Математика 2 класс учебник Моро, Волкова 2 часть ответы – страница 51

  • Тип: ГДЗ, Решебник.
  • Авторы: Моро М. И., Волкова С. И., Степанова С. В.
  • Часть: 2.
  • Год: 2020-2024.
  • Серия: Школа России (ФГОС).
  • Издательство: Просвещение.
Отличаются задания? Переключите год учебника.
Переключение года издания

Номер 1.

В одной коробке 6 карандашей. Сколько карандашей в четырех таких коробках?
Объясни, как по-разному можно записать решение.

Ответ:

Чтобы узнать, сколько карандашей в четырех коробках, нужно сложить все карандаши. Это решение можно записать сложением: 6 + 6 + 6 + 6 = 24 (к.)
Но так как сложение одинаковых слагаемых можно заменить умножением, то решение можно записать: 6 ∙ 4 = 24 (к.)

Подсказка:

Сумму одинаковых слагаемых можно заменить умножением.

Шаг 1.
Объясним решение задачи сложением

Чтобы узнать, сколько карандашей в четырех коробках, нужно сложить все карандаши.
Сложу все карандаши в каждой коробке:
6 + 6 + 6 + 6 = 24 (к.)
Ответ: 24 карандаша в четырёх коробках.

Шаг 2.
Объясним решение задачи умножением

Но так как сложение одинаковых слагаемых можно заменить умножением, то решение можно записать.
Умножу количество карандашей в каждой коробке на количество коробок:
6 * 4 = 24 (к.)
Ответ: 24 карандаша в четырёх коробках.

Номер 2.

Сделай к задаче схематический рисунок и запиши решение по-разному: сначала сложением, а потом умножением.
В классе в каждом ряду 5 парт. Сколько парт в трех таких рядах?

Ответ:

математика 2 класс учебник 2 часть Моро страница 51. Номер 2
5 + 5 + 5 = 15 (п.) 5 ∙ 3 = 15 (п.)
Ответ: 15 парт всего в классе в трёх рядах.

Подсказка:

Сумму одинаковых слагаемых можно заменить умножением.

Шаг 1.
Оформляем условие в виде схематического чертежа
Пояснение к заданию 2
Шаг 2.
Решим задачу сложением

Сложу количество парт в каждом ряду:
5 + 5 + 5 = 15 (п.)

Шаг 3.
Решим задачу умножением

Умножу количество парт в каждом ряду на количество рядов:
5 * 3 = 15 (п.)

Шаг 4.
Записываем ответ

Ответ: 15 парт в трёх рядах.

Номер 3.

Таня сделала покупку на 15 р. У нее было 10 р. и 50 р. Сколько рублей у нее осталось?
Реши задачу разными способами.

Ответ:

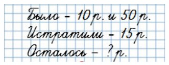
Было – 10 р. и 50 р. Истратила – 15 р. Осталось – ? р.

1) 10 + 50 = 60 (р.) – было. 2) 60 − 15 = 45 (р.)

1) 50 − 15 = 35 (р.) – осталось от 50 рублей. 2) 35 + 10 = 45 (р.)

Ответ: 45 рублей осталось у Тани.

Подсказка:

Повтори действия с круглыми числами.

Решим задачу первым способом.
Шаг 1.
Оформляем условие в виде краткой записи
Пояснение к заданию 3
Шаг 2.
Рассуждаем

Узнаем, сколько всего денег было у Тани.
1) 50 + 10 = 60 (р.)- было.

Шаг 3.
Продолжаем рассуждение

Узнаем, сколько денег осталось у Тани после покупки.
2) 60 - 15 = 45 (р.)

Шаг 4.
Записываем ответ

Ответ: осталось 45 рублей.

Решим задачу вторым способом.
Шаг 1.
Оформляем условие в виде краткой записи
Пояснение к заданию 3-1
Шаг 2.
Рассуждаем

Узнаем, сколько денег осталось у Тани от 50 рублей.
1) 50 − 15 = 35 (р.) – осталось от 50 рублей.

