Математика 2 класс учебник Моро, Волкова 2 часть ответы – страница 58

  • Тип: ГДЗ, Решебник.
  • Авторы: Моро М. И., Волкова С. И., Степанова С. В.
  • Часть: 2.
  • Год: 2020-2024.
  • Серия: Школа России (ФГОС).
  • Издательство: Просвещение.
Отличаются задания? Переключите год учебника.
Переключение года издания

Деление

Номер 1.

Сделай к задаче рисунок и реши ее.
Детям раздали 12 орехов, по 3 ореха каждому.
Сколько детей получили орехи?

Ответ:

математика 2 класс учебник 2 часть Моро страница 58. Номер 1
1) 12 : 3 = 4 (чел.) - получили орехи.
Ответ: 4 человека получили орехи.

Подсказка:

Умножение – это последовательное сложение чисел, а деление – это последовательное вычитание чисел.

Шаг 1.
Оформляем условие в виде схематического чертежа
Пояснение к заданию 1
Шаг 2.
Рассуждаем

Узнаем, сколько детей получили орехи, для этого количество всех орехов разделим на 3.
12 : 3 = 4 (р.)

Шаг 3.
Записываем ответ

Ответ: 4 ребёнка получили орехи.

Номер 2.

Прочитай выражения: 5 ∙ 2, 4 ∙ 3, 2 ∙ 5, 3 ∙ 4. Составь из них верные равенства и неравенства.

Ответ:

Пять умножить на два, четыре умножить на три, два умножить на пять, три умножить на четыре.
Чтобы составить верные равенства и неравенства, нужно сначала решить эти выражения. 5 ∙ 2 = 10 4 ∙ 3 = 12 2 ∙ 5 = 10 3 ∙ 4 = 12
Теперь составим равенства и неравенства из этих выражений:

математика 2 класс учебник 2 часть Моро страница 58. Номер 2

Подсказка:

Сумму одинаковых слагаемых можно заменить умножением.
Запись, в которой есть знак РАВНО, называется РАВЕНСТВОМ.
Запись, в которой есть знак БОЛЬШЕ или МЕНЬШЕ, называется НЕРАВЕНСТВОМ.

Шаг 1.
Прочитаем выражения

5 * 2 - пять умножить на два; произведение чисел 5 и 2; число 5 увеличить в 2 раза;
4 * 3 - четыре умножить на три; произведение чисел 4 и 3; число 4 увеличить в 3 раза;
2 * 5 - два умножить на пять; произведение чисел 2 и 5; число 2 увеличить в 5 раз;
3 * 4 - три умножить на четыре; произведение чисел 3 и 4; число 3 увеличить в 4 раза.

Шаг 2.
Составим верные равенства и неравенства

5 * 2 = 10        5 * 2 = 2 * 5     4 * 3 = 3 * 4
5 * 2 < 4 * 3     3 * 4 > 5 * 2     3 * 4 > 2 * 5
4 * 3 = 12         3 * 4 = 12        2 * 5 = 10

Номер 3.

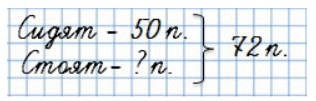
В автобусе едут 72 пассажира. Из них 50 пассажиров сидят, а остальные стоят. Сколько пассажиров стоят? Составь и реши задачу, обратную данной.

Ответ:

Всего – 72 п. Сидят – 50 п. Стоят – ? п. 72 − 50 = 22 (п.) – стоят в автобусе.
Ответ: 22 пассажира стоят в автобусе.
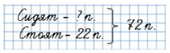
Обратная задача: В автобусе 50 пассажиров сидят и 22 пассажира стоят. Сколько всего пассажиров едут в автобусе? Всего – ? п. Сидят – 50 п. Стоят – 22 п.
50 + 22 = 72 (п.) – всего в автобусе.
Ответ: 72 пассажира всего в автобусе.

Подсказка:

Повтори, что такое обратная задача и как составить краткую запись задачи.
Вспомни действия с двузначными числами.

