = 7500 (кафельных плиток) – понадобятся для облицовки дна бассейна.
Теперь найдем площади стенок: 1ая стенка: 5 ∙ 2 = 10 (м²) 2ая стенка: 2 ∙ 15 = 30 (м²) 3ья стенка: 2 ∙ 5 = 10 (м²) 4ая стенка: 15 ∙ 2 = 30 (м²)
Мы видим, что стены бассейна попарно равны, то есть в бассейне 4 стороны и две противоположные равны. Поэтому, можно найти площадь всех сторон через выражение: (2 ∙ 5 + 2 ∙ 15) ∙ 2 = (10 + 30) ∙ 2 = 80 (м²). 80 м² ∙ 100 = 8000 (дм²) (потому что 1 м² = 100дм²) 8000 ∙ 1 = 8000 (кафельных плиток) – понадобятся для облицовки стенок бассейна.
Ответ: 7500 плиток нужно для облицовки бассейна и 8000 плиток необходимо для облицовки стенок бассейна.
Задача 2: Человеку нужно обойти бассейн, а значит нужно обойти его по бордюру, который имеет форму прямоугольника. Чтобы узнать сколько шагов нужно сделать, нужно прежде всего найти длину всего бордюра, а значит вычислить его периметр.

математика 4 класс Моро, Бантова - 2 часть страница 56, номер 24, задача 2

(15 + 5) ∙ 2 = 40 (м) – длина бордюра. 40 метров = 4000 см, потому что 1 м = 100 см. 4000 : 50 = 80 (шагов) – нужно сделать, чтобы обойти весь бассейн.
Ответ: 80 шагов всего нужно сделать, чтобы обойти весь бассейн.

Подсказка:

Повтори единицы длины – метр и сантиметр, единицы площади, а также как найти площадь и периметр прямоугольника.

Шаг 1.
Оформляем условие в виде схематического чертежа.
Пояснение к заданию 24
Шаг 2.
Ответим на первый вопрос задачи.

1 ∙ 1 = 1 (дм²) – площадь одной плитки для облицовки бассейна.
15 ∙ 5 = 75 (м²) – площадь дна бассейна.
75 м² ∙ 100 = 75 (дм²) (умножаем на 100, потому что 1 м² = 100дм²)
7500 ∙ 1 = 7500 (кафельных плиток) – понадобятся для облицовки дна бассейна.
Теперь найдем площади стенок:
1ая стенка: 5 ∙ 2 = 10 (м²)
2ая стенка: 2 ∙ 15 = 30 (м²)
3ья стенка: 2 ∙ 5 = 10 (м²)
4ая стенка: 15 ∙ 2 = 30 (м²)
Мы видим, что стены бассейна попарно равны, то есть в бассейне 4 стороны и две противоположные равны. Поэтому, можно найти площадь всех сторон через уравнение:
(2 ∙ 5 + 2 ∙ 15) ∙ 2 = (10 + 30) ∙ 2 = 80 (м²).
80 м² ∙ 100 = 8000 (дм²) (потому что 1 м² = 100дм²)
8000 ∙ 1 = 8000 (кафельных плиток) – понадобятся для облицовки стенок бассейна.
Ответ: 7500 плиток и 8000.

Шаг 3.
Ответим на второй вопрос задачи.

Человеку нужно обойти бассейн, а значит нужно обойти его по бордюру, который имеет форму прямоугольника. Чтобы узнать сколько шагов нужно сделать, нужно прежде всего найти длину всего бордюра, а значит посчитать его периметр.

Пояснение к заданию 24

(15 + 5) ∙ 2 = 40 (м) – длина бордюра.
40 метров = 4000 см, потому что 1 м = 100 см.
4000 : 50 = 80 (шагов) – нужно сделать, чтобы обойти весь бассейн.
Ответ: 80 шагов.

Номер 25.

Составь по данной таблице выражения, которые показывают:
1) стоимость всех купленных столов и стульев;
2) на сколько больше стоимость всех стульев, чем стоимость всех столов;
3) стоимость всех столов и шести стульев.

математика 4 класс Моро, Бантова - 2 часть страница 56, номер 25

Ответ:

1) а ∙ 8 + к ∙ 36; 2) к ∙ 36 - а ∙ 8; 3) а ∙ 8 + к ∙ 6

Подсказка:

Повтори взаимосвязь между ценой, количеством и стоимостью, а также что такое буквенные выражения.

Шаг 1.
Составим выражения по данным таблицы.

Чтобы найти стоимость, нужно цену умножить на количество.
1) 8 ∙ а + 36 ∙ к;
2) 36 ∙ к − 8 ∙ а;
3) 8 ∙ а + 36 ∙ к.

Шаг 2.
Оформим задание в тетрадь.

Номер 1.

