Математика 2 класс учебник Моро, Волкова 2 часть ответы – страница 68

  • Тип: ГДЗ, Решебник.
  • Авторы: Моро М. И., Волкова С. И., Степанова С. В.
  • Часть: 2.
  • Год: 2020-2024.
  • Серия: Школа России (ФГОС).
  • Издательство: Просвещение.
Отличаются задания? Переключите год учебника.
Переключение года издания

Номер 26.

1) Прибавляй к трем по 3 до 30.
2) Вычитай из 30 по 3 до нуля.

Ответ:

1) 3 + 3 = 6     6 + 3 = 9     9 + 3 = 12     12 + 3 = 15     15 + 3 = 18     18 + 3 = 21     21 + 3 = 24     24 + 3 = 27     27 + 3 = 30
2) 30 − 3 = 27     27 − 3 = 24     24 − 3 = 21     21 − 3 = 18     18 − 3 = 15     15 − 3 = 12     12 − 3 = 9     9 − 3 = 6     6 − 3 = 3     3 − 3 = 0

Подсказка:

Повтори действия сложения и вычитания.

Шаг 1.
Выполняем сложение

1)
3 + 3 = 6
6 + 3 = 9
9 + 3 = 12
12 + 3 = 15
15 + 3 = 18
18 + 3 = 21
21 + 3 = 24
24 + 3 = 27
27 + 3 = 30

Шаг 2.
Выполняем вычитание

2)
30 − 3 = 27
27 − 3 = 24
24 − 3 = 21
21 − 3 = 18
18 − 3 = 15
15 − 3 = 12
12 − 3 = 9
9 − 3 = 6
6 − 3 = 3
3 − 3 = 0

Номер 27.

Не вычисляя значений выражений, проверь, верны ли равенства.

Ответ:

60 − 47 = 58 − 45 Верно, так как уменьшаемое и вычитаемое в правом выражении на 2 меньше, поэтому значение разности не меняется.
26 + 65 = 65 + 26 Верно, так как от перемены мест слагаемых сумма не меняется.
48 ∙ 2 = 2 ∙ 48 14 ∙ 5 = 5 ∙ 14 Эти выражения верны, так как от перемены мест множителей произведение не меняется.

Подсказка:

Запись, в которой есть знак РАВНО, называется РАВЕНСТВОМ.
Запись, в которой есть знак БОЛЬШЕ или МЕНЬШЕ, называется НЕРАВЕНСТВОМ.

Шаг 1.
Проверяем верны ли равенства

60 − 47 = 58 − 45
Верно, так как уменьшаемое и вычитаемое в правом выражении на 2 меньше, поэтому значение разности не меняется.

26 + 65 = 65 + 26
Верно, так как от перемены мест слагаемых сумма не меняется.

48 ∙ 2 = 2 ∙ 48
14 ∙ 5 = 5 ∙ 14
Эти выражения верны, так как от перемены мест множителей произведение не меняется.

Шаг 2.
Оформляем задание в тетрадь

60 - 47 = 58 - 45
Верно

26 + 65 = 65 + 26
Верно

48 * 2 = 2 * 48
Верно

14 * 5 = 5 * 14
Верно

Номер 28.

Ответ:

3 см 5 мм = 35 мм, потому что 35 мм = 35 мм. 7 дм 6 см < 8 дм, потому что 76 см < 80 см.
2 см 4 мм < 42 мм, потому что 24 мм < 42 мм. 1 дм 9 см > 15 см, потому что 19 см > 15 см.

Подсказка:

Повтори, сколько сантиметров в одном дециметре, сколько миллиметров в одном сантиметре, сколько дециметров в одном метре.

Шаг 1.
Выполняем вычисления

3 см 5 мм = 35 мм, потому что 35 мм = 35 мм.
7 дм 6 см < 8 дм, потому что 76 см < 80 см.

2 см 4 мм < 42 мм, потому что 24 мм < 42 мм.
1 дм 9 см > 15 см, потому что 19 см > 15 см.

Шаг 2.
Оформляем задание в тетрадь
Пояснение к заданию 28

Номер 29.