Шаг 3.
Продолжаем рассуждение

Узнаем, сколько денег осталось у Тани всего.
2) 35 + 10 = 45 (р.)

Шаг 4.
Записываем ответ

Ответ: 45 рублей осталось у Тани.

Номер 4.

Ответ:

64 − 9 < 64 − 5, потому что 55 < 59
56 + 7 < 59 + 7, потому что 63 < 66
64 + 9 > 64 + 5, потому что 73 > 69
56 − 7 < 59 − 7, потому что 49 < 52

Подсказка:

Чтобы поставить знаки в равенствах и неравенствах, нужно решить левую и правую часть и сравнить результаты.

Шаг 1.
Выполняем вычисления

64 - 9 < 64 - 5
55 < 59

64 + 9 > 64 + 5
73 > 69

56 + 7 < 59 + 7
63 < 66

56 - 7 < 59 - 7
49 < 52

Шаг 2.
Оформляем задание в тетрадь

64 − 9 < 64 − 5
64 + 9 > 64 + 5

56 + 7 < 59 + 7
56 − 7 < 59 − 7

Номер 5.

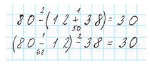
1) Из числа 80 вычти сумму чисел 12 и 38.
2) Из разности чисел 80 и 12 вычти число 38.

Ответ:
математика 2 класс учебник 2 часть Моро страница 51. Номер 5
Подсказка:

Повтори, как называются числа при сложении и числа при вычитании.
Вспомните порядок выполнения действий в примерах со скобками.

Шаг 1.
Выполняем вычисления

1) 80 - (12 + 38) = 80 - 50 = 30
2) (80 - 12) - 38 = 68 - 38 = 30

Шаг 2.
Оформляем задание в тетрадь
Пояснение к заданию 5

Номер 6.

Ответ:

82 − 54 = 28     45 + 29 = 74 90 − 44 = 46     18 + 18 = 36

Подсказка:

Повтори способы письменного вычитания в столбик и письменного сложения в столбик.

Шаг 1.
Выполняем вычисления

Пояснение к заданию 6

Шаг 2.
Оформляем задание в тетрадь

82 − 54 = 28
45 + 29 = 74
90 − 44 = 46
18 + 18 = 36

Номер 7.

Ответ:
математика 2 класс учебник 2 часть Моро страница 51. Номер 7
Подсказка:

Вспомни порядок выполнения действий при нахождении значения числовых выражений со скобками и без них.

Шаг 1.
Выполняем вычисления

15 + 7 + 13 = 15 + (7 + 13) = 15 + 20 = 35;
32 + 9 + 8 = (32 + 8) + 9 = 40 + 9 = 49;
40 - (20 - 7) = 40 - 13 = 40 - 10 - 3 = 30 - 3 = 27;
(40 - 20) - 7 = 20 - 7 = 13;
48 - 15 = 48 - 10 - 5 = 38 - 5 = 33;
48 - 25 = 48 - 20 - 5 = 28 - 5 = 23.

Шаг 2.
Оформляем задание в тетрадь
Пояснение к заданию 7

Задание внизу страницы

Используя рисунок, скажи, чей путь до школы короче и на сколько метров.

Ответ:

1) 50 + 40 = 90 (м) – идет мальчик. 2) 90 − 70 = 20 (м)     90 > 70 на 20 м
Ответ: на 20 метров всего путь девочки короче, чем мальчика.

Подсказка:

Повтори действия с круглыми числами.
Вспомни, как составить краткую запись задачи.

Шаг 1.
Оформляем условие в виде краткой записи
Пояснение к заданию 8
Шаг 2.
Рассуждаем

Узнаем, чему равен путь мальчика.
1) 50 + 40 = 90 (м)- путь мальчика

Шаг 3.
Продолжаем рассуждение

Узнаем, на сколько короче путь девочки, для этого вычтем из пути, который прошел мальчик, путь, который прошла девочка.
2) 90 - 70 = 20 (м)

Шаг 4.
Записываем ответ

Ответ: путь девочки короче на 20 метров.