Объясни на примере, как можно по-разному умножить число на сумму.

Ответ:

4 ∙ (5 + 3) = 4 ∙ 8 = 32 4 ∙ (5 + 3) = 4 ∙ 5 + 4 ∙ 3 = 20 + 12 = 32

Подсказка:

Повтори, как называются числа при умножении.

Шаг 1.
Выполняем вычисления.

Чтобы умножить число на сумму, можно сначала выполнить сложение, а затем умножить число на полученный результат.
4 ∙ (5 + 3) = 4 ∙ 8 = 32
Для умножения числа на сумму, можно умножить данное число на каждое слагаемое отдельно и полученные результаты сложить.
4 ∙ (5 + 3) = 4 ∙ 5 + 4 ∙ 3 = 20 + 12 = 32

Шаг 2.
Оформляем задание в тетрадь.

4 ∙ (5 + 3) = 4 ∙ 8 = 32
4 ∙ (5 + 3) = 4 ∙ 5 + 4 ∙ 3 = 20 + 12 = 32

Номер 2.

Составь примеры на умножение двузначного числа на двузначное и трёхзначного числа на трёхзначное. Реши их с объяснением.

Ответ:

1) 12 ∙ 37

математика 4 класс Моро, Бантова - 2 часть страница 56, номер 2, пример 1

Умножу первый множитель на число единиц: 12 ∙ 5 = 60 Получу первое неполное произведение 60. Умножу первый множитель на число десятков: 12 ∙ 3 = 36 Начну записывать первое неполное произведение под единицами, а второе под десятками. Сложу неполные произведения. Читаю ответ: произведение чисел 12 и 35 равно 420.
2) 123 ∙ 937

математика 4 класс Моро, Бантова - 2 часть страница 56, номер 2, пример 2

Умножу первый множитель на число единиц: 123 ∙ 7 = 861 Получу первое неполное произведение 861. Умножу первый множитель на число десятков: 123 ∙ 8 = 984 Получу второе неполное произведение: 984. Умножу первый множитель на число сотен: 123 ∙ 9 = 1107 Начну подписывать первое неполное произведение под единицами,а второе неполное произведение под десятками. Третье неполное произведение записываю под сотнями. Сложу неполные произведения. Читаю ответ: произведение чисел 123 и 789 равно 121401.

Подсказка:

Повтори алгоритм письменного умножения на двузначные и трёхзначные числа.

Шаг 1.
Выполняем вычисления.

1) 12 ∙ 37

Пояснение к заданию 2

Умножу первый множитель на число единиц:
12 ∙ 5 = 60
Получу первое неполное произведение 60.
Умножу первый множитель на число десятков:
12 ∙ 3 = 36
Начну записывать первое неполное произведение под единицами, а второе под десятками.
Сложу неполные произведения.
Читаю ответ: произведение чисел 12 и 35 равно 420.

2) 254 ∙ 937

Пояснение к заданию 2

Умножу первый множитель на число единиц:
123 ∙ 7 = 861
Получу первое неполное произведение 861.
Умножу первый множитель на число десятков:
123 ∙ 8 = 984
Получу второе неполное произведение: 984.
Умножу первый множитель на число сотен:
123 ∙ 9 = 1107
Начну подписывать первое неполное произведение под единицами, а второе неполное произведение под десятками. Третье неполное произведение записываю под сотнями.
Сложу неполные произведения.
Читаю ответ: произведение чисел 123 и 789 равно 121401.

Шаг 2.
Оформляем задание в тетрадь.
Пояснение к заданию 2

Задание на полях страницы

Начерти такой узор.

Ответ:
математика 4 класс Моро, Бантова - 2 часть страница 56, задание на полях страницы

1. Нарисуй в ряд по вертикали 4 кружка, диаметр каждого из которых 2 см. 2. Внутри каждого нарисуй ромб так, чтобы они соприкасались кончиками и образовывали гирлянду сверху вниз. Длина ромба 2 см, а ширина 1 см. 3. В точке, где мысленно проведенная длина и ширина пересекаются поставь точку - это начало другой цепочки из ромбов уже другого цвета. Строй их также как и предыдущую цепочку (ширина 1 см, а длина - 2 см. 4. Сверху и снизу дорисуй перекладинки ромба, чтобы они касались круга.

Подсказка:

Повтори, что такое окружность, а также какие бывают многоугольники.

Шаг 1.
Рассмотрим данный узор.
Пояснение к заданию на полях страницы
Шаг 2.
Начертим узор в тетрадь.