Вычисли удобным способом.

Ответ:

8 + 39 + 12 + 21 = (8 + 12) + (39 + 21) = 60 + 20 = 80 6 + 17 + 14 + 3 = (6 + 14) + (17 + 3) = 20 + 20 = 40 28 + 27 + 2 + 3 = (28 + 2) + (27 + 3) = 30 + 30 = 60
65 + 7 + 5 + 23 = (65 + 5) + (7 + 23) = 70 + 30 = 100 38 + 19 + 2 + 1 = (38 + 2) + (19 + 1) = 40 + 20 = 60 56 + 25 + 4 + 5 = (56 + 4) + (25 + 5) = 60 + 30 = 90

Подсказка:

От перестановки мест слагаемых сумма не меняется.
Два соседних слагаемых можно заменить их суммой.

Шаг 1.
Выполняем вычисления

8 + 39 + 12 + 21 = (8 + 12) + (39 + 21) = 60 + 20 = 80
6 + 17 + 14 + 3 = (6 + 14) + (17 + 3) = 20 + 20 = 40
28 + 27 + 2 + 3 = (28 + 2) + (27 + 3) = 30 + 30 = 60

65 + 7 + 5 + 23 = (65 + 5) + (7 + 23) = 70 + 30 = 100
38 + 19 + 2 + 1 = (38 + 2) + (19 + 1) = 40 + 20 = 60
56 + 25 + 4 + 5 = (56 + 4) + (25 + 5) = 60 + 30 = 90

Номер 30.

Запиши выражения и вычисли их значения:
1) Из числа 80 вычесть сумму чисел 6 и 9.
2) Сумму чисел 35 и 45 уменьшить на 60.

Ответ:

1) 80 − (6 + 9) = 80 − 15 = 65 2) (35 + 45) − 60 = 80 − 60 = 20

Подсказка:

Вспомни, как называются числа при сложении и при вычитании.

Шаг 1.
Выполняем вычисления

1) 80 - (6 + 9) = 80 - 15 = 80 - 10 - 5 = 70 - 5 = 65
2) (45 + 35) - 60 = 80 - 60 = 20

Шаг 2.
Оформляем задание в тетрадь

1) 80 − (6 + 9) = 80 − 15 = 65
2) (35 + 45) − 60 = 80 − 60 = 20

Номер 31.

В букете у Юли было 35 цветков: ромашки и васильки. На сколько больше было васильков, если ромашек было 15?

Ответ:
математика 2 класс учебник 2 часть Моро страница 68. Номер 31

1) 35 − 15 = 20 (цв.) – васильков. 2) 20 − 15 = 5 (цв.)
Ответ: васильков на 5 штук больше, чем ромашек.

Подсказка:

Чтобы узнать, на сколько одно число больше или меньше дру­гого, нужно из большего числа вычесть меньшее - вычитание.

Шаг 1.
Оформляем условие в виде краткой записи
Пояснение к заданию 31
Шаг 2.
Рассуждаем

Узнаем, сколько васильков в букете, для этого из всего количества цветов вычтем количество ромашек.
1) 35 - 15 = 20 (цв.) - васильки.

Шаг 3.
Продолжаем рассуждение

Узнаем, на сколько больше васильков в букете, чем ромашек.
2) 20 - 15 = 5 (цв.)

Шаг 4.
Записываем ответ

Ответ: на 5 васильков было больше, чем ромашек.

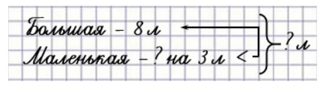
Номер 32.

В ведре столько литров воды, сколько в большой и маленькой лейках вместе. В большой лейке 8 л воды, а в маленькой на 3 л меньше. Сколько литров воды в ведре?

Ответ:
математика 2 класс учебник 2 часть Моро страница 68. Номер 32

1) 8 − 3 = 5 (л) – воды в маленькой лейке. 2) 8 + 5 = 13 (л) – воды в ведре.
Ответ: 13 литров воды в ведре всего.