Шаг 1.
Оформляем условие в виде краткой записи
Пояснение к заданию 3
Шаг 2.
Рассуждаем

Чтобы узнать, сколько пассажиров стоят, нужно из всего количества пассажиров вычесть количество тех пассажиров, которые сидят.
72 - 50 = 22 (п.)

Шаг 3.
Записываем ответ

Ответ: стоят 22 пассажира.

Составим и решим задачу обратную данной
Шаг 1.
Составляем условие задачи

В автобусе едут 72 пассажира. Из них 22 пассажира стоят, а остальные сидят. Сколько пассажиров сидят?

Шаг 2.
Оформляем условие в виде краткой записи
Пояснение к заданию 3-1
Шаг 3.
Рассуждаем

Чтобы узнать, сколько пассажиров сидят, нужно из всего количества пассажиров вычесть количество тех пассажиров, которые стоят.
72 - 22 = 50 (п.)

Шаг 4.
Записываем ответ

Ответ: сидят 50 пассажиров.

Номер 4.

На теплоходе было 75 пассажиров. На пристани 25 пассажиров вышли, а 20 сели на теплоход. Сколько пассажиров стало на теплоходе?

Ответ:

Было – 75 п. Вышли – 25 п. Сели – 20 п. Стало – ? п. (75 − 25) + 20 = 70 (п.) - стало на теплоходе.
Ответ: 70 пассажиров стало на теплоходе.

Подсказка:

Повтори действия с двузначными числами.

Шаг 1.
Оформляем условие в виде краткой записи
Пояснение к заданию 4
Шаг 2.
Рассуждаем

Вычислим, сколько пассажиров стало, после того как 25 пассажиров вышли, для этого вычтем из всего количества пассажиров 25.
1) 75 - 25 = 50 (п.) - стало, после того как 25 пассажиров вышли.

Шаг 3.
Продолжаем рассуждение

Вычислим, сколько пассажиров стало, после того как 20 пассажиров сели на теплоход, для этого прибавим к количеству пассажиров 20.
2) 50 + 20 = 70 (п.)

Шаг 4.
Записываем ответ

Ответ: стало 70 пассажиров.

Номер 5.

Вычисли и проверь решение.

Ответ:
математика 2 класс учебник 2 часть Моро страница 58. Номер 5
Подсказка:

Вспомни, как проверить результат сложения и результат вычитания.
Повтори способы письменного вычитания в столбик и письменного сложения в столбик.

Шаг 1.
Выполняем вычисления
Пояснение к заданию 5
Шаг 2.
Оформляем задание в тетрадь
Пояснение к заданию 5-1

Номер 6.

Ответ:

9 ∙ 2 − 11 = 18 − 11 = 7 27 + 8 = 35 37 + (16 − 9) = 37 + 7 = 44

Подсказка:

Вспомни порядок выполнения действий при нахождении значения числовых выражений со скобками и без них.

Шаг 1.
Выполняем вычисления

9 * 2 - 11 = 18 - 11 = 7
27 + 8 = 27 + 3 + 5 = 30 + 5 = 35
37 + (16 - 9) = 37 + 7 = 44

Шаг 2.
Оформляем задание в тетрадь

9 * 2 - 11 = 7
27 + 8 = 35
37 + (16 - 9) = 44

Задание внизу страницы

Ответ:
математика 2 класс учебник 2 часть Моро страница 58. Задание внизу страницы
Подсказка:

Вспомни порядок выполнения действий при нахождении значения числовых выражений со скобками и без них.