1. Нарисуй в ряд по вертикали 4 кружка, диаметр каждого из которых 2 см.
2. Внутри каждого нарисуй ромб так, чтобы они соприкасались кончиками и образовывали гирлянду сверху вниз. Длина ромба 2 см, а ширина 1 см.
3. В точке, где мысленно проведенная длина и ширина пересекаются поставь точку – это начало другой цепочки из ромбов уже другого цвета. Строй их также как и предыдущую цепочку (ширина 1 см, а длина – 2 см.
4. Сверху и снизу дорисуй перекладинки ромба, чтобы они касались круга.

Что узнали. Чему научились

Номер 1.

Проверь, верны ли равенства.

Ответ:

13 ∙ (10 + 2) = 13 ∙ 10 + 13 ∙ 2 – верно. 15 ∙ (10 ∙ 2) = 15 ∙ 10 ∙ 2 – верно.
(20 + 5) ∙ 4 = 20 + 5 ∙ 4 – неверно, потому что (20 + 5) ∙ 4 = 20 ∙ 4 + 5 ∙ 4. 72 : (8 ∙ 2) = 72 : 8 ∙ 3 – неверно, потому что 72 : (8 ∙ 2) = 72 : 8 : 2.

Подсказка:

Повтори свойства умножения.

Шаг 1.
Рассуждаем.

13 ∙ (10 + 2) = 13 ∙ 10 + 13 ∙ 2 – верное равенство.
Так как в данном выражении используется распределительное свойство:
При умножении числа на сумму можно умножить его на каждое слагаемое в отдельности и полученные результаты сложить.
Проверим вычислением.
13 ∙ (10 + 2) = 13 ∙ 12 = 156

Пояснение к заданию 1

13 ∙ 10 + 13 ∙ 2 = 130 + 26 = 156
156 = 156

15 ∙ (10 ∙ 2) = 15 ∙ 10 ∙ 2 – верное равенство.
Так как в данном выражении используется сочетательное свойство:
При умножении числа на произведение можно сначала умножить число на один множитель, а полученный результат умножить на другой множитель.
Проверим вычислением.
15 ∙ (10 ∙ 2) = 15 ∙ 20 = 300
15 ∙ 10 ∙ 2 = 150 ∙ 2 = 300
300 = 300

(20 + 5) ∙ 4 = 20 + 5 ∙ 4 – неверное равенство.
Так как в данном выражении не работает распределительное свойство:
При умножении числа на сумму можно умножить его на каждое слагаемое в отдельности и полученные результаты сложить.
Проверим вычислением.
(20 + 5) ∙ 4 = 25 ∙ 4 = 100
20 + 5 ∙ 4 = 20 + 20 = 40
100 ≠ 40

72 : (8 ∙ 3) = 72 : 8 ∙ 3 – неверное равенство.
Так как в данном выражении используется сочетательное свойство:
При умножении числа на произведение можно сначала умножить число на один множитель, а полученный результат умножить на другой множитель.
Проверим вычислением.
72 : (8 ∙ 3) = 72 : 24 = 3
72 : 8 ∙ 3 = 9 ∙ 3 = 27
3 ≠ 24

Шаг 2.
Оформим задание в тетрадь.

13 ∙ (10 + 2) = 13 ∙ 10 + 13 ∙ 2 – верно
15 ∙ (10 ∙ 2) = 15 ∙ 10 ∙ 2 – верно

(20 + 5) ∙ 4 = 20 + 5 ∙ 4 – неверно,
потому что (20 + 5) ∙ 4 = 20 ∙ 4 + 5 ∙ 4
72 : (8 ∙ 2) = 72 : 8 ∙ 3 – неверно,
потому что 72 : (8 ∙ 2) = 72 : 8 : 2

Номер 2.

Ответ:
Математика 4 класс Моро, Бантова - 2 часть страница 56, номер 2. Год 2024.
Подсказка:

Повтори алгоритм письменного сложения и умножения трёхзначных чисел, а также порядок действий.

Шаг 1.
Выполняем вычисления.

Выполним вычисление по действиям.

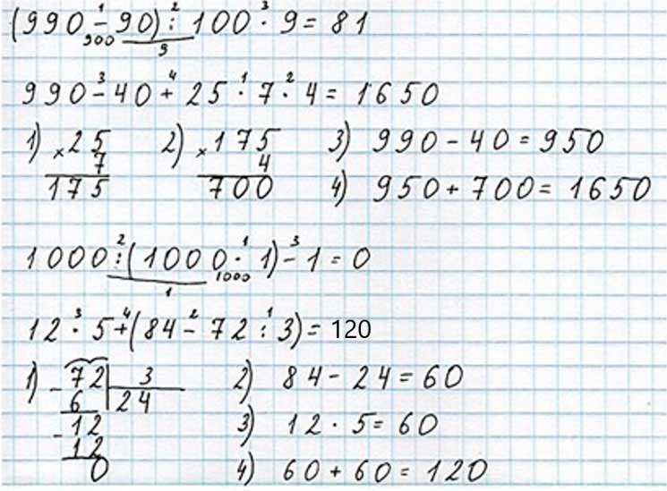
(990 – 90) : 100 ∙ 9 = 81
В данном выражении сначала выполняется действие в скобках – вычитание, затем действия вне скобок – деление, а потом – умножение.
1) 990 – 90 = 900 + 90 – 90 = 900
2) 900 : 100 = 9
3) 9 ∙ 9 = 81