Подсказка:

Если в задаче есть слова « на... меньше», то задача решается вычитанием.
Повтори, как составить краткую запись задачи.

Шаг 1.
Оформляем условие в виде краткой записи
Пояснение к заданию 32
Шаг 2.
Рассуждаем

Узнаем, сколько воды в маленькой лейке.
1) 8 - 3 = 5 (л) - воды в маленькой лейке.

Шаг 3.
Продолжаем рассуждение

Чтобы узнать, сколько воды в ведре, нужно сложить количество воды в маленькой и большой лейках вместе.
2) 8 + 5 = 13 (л)

Шаг 4.
Записываем ответ

Ответ: в ведре 13 л воды.

Номер 33.

1) Найди длину ломаной.
2) Начерти ломаную такой же длины, но из двух звеньев.
3) Запиши в таблице, какой длины может быть при этом каждое звено ломаной в сантиметрах.

Ответ:

1) 3 + 3 + 2 + 4 = 12 см – длина всей ломаной.
2) 12 : 2 = 6 см – длина звена ломаной из 2 звеньев.

математика 2 класс Моро, Волкова, Бантова, Бельтюкова - 2 часть страница 68. Номер 33-1

3)

математика 2 класс Моро, Волкова, Бантова, Бельтюкова - 2 часть страница 68. Номер 33-2
Подсказка:

Чтобы найти длину ломаной линии, нужно сложить длины всех её звеньев.

Шаг 1.
Вычислим длину ломаной

4 + 2 + 3 + 3 = 12 (см)
Ответ: длина ломаной линии 12 см.

Шаг 2.
Начертим ломаную из двух звеньев такой же длины

12 : 6 = 6 (см) - длина одного звена новой ломаной.

Пояснение к заданию 33
Шаг 3.
Заполним таблицу
Пояснение к заданию 33-1

Задание на полях страницы

Сколько квадратов?

Ответ:

Всего 8 квадратов.

Подсказка:

Повтори, какую фигуру называют квадратом.

Шаг 1.
Сосчитаем количество квадратов
Пояснение к заданию 34
Шаг 2.
Оформляем задание в тетрадь

Всего 8 квадратов.

Номер 1.

Выпиши только верные равенства.
3 · 5 + 3 = 3 · 6      3 · 8 – 3 = 3 · 7
3 · 4 + 3 = 3 · 7      3 · 9 – 3 = 3 · 6
2 · 6 + 2 = 2 · 8      2 · 6 – 2 = 2 · 5

Ответ:

3 ∙ 5 + 3 = 3 ∙ 6;
3 ∙ 6 = 3 ∙ 6;

3 ∙ 8 − 3 = 3 ∙ 7;
3 ∙ 7 = 3 ∙ 7;

2 ∙ 6 − 2 = 2 ∙ 5;
2 ∙ 5 = 2 ∙ 5.

Подсказка:

Равенство – это когда одно количество равно другому.
Неравенство – это когда одна сторона выражения не равна второй.

Шаг 1.
Выполняем вычисления

3 * 5 + 3 = 3 * 6
15 + 3 = 18
18 = 18
Верно

3 * 4 + 3 = 3 * 7
12 + 3 = 21
15 = 21
Неверно

3 * 8 - 3 = 3 * 7
24 - 3 = 21
21 = 21
Верно

3 * 9 - 3 = 3 * 6
27 - 3 = 18
24 = 18
Неверно

2 * 6 + 2 = 2 * 8
12 + 2 = 16
14 = 16
Неверно

2 * 6 - 2 = 2 * 5
12 - 2 = 10
10 = 10
Верно

Шаг 2.
Оформляем задание в тетрадь

3 * 5 + 3 = 3 * 6
3 * 8 - 3 = 3 * 7
2 * 6 - 2 = 2 * 5

Номер 2.

5 · 2 = 10       3 · 9 = 27      8 · 3 = 24
10 : 5 = ☐      27 : 3 = ☐      24 : 8 = ☐
10 : 2 = ☐      27 : 9 = ☐      24 : 3 = ☐

Ответ:

5 ∙ 2 = 10      3 ∙ 9 = 27      8 ∙ 3 = 24
10 : 5 = 2      27 : 3 = 9      24 : 8 = 3
10 : 2 = 5      27 : 9 = 3      24 : 3 = 8

Подсказка:

Если произведение двух множителей, разделить на один из них, то получится другой множитель.