Шаг 1.
Выполняем вычисления

8 * 3 + 16 = 24 + 16 = 24 + 10 + 6 = 34 + 6 = 40
53 - 6 = 53 - 3 - 3 = 50 - 3 = 47
35 + (11 - 6) = 35 + 5 = 40

Шаг 2.
Оформляем задание в тетрадь
Пояснение к заданию 8

Задание на полях страницы

Вычисли. Найди лишнее выражение

Ответ:

2 + 2 + 2 + 2 = 8 3 + 3 + 3 + 3 = 12 3 + 3 + 2 + 4 = 12 4 + 4 + 4 = 12
Лишнее выражение: 2 + 2 + 2 + 2. В остальных выражениях значение равно 12. Лишнее выражение: 3 + 3 + 2 + 4 = 12. В этом выражении разные слагаемые, а в других выражениях все слагаемые одинаковые.

Подсказка:

Сумму одинаковых слагаемых можно заменить умножением.

Шаг 1.
Выполняем вычисления

2 + 2 + 2 + 2 = 8
3 + 3 + 3 + = 12
3 + 3 + 2 + 4 = 12
4 + 4 + 4 = 12

Лишнее выражение: 2 + 2 + 2 + 2. В остальных выражениях значение равно 12.
Лишнее выражение: 3 + 3 + 2 + 4 = 12. В этом выражении разные слагаемые, а в других выражениях все слагаемые одинаковые.

Шаг 2.
Оформляем задание в тетрадь

2 + 2 + 2 + 2 = 8
3 + 3 + 3 + 3 = 12
3 + 3 + 2 + 4 = 12
4 + 4 + 4 = 12
Лишнее выражение с ответом 8.

Номер 1.

Найди способ заполнить все окошки верными числами. Запиши все числа.
9 · 2 = ☐      ☐ : 2 = ☐      ☐ : 9 = ☐
2 · 6 = ☐      ☐ : 2 = ☐      ☐ : 6 = ☐

Ответ:

9 ∙ 2 = 18      18 : 2 = 9      18 : 9 = 2
2 ∙ 6 = 12      12 : 2 = 6      12 : 6 = 2

Подсказка:

Вспомним материал о связи умножения и деления.

Шаг 1.
Выполняем вычисления

9 * 2 = 18
18 : 2 = 9
18 : 9 = 2

2 * 6 = 12
12 : 2 = 6
12 : 6 = 2

Шаг 2.
Оформляем задание в тетрадь

9 ∙ 2 = 18      18 : 2 = 9      18 : 9 = 2
2 ∙ 6 = 12      12 : 2 = 6      12 : 6 = 2

Номер 2.

Математика 2 класс Моро, Волкова, Бантова, Бельтюкова - 2 часть страница 58, номер 2, 2024 год.
Ответ:
Математика 2 класс Моро, Волкова, Бантова, Бельтюкова - 2 часть страница 58, номер 2-1, 2024 год.
Подсказка:

Чтобы найти значение буквенного выражения, нужно в это выражение вместо буквы подставить число, которое дано в условии, и выполнить вычисления.

Шаг 1.
Выполняем вычисления

Если d = 9, то d * 2 = 9 * 2 = 18
Если d = 8, то d * 2 = 8 * 2 = 16
Если d = 7, то d * 2 = 7 * 2 = 14
Если d = 6, то d * 2 = 6 * 2 = 12
Если d = 5, то d * 2 = 5 * 2 = 10
Если d = 4, то d * 2 = 4 * 2 = 8
Если d = 3, то d * 2 = 3 * 2 = 6
Если d = 2, то d * 2 = 2 * 2 = 4
Если d = 1, то d * 2 = 1 * 2 = 2

Шаг 2.
Оформляем задание в тетрадь
Пояснение к заданию 2

Номер 3.

18 : 2 ∙ 10        18 : 9 ∙ 7      10 : 5 ∙ 6      1 ∙ 5
14 : 7 ∙ 8         12 : 6 ∙ 8      8 : 2 ∙ 10      1 ∙ 87

Ответ:

18 : 2 ∙ 10 = 9 ∙ 10 = 90;
14 : 7 ∙ 8 = 2 ∙ 8 = 16;

18 : 9 ∙ 7 = 2 ∙ 7 = 14;
12 : 6 ∙ 8 = 16;

10 : 5 ∙ 6 = 2 ∙ 6 = 12;
8 : 2 ∙ 10 = 4 ∙ 10 = 40;

1 ∙ 5 = 5;
1 ∙ 87 = 87.