990 – 40 + 25 ∙ 7 ∙ 4 = 1650
В данном выражении сначала выполняются действия умножения по порядку, затем вычитание, а потом – сложение.
1) 25 ∙ 7 = (20 + 5) ∙ 7 = 140 + 35 = 175
2) 175 ∙ 4 = (100 + 70 + 5) ∙ 4 = 400 + 280 + 20 = 700
3) 990 – 40 = 900 + 90 – 40 = 900 + 50 = 950
4) 950 + 700 = 1650

1000 : (1000 ∙ 1) – 1 = 0
В данном выражении сначала выполняется действие в скобках – умножение, затем действия вне скобок – деление, а потом – вычитание.
1) 1000 ∙ 1 = 1000
2) 1000 : 1000 = 1
3) 1 – 1 = 0

12 ∙ 5 + (84 – 72 : 3) = 120
В данном выражении сначала выполняется действие в скобках – деление, после чего – вычитание, затем действия вне скобок – умножение, а потом – сложение.
1) 72 : 3 = (60 + 12) : 3 = 20 + 4 = 24
2) 84 – 24 = 80 + 4 – 20 – 4 = 80 – 20 = 60
3) 12 ∙ 5 = (10 + 2) ∙ 5 = 50 + 10 = 60
4) 60 + 60 = 120

Шаг 2.
Оформляем задание в тетрадь.
Пояснение к заданию 2

Номер 3.

Найди значения выражений a + b и a − b, если: 1) a = 30100 и b = 20935; 2) a = 28005 и b = 13706.

Ответ:

1)

Математика 4 класс Моро, Бантова - 2 часть страница 56, номер 3, пример 1. Год 2024.

2)

Математика 4 класс Моро, Бантова - 2 часть страница 56, номер 3, пример 2. Год 2024.
Подсказка:

Повтори, что такое буквенные выражения.

Шаг 1.
Вычисляем.

Чтобы найти значение буквенного выражения, нужно в это выражение вместо букв подставить данные числа и выполнить вычисления.
Если a = 30100 и b = 20935, то
a + b = 30100 + 20935 = 51035

Пояснение к заданию 3

a – b = 30100 – 20935 = 9165

Пояснение к заданию 3
Шаг 2.
Продолжаем вычисления.

Чтобы найти значение буквенного выражения, нужно в это выражение вместо букв подставить данные числа и выполнить вычисления.
Если a = 28005 и b = 13706, то
a + b = 28005 + 13706 = 41711

Пояснение к заданию 3

a – b = 28005 – 13706 = 14299

Пояснение к заданию 3
Шаг 3.
Оформляем задание в тетрадь.

1)

Пояснение к заданию 3

2)

Пояснение к заданию 3

Номер 4.

Найди значения выражений с ∙ d и с : d, если c = 6030 и d = 90.

Ответ:
Математика 4 класс Моро, Бантова - 2 часть страница 56, номер 4. Год 2024.
Подсказка:

Повтори, что такое буквенные выражения.

Шаг 1.
Выполняем вычисления.

Чтобы найти значение буквенного выражения, нужно в это выражение вместо букв подставить данные числа и выполнить вычисления.
Если c = 6030 и d = 90, то
c ∙ d = 6030 ∙ 90 = 542700

Пояснение к заданию 4

c : d = 6030 : 90 = 603 : 9 = 67

Пояснение к заданию 4
Шаг 2.
Оформляем задание в тетрадь.
Пояснение к заданию 4

Номер 5.

Вычисли удобным способом.

Ответ:

87 ∙ 64 + 87 ∙ 36 = 87 ∙ (64 + 36) = 87 ∙ 100 = 8700 39 ∙ 16 + 39 ∙ 4 = 39 ∙ (16 + 4) = 39 ∙ 20 = 780
96 ∙ 77 − 96 ∙ 76 = 96 ∙ (77 − 76) = 96 ∙ 1 = 96 48 ∙ 61 − 40 ∙ 61 = 61 ∙ (48 − 40) = 61 ∙ 8 = 488
24 ∙ 49 + 24 = 24 ∙ 49 + 24 ∙ 1 = 24 ∙ (49 + 1) = 24 ∙ 50 = 1200 34 ∙ 21 − 34 = 34 ∙ 21 − 34 ∙ 1 = 34 ∙ (21 − 1) = 34 ∙ 20 = 680

Подсказка:

Повтори свойства умножения.