Задание на полях страницы

Начерти и раскрась узор

Ответ:
математика 2 класс учебник 2 часть Моро страница 51. Задание на полях страницы
Подсказка:

Мы предлагаем тебе 3 варианта узоров. Ты можешь раскрасить его по-своему.

Шаг 1.
Рассмотрим варианты узоров
Шаг 2.
Оформляем задание в тетрадь
математика 2 класс учебник 2 часть Моро страница 51. Задание на полях страницы

Номер 1.

Объясни, почему верны равенства.
4 · 6 = 6 · 4;
2 · 8 = 8 · 2;

10 · 4 + 10 = 10 · 5;
8 · 7 = 8 · 6 + 8.

Ответ:

4 ∙ 6 = 6 ∙ 4 − верно, так как от перемены мест множителей произведение не меняется.
2 ∙ 8 = 8 ∙ 2 − верно, так как от перемены мест множителей произведение не меняется.
10 ∙ 4 + 10 = 10 ∙ 5 – верно, так как, если заменить умножение сложением, то в каждой части равенства число 10 взято одинаковое количество раз.
8 ∙ 7 = 8 ∙ 6 + 8 – верно, так как, если заменить умножение сложением, то в каждой части равенства число 8 взято одинаковое количество раз.

Подсказка:

Равенство – это когда одно количество равно другому.
Неравенство – это когда одна сторона выражения не равна второй.

Шаг 1.
Объясним, почему верны равенства

4 ∙ 6 = 6 ∙ 4 − верно, так как от перемены мест множителей произведение не меняется.

2 ∙ 8 = 8 ∙ 2 − верно, так как от перемены мест множителей произведение не меняется.

10 ∙ 4 + 10 = 10 ∙ 5 – верно, так как, если заменить умножение сложением, то в каждой части равенства число 10 взято одинаковое количество раз.

8 ∙ 7 = 8 ∙ 6 + 8 – верно, так как, если заменить умножение сложением, то в каждой части равенства число 8 взято одинаковое количество раз.

Шаг 2.
Оформляем задание в тетрадь

4 ∙ 6 = 6 ∙ 4 − верно, так как от перемены мест множителей произведение не меняется.
2 ∙ 8 = 8 ∙ 2 − верно, так как от перемены мест множителей произведение не меняется.
10 ∙ 4 + 10 = 10 ∙ 5 – верно, так как, если заменить умножение сложением, то в каждой части равенства число 10 взято одинаковое количество раз.
8 ∙ 7 = 8 ∙ 6 + 8 – верно, так как, если заменить умножение сложением, то в каждой части равенства число 8 взято одинаковое количество раз.

Номер 2.

8 ∙ 2 + 8 〇 8 ∙ 4;
9 ∙ 4 − 9 〇 9 ∙ 2;

10 ∙ 7 〇 8 ∙ 10 − 10;
15 ∙ 2 〇 2 ∙ 15 + 2.

Ответ:

8 ∙ 2 + 8 < 8 ∙ 4, потому что 8 ∙ 3 < 8 ∙ 4;
9 ∙ 4 − 9 > 9 ∙ 2, потому что 9 ∙ 3 > 9 ∙ 2;

10 ∙ 7 = 8 ∙ 10 − 10, потому что 10 ∙ 7 = 7 ∙ 10;
15 ∙ 2 < 2 ∙ 15 + 2, потому что 15 ∙ 2 < 2 ∙ 16.

Подсказка:

Равенство – это когда одно количество равно другому.
Неравенство – это когда одна сторона выражения не равна второй.

Шаг 1.
Выполняем вычисления

8 * 2 + 8 < 8 * 4
8 * 3 < 8 * 4
24 < 32

9 * 4 - 9 > 9 * 2
9 * 3 > 9 * 2
27 > 18

10 * 7 = 8 * 10 - 10
10 * 7 = 7 * 10
70 = 70

15 * 2 < 2 * 15 + 2
30 < 30 + 2
30 < 32

Шаг 2.
Оформляем задание в тетрадь

8 ∙ 2 + 8 < 8 ∙ 4, потому что 8 ∙ 3 < 8 ∙ 4
9 ∙ 4 − 9 > 9 ∙ 2, потому что 9 ∙ 3 > 9 ∙ 2

10 ∙ 7 = 8 ∙ 10 − 10, потому что 10 ∙ 7 = 7 ∙ 10
15 ∙ 2 < 2 ∙ 15 + 2, потому что 15 ∙ 2 < 2 ∙ 16

Номер 3.