Подсказка:

Повторим таблицу умножения, а также порядок действий.

Шаг 1.
Выполняем вычисления

18 : 2 ∙ 10 = 9 ∙ 10 = 90
14 : 7 ∙ 8 = 2 ∙ 8 = 16

18 : 9 ∙ 7 = 2 ∙ 7 = 14
12 : 6 ∙ 8 = 16

10 : 5 ∙ 6 = 2 ∙ 6 = 12
8 : 2 ∙ 10 = 4 ∙ 10 = 40

1 ∙ 5 = 5
1 ∙ 87 = 87

Шаг 2.
Оформляем задание в тетрадь

18 : 2 ∙ 10 = 9 ∙ 10 = 90
14 : 7 ∙ 8 = 2 ∙ 8 = 16

18 : 9 ∙ 7 = 2 ∙ 7 = 14
12 : 6 ∙ 8 = 16

10 : 5 ∙ 6 = 2 ∙ 6 = 12
8 : 2 ∙ 10 = 4 ∙ 10 = 40

1 ∙ 5 = 5
1 ∙ 87 = 87

Номер 4.

Спиши, исправляя ошибки.
2 · 7 + 2 · 3 = 2 · 10      18 + 18 : 2 > 16 : 8
2 · 9 – 2 · 4 = 2 · 6         14 – 14 : 7 < 12 : 6

Ответ:

2 ∙ 7 + 2 ∙ 3 = 2 ∙ 10;
14 + 6 = 20;
20 = 20.

2 ∙ 9 − 2 ∙ 4 = 2 ∙ 6;
18 − 8 < 12;
10 < 12.

18 + 18 : 2 > 16 : 8;
18 + 9 > 2;
27 > 2.

14 − 14 : 7 > 12 : 6;
14 − 2 > 2;
12 > 2.

Подсказка:

Равенство – это когда одно количество равно другому.
Неравенство – это когда одна сторона выражения не равна второй.

Шаг 1.
Списываем, исправляя ошибки

2 * 7 + 2 * 3 = 2 * 10
14 + 6 = 20
20 = 20

2 * 9 - 2 * 4 < 2 * 6
18 - 8 < 12
10 < 12

18 + 18 : 2 > 16 : 8
18 + 9 > 2
27 > 2

14 - 14 : 7 > 12 : 6
14 - 2 > 2
12 > 2

Шаг 2.
Оформляем задание в тетрадь

2 * 7 + 2 * 3 = 2 * 10
2 * 9 - 2 * 4 < 2 * 6
18 + 18 : 2 > 16 : 8
14 - 14 : 7 > 12 : 6

Номер 5.

Зал освещают 2 люстры, в каждой люстре по 9 лампочек. Сколько лампочек в этих люстрах?
Составь и реши две задачи, обратные данной.

Ответ:

2 люстры по 9 л.
Всего – ? л.

9 ∙ 2 = 18 (л.) – всего в этих люстрах.

Ответ: 18 лампочек всего в этих люстрах.

Обратная задача 1:
В двух одинаковых люстрах 18 лампочек. Сколько лампочек в каждой люстре?
2 люстры по ? л.
Всего – 18 л.

18 : 2 = 9 (л.) – в одной люстре.

Ответ: 9 лампочек в одной люстре.

Обратная задача 2:
В одинаковых люстрах 18 лампочек по 9 в каждой. Сколько всего люстр?
? люстр по 9 л.
Всего – 18 л.

18 : 9 = 2 (л.) – всего.

Ответ: 2 люстры всего состоят из 18 ламп.

Подсказка:

Задачи обратные данной - считаются те задачи, в которых говорится об одних и тех же предметах, но известное и неизвестное меняются местами.

Шаг 1.
Оформляем условие в виде краткой записи

2 люстры по 9 л.
Всего – ? л.