Шаг 1.
Выполняем вычисления.

87 ∙ 64 + 87 ∙ 36 = 87 ∙ (64 + 36) = 87 ∙ 100 = 8700
Воспользуемся распределительным свойством сложения.
Чтобы умножить число на сумму, можно это число умножить на каждое слагаемое и полученные результаты сложить.

39 ∙ 16 + 39 ∙ 4 = 39 ∙ (16 + 4) = 39 ∙ 20 = 780
Воспользуемся распределительным свойством сложения.
Чтобы умножить число на сумму, можно это число умножить на каждое слагаемое и полученные результаты сложить.

96 ∙ 77 − 96 ∙ 76 = 96 ∙ (77 − 76) = 96 ∙ 1 = 96
Воспользуемся распределительным свойством вычитания.
Чтобы умножить число на разность, можно это число умножить на уменьшаемое и вычитаемое, и из первого полученного результата вычесть второй.

48 ∙ 61 − 40 ∙ 61 = 61 ∙ (48 − 40) = 61 ∙ 8 = 488
Воспользуемся распределительным свойством вычитания.
Чтобы умножить число на разность, можно это число умножить на уменьшаемое и вычитаемое, и из первого полученного результата вычесть второй.

24 ∙ 49 + 24 = 24 ∙ 49 + 24 ∙ 1 = 24 ∙ (49 + 1) = 24 ∙ 50 = 1200
Воспользуемся распределительным свойством сложения.
Чтобы умножить число на сумму, можно это число умножить на каждое слагаемое и полученные результаты сложить.

34 ∙ 21 − 34 = 34 ∙ 21 − 34 ∙ 1 = 34 ∙ (21 − 1) = 34 ∙ 20 = 680
Воспользуемся распределительным свойством вычитания.
Чтобы умножить число на разность, можно это число умножить на уменьшаемое и вычитаемое, и из первого полученного результата вычесть второй.

Шаг 2.
Оформляем задание в тетрадь.

87 ∙ 64 + 87 ∙ 36 = 87 ∙ (64 + 36) = 87 ∙ 100 = 8700
39 ∙ 16 + 39 ∙ 4 = 39 ∙ (16 + 4) = 39 ∙ 20 = 780
96 ∙ 77 − 96 ∙ 76 = 96 ∙ (77 − 76) = 96 ∙ 1 = 96
48 ∙ 61 − 40 ∙ 61 = 61 ∙ (48 − 40) = 61 ∙ 8 = 488
24 ∙ 49 + 24 = 24 ∙ 49 + 24 ∙ 1 = 24 ∙ (49 + 1) = 24 ∙ 50 = 1200
34 ∙ 21 − 34 = 34 ∙ 21 − 34 ∙ 1 = 34 ∙ (21 − 1) = 34 ∙ 20 = 680

Номер 6.

Запиши неравенства и проверь, верны ли они.
1) Частное чисел 36150 и 50 меньше разности чисел 2010 и 1285.
2) Произведение чисел 701 и 322 больше, чем 200000.

Ответ:
Математика 4 класс Моро, Бантова - 2 часть страница 56, номер 6. Год 2024.
Подсказка:

Повтори, как называются числа при вычитании, умножении и делении, а также что такое неравенства.

Шаг 1.
Записываем неравенства.

36150 : 50 < 2010 – 1285
701 ∙ 322 > 200000

Шаг 2.
Выполняем вычисления.

36150 : 50 < 2010 – 1285
1) 36150 : 50 = 723

Пояснение к заданию 6

2) 2010 – 1285 = 725

Пояснение к заданию 6

723 < 725 – верно.
Значит, неравенство 36150 : 50 < 2010 – 1285 – верно.

701 ∙ 322 > 200000
701 ∙ 322 = 225722

Пояснение к заданию 6

225722 > 200000 – верно.
Значит, неравенство 701 ∙ 322 > 200000 – верно.

Шаг 3.
Оформляем задание в тетрадь.
Пояснение к заданию 6

Номер 7.

Ответ:
Математика 4 класс Моро, Бантова - 2 часть страница 56, номер 7. Год 2024.
Подсказка:

Повтори алгоритм умножения на трёхзначные числа.

Шаг 1.
Выполняем вычисления.

702 ∙ 144 = 101088

Пояснение к заданию 7

702 ∙ 4 = 2808 – первое неполное произведение.
702 ∙ 4 = 2808 – второе неполное произведение.
702 ∙ 1 = 702 – третье неполное произведение.
Складываем неполные множители.
Произведение чисел 702 и 144 равно 101088.

320 ∙ 588 = 188160

Пояснение к заданию 7

32 ∙ 8 = 256 – первое неполное произведение.
32 ∙ 8 = 256 – второе неполное произведение.
32 ∙ 5 = 160 – третье неполное произведение.
Складываем неполные множители и приписываем справа один нуль.
Произведение чисел 320 и 588 равно 188160.