Шаг 1.
Рассуждаем

Рассуждай так:
по 5 взяли 2 раза, получили 10.
Если произведение разделить на первый множитель, то мы получим второй множитель.
10 разделить на 5 получится 2
Если произведение разделить на второй множитель, то мы получим первый множитель.
10 разделить на 2 получится 5

Шаг 2.
Выполняем вычисления

5 * 2 = 10
10 : 5 = 2
10 : 2 = 5

3 * 9 = 27
27 : 3 = 9
27 : 9 = 3

8 * 3 = 24
24 : 8 = 3
24 : 3 = 8

Шаг 3.
Оформляем задание в тетрадь

5 ∙ 2 = 10      3 ∙ 9 = 27      8 ∙ 3 = 24
10 : 5 = 2      27 : 3 = 9      24 : 8 = 3
10 : 2 = 5      27 : 9 = 3      24 : 3 = 8

Номер 3.

В неделе 5 рабочих дней. Сколько рабочих дней в 2 неделях? в 3 неделях?

Ответ:

1 неделя – 5 рабочих дней
2 недели – ? рабочих дней
3 недели – ? рабочих дней

1) 5 ∙ 2 = 10 (дн.) – рабочих в двух неделях.
2) 5 ∙ 3 = 15 (дн.) – рабочих в трёх неделях.

Ответ: 10 дней рабочих в двух неделях, 15 дней рабочих всего в трёх неделях.

Подсказка:

Повторим таблицу умножения на 2 и на 3.

Шаг 1.
Оформляем условие в виде краткой записи

1 неделя – 5 рабочих дней
2 недели – ? рабочих дней
3 недели – ? рабочих дней

Шаг 2.
Рассуждаем

Узнаем, сколько рабочих дней в двух неделях.
1) 5 ∙ 2 = 10 (дн.) – рабочих в двух неделях.

Шаг 3.
Продолжаем рассуждение

Узнаем, сколько рабочих дней в трех неделях.
2) 5 ∙ 3 = 15 (дн.) – рабочих в трёх неделях.

Шаг 4.
Записываем ответ

Ответ: 10 дней, 15 дней.

Номер 4.

После того как продавец взвесил 6 покупателям по 3 кг яблок каждому, у продавца осталось 40 кг яблок. Сколько килограммов яблок было у продавца сначала?
Восстанови первое действие в решении этой задачи, если второе действие будет таким: 2) 40 + ☐ = 58 (кг).

Ответ:

Количество покупателей – 6 ч.
Количество яблок каждому – 3 кг
Осталось – 40 кг.

1) 3 ∙ 6 = 18 (кг) – всего яблок взвесил продавец.
2) 40 + 18 = 58 (кг) – было сначала.

Ответ: 58 кг яблок было сначала у продавца.

Подсказка:

Вспомним из каких частей состоит задача.

Шаг 1.
Оформляем условие в виде схематического чертежа

Количество покупателей – 6 ч.
Количество яблок каждому – 3 кг
Осталось – 40 кг.
Было сначала - ?

Шаг 2.
Рассуждаем

Чтобы узнать, сколько килограмм яблок взвесил продавец, нужно умножить количество яблок для одного покупателя на количество покупателей.
1) 3 ∙ 6 = 18 (кг) – всего яблок взвесил продавец.

Шаг 3.
Продолжаем рассуждение

Чтобы узнать сколько килограмм яблок было сначала, нужно к оставшемуся после покупки количеству яблок прибавить количество проданных яблок.
2) 40 + 18 = 58 (кг)

Шаг 4.
Записываем ответ

Ответ: 58 кг было сначала.

Номер 5.

Коля выполнил домашнее задание по математике за 15 мин, по русскому языку за 10 мин, а задание по чтению заняло у него на 15 мин больше, чем по русскому языку.
Поставь вопрос и реши задачу.