Шаг 2.
Рассуждаем

Чтобы узнать, сколько всего лампочек в этих люстрах, нужно количество лампочек в одной люстре умножить на количество люстр.
9 ∙ 2 = 18 (л.) – всего в этих люстрах.

Шаг 3.
Записываем ответ

Ответ: 18 лампочек.

Составим и решим первую задачу обратную данной
Шаг 1.
Составляем первую задачу обратную данной

В двух одинаковых люстрах 18 лампочек. Сколько лампочек в каждой люстре?

Шаг 2.
Оформляем условие в виде краткой записи

2 люстры по ? л.
Всего – 18 л.

Шаг 3.
Рассуждаем

Чтобы узнать, сколько лампочек в одной люстре, нужно количество лампочек в обеих люстрах разделить на 2.
18 : 2 = 9 (л.) – в одной люстре.

Шаг 4.
Записываем ответ

Ответ: 9 лампочек.

Составим и решим вторую задачу обратную данной
Шаг 1.
Составляем вторую задачу обратную данной

В одинаковых люстрах 18 лампочек по 9 в каждой. Сколько всего люстр?

Шаг 2.
Оформляем условие в виде краткой записи

? люстр по 9 л.
Всего – 18 л.

Шаг 3.
Рассуждаем

Чтобы узнать, сколько люстр всего, нужно количество лампочек в обеих люстрах разделить на количество лампочек в одной люстре.
18 : 9 = 2 (л.) – всего.

Шаг 4.
Записываем ответ

Ответ: 2 люстры.

Номер 6.

По Программе реновации жилья за первый год в городе построили 42 дома, за второй год – на 5 домов больше, за третий – столько домов, сколько за первый и второй год вместе. Сколько домов построили за третий год?

Ответ:
Математика 2 класс Моро, Волкова, Бантова, Бельтюкова - 2 часть страница 58, номер 6, 2024 год.

1) 42 + 5 = 47 (д.) – за второй год.
2) 42 + 47 = 89 (д.) – за третий год.

Ответ: 89 домов было построено за третий год.

Подсказка:

Вспомним из каких частей состоит задача, а также правила составления краткой записи.

Шаг 1.
Оформляем условие в виде краткой записи
Пояснение к заданию 6
Шаг 2.
Рассуждаем

Чтобы узнать, сколько домов построили за второй год, нужно к количеству домов, построенных в первый год прибавить 5 домов.
1) 42 + 5 = 47 (д.) – за второй год.

Шаг 3.
Продолжаем рассуждение

Чтобы узнать, сколько домов построили за третий год, нужно сложить количество домов построенных в первый и второй года вместе.
2) 42 + 47 = 89 (д.) – за третий год.

Шаг 4.
Записываем ответ

Ответ: 89 домов.

Номер 7.

Составь задачу по выражению: 30 – (18 + 7).

Ответ:

В корзине лежало 30 фруктов: 18 яблок, 7 груш и несколько слив. Сколько слив было в корзине?

Математика 2 класс Моро, Волкова, Бантова, Бельтюкова - 2 часть страница 58, номер 7, 2024 год.

1) 18 + 7 = 25 (шт.) – яблок и груш лежало в корзине.
2) 30 – 25 = 5 (шт.) – слив лежало в корзине.

1) 18 + 7 = 25 (шт.) – яблок и груш лежало в корзине.
2) 30 – (18 + 7) = 5 (шт) – слив лежало в корзине.

Ответ: 5 слив лежало в корзинке всего.

Подсказка:

Вспомним, из каких частей состоит задача.

Шаг 1.
Составляем задачу по данному выражению

В корзине лежало 30 фруктов: 18 яблок, 7 груш и несколько слив. Сколько слив было в корзине?

Шаг 2.
Оформляем условие в виде краткой записи
Пояснение к заданию 7
Шаг 3.
Рассуждаем

Чтобы узнать, сколько слив лежало в корзине, нужно из общего количества фруктов вычесть количество яблок и груш.
30 - (18 + 7) = 5 (шт)

Шаг 4.
Записываем ответ

Ответ: в корзине лежало 5 слив.