705 ∙ 206 = 145230

Пояснение к заданию 7

705 ∙ 6 = 4230 – первое неполное произведение.
Второе неполное произведение равно 0.
705 ∙ 2 = 1410 – третье неполное произведение.
Складываем неполные множители.
Произведение чисел 705 и 206 равно 145230.

802 ∙ 103 = 82606

Пояснение к заданию 7

802 ∙ 3 = 2406 – первое неполное произведение.
Второе неполное произведение равно 0.
802 ∙ 1 = 802 – третье неполное произведение.
Складываем неполные множители.
Произведение чисел 802 и 103 равно 82606.

237 ∙ 405 = 95985

Пояснение к заданию 7

237 ∙ 5 = 1185 – первое неполное произведение.
Второе неполное произведение равно 0.
237 ∙ 4 = 948 – третье неполное произведение.
Складываем неполные множители.
Произведение чисел 237 и 405 равно 95985.

194 ∙ 308 = 59752

Пояснение к заданию 7

194 ∙ 8 = 1552 – первое неполное произведение.
Второе неполное произведение равно 0.
197 ∙ 3 = 582 – третье неполное произведение.
Складываем неполные множители.
Произведение чисел 197 и 308 равно 59752.

490 ∙ 360 = 176400

Пояснение к заданию 7

49 ∙ 6 = 294 – первое неполное произведение.
49 ∙ 3 = 147 – второе неполное произведение.
Складываем неполные множители и приписываем справа два нуля.
Произведение чисел 490 и 360 равно 176400.

670 ∙ 280 = 187600

Пояснение к заданию 7

67 ∙ 8 = 536 – первое неполное произведение.
67 ∙ 2 = 134 – второе неполное произведение.
Складываем неполные множители и приписываем справа два нуля.
Произведение чисел 670 и 280 равно 187600.

Шаг 2.
Оформляем задание в тетрадь.
Пояснение к заданию 7

Номер 8.

Ответ:
Математика 4 класс Моро, Бантова - 2 часть страница 56, номер 8. Год 2024.
Подсказка:

Повтори алгоритм письменного сложения, вычитания, умножения и деления на трёхзначное число, а также порядок действий.

Шаг 1.
Рассуждаем и выполняем вычисление.

720 ∙ 400 – 195046 = 92954
В данном выражении сначала выполняется действие умножение, а затем – вычитание.
1) 720 ∙ 400 = 288000

Пояснение к заданию 8

2) 288000 – 195046 = 92954

Пояснение к заданию 8

83249 + 6710 ∙ 80 = 620049
В данном выражении сначала выполняется действие умножение, а затем – сложение.
1) 6710 ∙ 80 = 536800

Пояснение к заданию 8

2) 83249 + 536800 = 620049

Пояснение к заданию 8

264037 + 516600 : 900 – 17080 = 247531
В данном выражении сначала выполняется действие деление, затем – сложение, а потом – вычитание.
1) 516600 : 900 = 574

Пояснение к заданию 8

2) 264037 + 574 = 264611

Пояснение к заданию 8

3) 264611 – 17080 = 247531

Пояснение к заданию 8

450430 – 196000 : 700 + 98764 = 548914
В данном выражении сначала выполняется действие деление, затем – вычитание, а потом – сложение.
1) 196000 : 700 = 280

Пояснение к заданию 8

2) 450430 – 280 = 450150

Пояснение к заданию 8

3) 450150 + 98764 = 548914

Пояснение к заданию 8
Шаг 2.
Оформляем задание в тетрадь.
Пояснение к заданию 8

Номер 9.

Выполни деление с остатком и проверь решение.

Ответ:
Математика 4 класс Моро, Бантова - 2 часть страница 56, номер 9. Год 2024.
Подсказка:

Повтори, как выполняется деление с остатком.

Шаг 1.
Выполняем вычисления.

387 : 50 = 7 (ост. 37)

Пояснение к заданию 9

Проверка:
1) 37 < 50
2) 7 ∙ 50 + 37 = 350 + 37 = 387

5893 : 70 = 84 (ост. 13)

Пояснение к заданию 9

Проверка:
1) 13 < 70
2) 84 ∙ 70 + 13 = (80 + 4) ∙ 70 + 13 = 5600 + 280 + 13 = 5893

764 : 200 = 3 (ост. 164)

Пояснение к заданию 9

Проверка:
1) 164 < 200
2) 3 ∙ 200 + 164 = 600 + 164 = 764

9361 : 600 = 15 (ост. 361)

Пояснение к заданию 9

Проверка:
1) 361 < 600
2) 15 ∙ 600 + 361 = 9000 + 361 = 9361

Шаг 2.
Оформляем задание в тетрадь.
Пояснение к заданию 9

Номер 10.