Ответ:
Математика 2 класс Моро, Волкова, Бантова, Бельтюкова - 2 часть страница 68, номер 5, 2024 год.

Сколько времени Коля потратил на выполнение домашнего задания? (или: За сколько времени Коля выполнил домашнее задание?)

1) 10 + 15 = 25 (мин) – тратится на чтение.
2) 15 + 10 + 25 = 50 (мин) – всего тратит Коля на выполнение домашнего задания.

Ответ: 50 минут всего тратит Коля на выполнение домашнего задания.

Подсказка:

Если в задаче есть слова «на... больше», то задача решается сложением.

Шаг 1.
Поставим вопрос к задаче

Сколько времени Коля потратил на выполнение домашнего задания? (или: За сколько времени Коля выполнил домашнее задание?)

Шаг 2.
Оформляем условие в виде краткой записи
Пояснение к заданию 5
Шаг 3.
Рассуждаем

Узнаем, сколько времени Коля потратил на выполнение здания по чтению.
1) 10 + 15 = 25 (мин) - на выполнение задания по чтению.

Шаг 4.
Продолжаем рассуждение

Узнаем, сколько времени Коля потратил на выполнение задания математике и русскому языку вместе.
2) 15 + 10 = 25 (мин) - на выполнение заданий по математике и русскому языку.

Шаг 5.
Продолжаем рассуждение

Узнаем, сколько времени Коля потратил на выполнение всего домашнего задания.
3) 25 + 25 = 50 (мин)

Шаг 6.
Записываем ответ

Ответ: всего 50 минут.

Номер 6.

7 · 3 – 7       37 + 6 + 14       2 · 8 15 : 5
3 · 5 + 3       5 + 25 + 18       2 · 9 18 : 9
2 · 7 – 5       48 + 7 + 13       9 · 2 21 : 7

Ответ:

7 ∙ 3 − 7 = 7 ∙ 2 = 14;
3 ∙ 5 + 3 = 3 ∙ 6 = 18;
2 ∙ 7 − 5 = 14 − 5 = 9;

37 + 6 + 14 = 37 + 20 = 57;
5 + 25 + 18 = 30 + 18 = 48;
48 + 7 + 13 = 48 + 20 = 68;

2 ∙ 8 = 16;
2 ∙ 9 = 18;
9 ∙ 2 = 18;

15 : 5 = 3;
18 : 9 = 2;
21 : 7 = 3.

Подсказка:

От перестановки мест слагаемых сумма не меняется.
Два соседних слагаемых можно заменить их суммой.

Шаг 1.
Выполняем вычисления

7 ∙ 3 − 7 = 7 ∙ 2 = 14
3 ∙ 5 + 3 = 3 ∙ 6 = 18
2 ∙ 7 − 5 = 14 − 5 = 9

37 + 6 + 14 = 37 + 20 = 57
5 + 25 + 18 = 30 + 18 = 48
48 + 7 + 13 = 48 + 20 = 68

2 ∙ 8 = 16
2 ∙ 9 = 18
9 ∙ 2 = 18

15 : 5 = 3
18 : 9 = 2
21 : 7 = 3

Шаг 2.
Оформляем задание в тетрадь

7 ∙ 3 − 7 = 7 ∙ 2 = 14
3 ∙ 5 + 3 = 3 ∙ 6 = 18
2 ∙ 7 − 5 = 14 − 5 = 9

37 + 6 + 14 = 37 + 20 = 57
5 + 25 + 18 = 30 + 18 = 48
48 + 7 + 13 = 48 + 20 = 68

2 ∙ 8 = 16
2 ∙ 9 = 18
9 ∙ 2 = 18

15 : 5 = 3
18 : 9 = 2
21 : 7 = 3

Номер 7.

Выполни вычисления и сделай проверку.
42 – 16       39 + 53       37 + 23       69 – 45

Ответ:
Математика 2 класс Моро, Волкова, Бантова, Бельтюкова - 2 часть страница 68, номер 7, 2024 год.
Подсказка:

Вспомним, как проверить результат сложения и результат вычитания.