Номер 8.

1) Начерти в тетради такой прямоугольник.
2) Проведи в этом прямоугольнике один отрезок так, чтобы получился квадрат.
3) Найди периметр каждого из получившихся прямоугольников.

Математика 2 класс Моро, Волкова, Бантова, Бельтюкова - 2 часть страница 58, номер 8, 2024 год.
Ответ:

P квадрата = 6 + 6 + 6 + 6 = 12 + 12 = 24 клеточки.
P прямоугольника = 4 + 6 + 4 + 6 = 8 + 12 = 20 клеточек.

Ответ: периметр квадрата составляет 24 клеточки и периметр прямоугольника составляет 20 клеточек.

Математика 2 класс Моро, Волкова, Бантова, Бельтюкова - 2 часть страница 58, номер 8-1, 2024 год.
Подсказка:

Повтори, чем прямоугольник отличается от квадрата.
Вспомни, что такое отрезок.

Шаг 1.
Начертим в тетради заданный прямоугольник
Пояснение к заданию 8
Шаг 2.
Проведем в нем отрезок, чтобы получился квадрат
Пояснение к заданию 8.1
Шаг 3.
Вычислим периметр полученных прямоугольников

P квадрата = 6 + 6 + 6 + 6 = 12 + 12 = 24 клеточки.
P прямоугольника = 4 + 6 + 4 + 6 = 8 + 12 = 20 клеточек.
Ответ: 24 клеточки и 20 клеточек.

Номер 9.

В первой банке 12 стаканов сока, а во второй 6 стаканов. Сколько стаканов сока надо перелить из первой банки во вторую, чтобы в обеих банках стало сока поровну?

Ответ:

1) 12 + 6 = 18 (ст.) – сока во всех банках.
2) 18 : 2 = 9 (ст.) – сока станет в каждой банке.
3) 12 − 9 = 3 (ст.) – сока надо перелить во вторую банку.

Ответ: 3 стакана сока надо перелить во вторую банку всего.

Подсказка:

Вспомним из каких частей состоит задача.

Шаг 1.
Оформляем условие в виде схематического чертежа
Пояснение к заданию 9
Шаг 2.
Рассуждаем

Сначала узнаем, сколько сока в двух банках.
1) 12 + 6 = 18 (с.) в двух банках вместе.

Шаг 3.
Продолжаем рассуждение

Теперь узнаем, сколько сока в одной банке, когда сока поровну.
2) 18 : 2 = 9 (с.) - в одной банке, когда сока поровну.

Шаг 4.
Продолжаем рассуждение

Узнаем, сколько сока нужно перелить из первой банки во вторую, чтобы сока стало поровну.
3) 9 - 6 = 3 (с.)

Шаг 5.
Записываем ответ

Ответ: нужно добавить 3 стакана сока.

Задание внизу страницы.

10 : 5 · 6 = ☐      8 : 2 · 10 = ☐

Ответ:

10 : 5 ∙ 6 = 2 ∙ 6 = 12;
8 : 2 ∙ 10 = 4 ∙ 10 = 40.

Подсказка:

Повторим действия деления и умножения.

Шаг 1.
Выполняем вычисления

10 : 5 * 6 = 2 * 6 = 12
8 : 2 * 10 = 4 * 10 = 40

Шаг 2.
Оформляем задание в тетрадь

10 : 5 ∙ 6 = 2 ∙ 6 = 12
8 : 2 ∙ 10 = 4 ∙ 10 = 40

Конец страницы
Переход на другие страницы Содержание
Информация на этой странице была полезной?
0/5 (0 голосов)
Нашли ошибку на сайте? Помогите нам ее исправить!

С подпиской рекламы не будет

Подключите премиум подписку со скидкой в 40% за 149 ₽

Понравились решения?
Напишите свой комментарий.

Вам может быть интересно