Используя эти выражения, составь верные равенства.

Ответ:

32 ∙ 40 + 32 ∙ 6 = 32 ∙ 46 23 ∙ 50 + 23 ∙ 4 = 23 ∙ 54
46 ∙ 30 + 46 ∙ 2 = 46 ∙ 32 54 ∙ 20 + 54 ∙ 3 = 54 ∙ 23
32 ∙ 40 + 32 ∙ 6 = 46 ∙ 30 + 46 ∙ 2 23 ∙ 50 + 23 ∙ 4 = 54 ∙ 20 + 54 ∙ 3
23 ∙ 54 = 54 ∙ 23 32 ∙ 46 = 46 ∙ 32

Подсказка:

Повтори, что такое равенства.

Шаг 1.
Выполняем вычисления.

Чтобы умножить число на сумму, можно умножить это число на каждое слагаемое и сложить полученные результаты.
32 ∙ 40 + 32 ∙ 6 = 32 ∙ (40 + 6) = 32 ∙ 46
23 ∙ 50 + 23 ∙ 4 = 23 ∙ (50 + 4) = 23 ∙ 54
46 ∙ 30 + 46 ∙ 2 = 46 ∙ (30 + 2) = 46 ∙ 32
54 ∙ 20 + 54 ∙ 3 = 54 ∙ (20 + 3) = 54 ∙ 23

Шаг 2.
Оформляем задание в тетрадь.

32 ∙ 40 + 32 ∙ 6 = 32 ∙ 46
32 ∙ 40 + 32 ∙ 6 = 46 ∙ 32
23 ∙ 50 + 23 ∙ 4 = 23 ∙ 54
23 ∙ 50 + 23 ∙ 4 = 54 ∙ 23
46 ∙ 30 + 46 ∙ 2 = 46 ∙ 32
46 ∙ 30 + 46 ∙ 2 = 32 ∙ 46
54 ∙ 20 + 54 ∙ 3 = 54 ∙ 23
54 ∙ 20 + 54 ∙ 3 = 23 ∙ 54
32 ∙ 40 + 32 ∙ 6 = 46 ∙ 30 + 46 ∙ 2
23 ∙ 50 + 23 ∙ 4 = 54 ∙ 20 + 54 ∙ 3
23 ∙ 54 = 54 ∙ 23
32 ∙ 46 = 46 ∙ 32

Номер 11.

Составь по задачам уравнения и реши их.
1) Какое число надо умножить на 4, чтобы получить разность чисел 350 и 70?
2) На какое число надо разделить 750, чтобы получить сумму чисел 32 и 18?

Ответ:

1) х ∙ 4 = 350 − 70     х ∙ 4 = 280     х = 280 : 4     x = 70     70 ∙ 4 = 350 − 70        280 = 280
    Ответ: х = 70.
2) 750 : х = 32 + 18     750 : х = 50     х = 750 : 50     x = 15     750 : 15 = 32 + 18              50 = 50
    Ответ: х = 15.

Подсказка:

Повтори, как решать уравнения.

Шаг 1.
Выполняем вычисления.

В каждом из составленных уравнений сначала выполняем вычисления в правой части.
1) 4 ∙ х = 350 – 70
    4 ∙ х = 280
    Чтобы найти первый множитель, нужно произведение разделить на второй множитель:
    х = 280 : 4
    х = 70
    Проверка:
    4 ∙ 70 = 350 – 70
    280 = 280

2) 750 : х = 32 + 18
    750 : х = 50
    Чтобы найти делитель, нужно делимое разделить на частное:
    х = 750 : 50
    х = 15
    Проверка:
    750 : 15 = 32 + 18
    50 = 50

Шаг 2.
Оформляем задание в тетрадь.

1) 4 ∙ х = 350 – 70
    4 ∙ х = 280
    х = 280 : 4
    х = 70
    Проверка:
    4 ∙ 70 = 350 – 70
    280 = 280
    Ответ: х = 70.

2) 750 : х = 32 + 18
    750 : х = 50
    х = 750 : 50
    х = 15
    Проверка:
    750 : 15 = 32 + 18
    50 = 50
    Ответ: х = 15.

Номер 12.

Сравни скорости, с которыми могут двигаться разные животные (с. 80 – 81).

Ответ:

Переведем все представленные скорости в одной единице измерения (км/ч). Расстояние необходимо привести к единице км, а время – к часам.

Математика 4 класс Моро, Бантова - 2 часть страница 56, номер 12. Год 2024.

Тогда табличка скоростей выглядит так:

Математика 4 класс Моро, Бантова - 2 часть страница 56, номер 12. Год 2024.