Шаг 1.
Выполняем вычисления
Пояснение к заданию 7
Шаг 2.
Оформляем задание в тетрадь
Пояснение к заданию 7-1

Номер 8.

Юля, Катя и Настя начертили по одной фигуре. Юля и Настя начертили фигуры, у которых равные периметры. Катя и Юля начертили фигуры, у которых одинаковое число сторон. Кто какую фигуру начертил?

Математика 2 класс Моро, Волкова, Бантова, Бельтюкова - 2 часть страница 68, номер 8, 2024 год.
Ответ:

1) 3 + 1 + 2 + 1 = 7 (см) − периметр синего четырёхугольника.
2) 3 + 3 + 2 = 8 (см) − периметр треугольника.
3) 2 ∙ 4 = 8 (см) − периметр зелёного квадрата.

Периметр треугольника и зелёного квадрата равны, их нарисовали Юля и Настя (по условию), значит синий четырёхугольник нарисовала Катя.

Одинаковое число сторон (по 4 стороны) у синего четырёхугольника и зелёного квадрата фигуры, значит их нарисовали Катя и Юля. А так как синий четырёхугольник нарисовала Катя, — значит, зелёный квадрат нарисовала Юля.

Ответ: синий четырёхугольник нарисовала Катя; красный треугольнику − Настя; зелёный квадрат − Юля.

Подсказка:

Периметр многоугольника - это сумма длин всех его сторон. У квадрата все стороны равны, поэтому мы можем длину умножить на 4 и вычислить периметр.

Шаг 1.
Рассмотрим чертежи на полях страницы
Пояснение к заданию 8
Шаг 2.
Найдем периметр каждой фигуры

Периметр четырёхугольника равен
1 + 2 + 1 + 3 = 7 (см)

Периметр треугольника равен
3 + 3 + 2 = 8 (см)

Периметр квадрата равен
2 * 4 = 8 (см)

Шаг 3.
Рассуждаем

Периметр треугольника и зелёного квадрата равны, их нарисовали Юля и Настя (по условию), значит синий четырёхугольник нарисовала Катя.

Одинаковое число сторон (по 4 стороны) у синего четырёхугольника и зелёного квадрата фигуры, значит их нарисовали Катя и Юля. А так как синий четырёхугольник нарисовала Катя, — значит, зелёный квадрат нарисовала Юля.

Шаг 4.
Оформляем задание в тетрадь

1) 3 + 1 + 2 + 1 = 7 (см) − периметр синего четырёхугольника.
2) 3 + 3 + 2 = 8 (см) − периметр треугольника.
3) 2 ∙ 4 = 8 (см) − периметр зелёного квадрата.
Ответ: синий четырёхугольник нарисовала Катя; красный треугольник − Настя; зелёный квадрат − Юля.

Задание внизу страницы.

Сказка занимает в книге 18 страниц. Юра чи-тал каждый день по 6 страниц. За сколько дней Юра прочитал сказку?

Ответ:

1 день – 6 страниц
? дней – 18 страниц

1) 18 : 6 = 3 (дн.) – за столько дней прочитал сказку Юра.

Ответ: за 3 дня прочитал сказку Юра.

Подсказка:

Повторим таблицу умножения и деления на 3.

Шаг 1.
Оформляем условие в виде краткой записи

1 день – 6 страниц
? дней – 18 страниц

Шаг 2.
Рассуждаем

Чтобы узнать, за сколько дней Юра прочитал всю сказку, нужно количество страниц разделить на количество страниц, которые он читал за 1 день.
1) 18 : 6 = 3 (дн.)

Шаг 3.
Записываем ответ

Ответ: за 3 дня за столько дней прочитал сказку Юра.

Конец страницы
Переход на другие страницы Содержание
Информация на этой странице была полезной?
0/5 (0 голосов)
Нашли ошибку на сайте? Помогите нам ее исправить!

С подпиской рекламы не будет

Подключите премиум подписку со скидкой в 40% за 149 ₽

Понравились решения?
Напишите свой комментарий.

Вам может быть интересно