На зиму семья заготовила 10 двухлитровых банок яблочного сока. К весне осталось только 2 л сока. Сколько литров сока выпито за зиму?

Ответ:

Было – 10 б. по 2 л
Выпито – ? л
Осталось – 2 л

1) 2 ∙ 10 = 20 (л) – сока всего у семьи.
2) 20 − 2 = 18 (л) – сока выпили в семье.

Ответ: 18 литров сока выпили за зиму в семье.

Подсказка:

Вспомним и повторим из каких частей состоит задача и как оформить краткую запись к ней.

Шаг 1.
Оформляем условие в виде краткой записи

Было – 10 б. по 2 л
Выпито – ? л
Осталось – 2 л

Шаг 2.
Рассуждаем

Узнаем, сколько литров сока всего заготовили на зиму.
1) 2 * 10 = 20 (л) - заготовили на зиму.

Шаг 3.
Продолжаем рассуждение

Чтобы узнать, сколько литров сока осталось, нужно из всего количества заготовленного сока вычесть количество сока, который остался.
2) 20 - 2 = 18 (л)

Шаг 4.
Записываем ответ

Ответ: 18 л сока выпили.

Номер 4.

Каждый из трёх дронов может перевозить разные по массе грузы. Первый дрон может перевезти груз массой в 4 кг, второй – 3 кг.
Сколько килограммов груза может перевезти третий дрон, если все три дрона одновременно могут перевезти 12 кг груза?

Ответ:

1 дрон – 4 кг
2 дрон – 3 кг
3 дрон – ?

1) 12 – (4 + 3) = 12 – 7 = 5 (кг) – может перевести третий дрон

Ответ: 5 кг всего может перевести третий дрон.

Подсказка:

Вспомним и повторим из каких частей состоит задача и как оформить краткую запись к ней.

Шаг 1.
Оформляем условие в виде краткой записи

Одновременно все – 12 кг
1 дрон – 4 кг
2 дрон – 3 кг
3 дрон – ?

Шаг 2.
Рассуждаем

Чтобы узнать, сколько кг может перевезти 3-й дрон, нужно из массы, которую одновременно перевозят все три дрона, вычесть сумму перевозимого груза первым и вторым дроном.
1) 12 – (4 + 3) = 12 – 7 = 5 (кг)

Шаг 3.
Записываем ответ

Ответ: 5 кг может перевезти третий дрон.

Номер 5.

Какими одинаковыми монетами можно набрать 15 р.? 8 р.? 10 р.? Решение запиши умножением.

Ответ:

1 ∙ 15 = 15 − 15 монет по 1 рублю.
3 ∙ 5 = 15 − 3 монеты по 5 рублей.

1 ∙ 8 = 8 − 8 монет по 1 рублю.
2 ∙ 4 = 8 − 4 монеты по 2 рубля.

1 ∙ 10 = 10 − 10 монет по 1 рублю.
2 ∙ 5 = 10 − 5 монет по 2 рубля.
5 ∙ 2 = 10 − 2 монеты по 5 рублей.

Подсказка:

Сумму одинаковых слагаемых можно заменить умножением.

Шаг 1.
Выполняем вычисления

1 ∙ 15 = 15 − 15 монет по 1 рублю.
3 ∙ 5 = 15 − 3 монеты по 5 рублей.

1 ∙ 8 = 8 − 8 монет по 1 рублю.
2 ∙ 4 = 8 − 4 монеты по 2 рубля.

1 ∙ 10 = 10 − 10 монет по 1 рублю.
2 ∙ 5 = 10 − 5 монет по 2 рубля.
5 ∙ 2 = 10 − 2 монеты по 5 рублей.