Теперь сравним скорости животных. А) По убыванию (начиная с самого быстрого): 1) стриж 120 км/ч; 2) гепард 108 км/ч; 3) антилопа 90 км/ч; 4) голубь 60 – 90 км/ч; 5) лев 80 км/ч; 6) зебра 60 км/ч; 7) воробей 30-60 км/ч; 8) жираф 45 км/ч; 9) аист 36 км/ч; 10) страус 30 км/ч.
Б) По возрастанию (начиная с самого медленного): 1) страус 30 км/ч; 2) аист 36 км/ч; 3) жираф 45 км/ч; 4) воробей 30 – 60 км/ч; 5) зебра 60 км/ч; 6) лев 80 км/ч; 7) голубь 60 – 90 км/ч; 8) антилопа 90 км/ч; 9) гепард 108 км/ч; 10) стриж 120 км/ч.

Подсказка:

Повтори, в каких единицах измеряется скорость.

Шаг 1.
Рассуждаем.

Переведем все представленные скорости в одной единице измерения (км/ч).
Расстояние необходимо привести к единице км, а время – к часам.

Пояснение к заданию 12

Тогда табличка скоростей выглядит так:

Пояснение к заданию 12
Шаг 2.
Продолжаем рассуждения.

Сравним скорости животных.

А) По убыванию (начиная с самого быстрого):
    1) стриж 120 км/ч;
    2) гепард 108 км/ч;
    3) антилопа 90 км/ч;
    4) голубь 60-90 км/ч;
    5) лев 80 км/ч;
    6) зебра 60 км/ч;
    7) воробей 30-60 км/ч;
    8) жираф 45 км/ч;
    9) аист 36 км/ч;
    10) страус 30 км/ч.

Б) По возрастанию (начиная с самого медленного):
    1) страус 30 км/ч;
    2) аист 36 км/ч;
    3) жираф 45 км/ч;
    4) воробей 30-60 км/ч;
    5) зебра 60 км/ч;
    6) лев 80 км/ч;
    7) голубь 60-90 км/ч;
    8) антилопа 90 км/ч;
    9) гепард 108 км/ч;
    10) стриж 120 км/ч.

Задание на полях страницы

Занимательная рамка.

Математика 4 класс Моро, Бантова - 2 часть страница 56, задание на полях страницы, занимательная рамка. Год 2024.

Ответ:
Математика 4 класс Моро, Бантова - 2 часть страница 56, задание на полях страницы, занимательная рамка. Год 2024.

Проверка:
80 + 120 + 50 = 200 + 50 = 250
80 + 140 + 30 = 110 + 140 = 250
30 + 210 + 10 = 210 + 40 = 250
50 + 190 + 10 = 50 + 200 = 250

Подсказка:

В занимательных рамках сумма всех чисел на каждой стороне должна равняться числу в центре.

Шаг 1.
Рассмотрим рисунок.
Пояснение к заданию на полях страницы

Сумма в строках и столбцах равна 250.

Шаг 2.
Выполним вычисления.

Чтобы найти неизвестное слагаемое, нужно из суммы вычесть известные слагаемые.
250 – (50 + 10) = 250 – 60 = 190
250 – (80 + 50) = 250 – 130 = 120
250 – (30 + 10) = 250 – 40 = 210
250 – (80 + 30) = 250 – 110 = 140

Шаг 3.
Оформим задание в тетрадь.
Пояснение к заданию на полях страницы

Ребус.

Математика 4 класс Моро, Бантова - 2 часть страница 56, задание на полях страницы, ребус. Год 2024.

Ответ:
Математика 4 класс Моро, Бантова - 2 часть страница 56, задание на полях страницы, ребус. Год 2024.
Подсказка:

Перед нами ребус, для того чтобы найти недостающие цифры необходимо выполнить деление.

Шаг 1.
Рассмотрим ребус.
Пояснение к заданию на полях страницы
Шаг 2.
Рассуждаем.

Какое двузначное число с цифрой 6 в единицах делится на однозначное число без остатка и в частном получается 9? Это число 36.
Значит, делитель – число 4, так как 36 : 9 = 4.
Далее делили однозначное число, смогли поделить 8 единиц и в остатке получилось 1. Значит, делили число 9.
9 : 4 = 2 (ост. 1)
Какое двузначное число разделили на 4 и получили 2 в остатке? Это число 8. 8 : 4 = 2.

Шаг 3.
Оформим задание в тетрадь.
Пояснение к заданию на полях страницы
Конец страницы
Переход на другие страницы Содержание
Информация на этой странице была полезной?
5/5 (1 голос)
Нашли ошибку на сайте? Помогите нам ее исправить!

С подпиской рекламы не будет

Подключите премиум подписку со скидкой в 40% за 149 ₽

Понравились решения?
Напишите свой комментарий.

Вам может быть интересно