Шаг 2.
Оформляем задание в тетрадь

1 ∙ 15 = 15 − 15 монет по 1 рублю.
3 ∙ 5 = 15 − 3 монеты по 5 рублей.

1 ∙ 8 = 8 − 8 монет по 1 рублю.
2 ∙ 4 = 8 − 4 монеты по 2 рубля.

1 ∙ 10 = 10 − 10 монет по 1 рублю.
2 ∙ 5 = 10 − 5 монет по 2 рубля.
5 ∙ 2 = 10 − 2 монеты по 5 рублей.

Номер 6.

Реши уравнения.
73 – x = 70;
35 + x = 40;
x – 6 = 24.

Ответ:

73 − х = 70
х = 73 − 70
х = 3
Проверка:
73 − 3 = 70
70 = 70
Ответ: х = 3


35 + х = 40
х = 40 - 35
х = 5
Проверка:
35 + 5 = 40
40 = 40
Ответ: х = 5


х - 6 = 24
х = 24 + 6
х = 30
Проверка:
30 - 6 = 24
24 = 24
Ответ: х = 30

Подсказка:

Решить уравнение – это значит найти такое значение неизвестного числа, при котором это равенство станет верным.
Чтобы найти неизвестное слагаемое, нужно из суммы вычесть известное слагаемое.
Чтобы найти неизвестное вычитаемое, нужно из уменьшаемого вычесть разность.
Чтобы найти уменьшаемое, нужно к разности прибавить вычитаемое.

Шаг 1.
Выполняем вычисления

73 - х = 70
х = 73 - 70
х = 3
Проверка:
73 - 3 = 70
70 = 70

35 + х = 40
х = 40 - 35
х = 5
Проверка:
35 + 5 = 40
40 = 40

х - 6 = 24
х = 24 + 6
х = 30
Проверка:
30 - 6 = 24
24 = 24

Шаг 2.
Оформляем задание в тетрадь

73 − х = 70;
х = 73 − 70;
х = 3;
73 − 3 = 70.

35 + х = 40;
х = 40 − 35;
х = 5;
35 + 5 = 40.

х − 6 = 24;
х = 24 + 6;
х = 30;
30 − 6 = 24.

Номер 7.

4 + 8 − 7;
6 + 7 − 9;

76 − 9 + 3;
53 − 5 − 8;

62 − (32 + 8);
89 − (76 + 4).

Ответ:

4 + 8 − 7 = 12 − 7 = 5;
6 + 7 − 9 = 13 − 9 = 4;

76 − 9 + 3 = 67 + 3 = 70;
53 − 5 − 8 = 48 − 8 = 40;

62 − (32 + 8) = 62 − 40 = 22;
89 − (76 + 4) = 89 − 80 = 9.

Подсказка:

Повторим случаи табличного сложения и вычитания и порядок действий при решении числовых выражений со скобками.

Шаг 1.
Выполняем вычисления

4 + 8 - 7 = 12 - 7 = 5
6 + 7 - 9 = 13 - 9 = 4

76 - 9 + 3 = 67 + 3 = 70
53 - 5 - 8 = 48 - 8 = 40

62 - (32 + 8) = 62 - 40 = 22
89 - (76 + 4) = 89 - 80 = 9

Шаг 2.
Оформляем задание в тетрадь

4 + 8 − 7 = 12 − 7 = 5
6 + 7 − 9 = 13 − 9 = 4

76 − 9 + 3 = 67 + 3 = 70
53 − 5 − 8 = 48 − 8 = 40

62 − (32 + 8) = 62 − 40 = 22
89 − (76 + 4) = 89 − 80 = 9

Номер 8.

Вычисли и выполни проверку.
73 – 56;
48 + 14;
57 – 39;
64 + 16.

Ответ:
Математика 2 класс Моро, Волкова, Бантова, Бельтюкова - 2 часть страница 51, номер 8, 2024 год.
Подсказка:

Вспомним как выполнить проверку сложения и вычитания.

Шаг 1.
Выполняем вычисления
Пояснение к заданию 8
Шаг 2.
Оформляем задание в тетрадь
Пояснение к заданию 8-1

Номер 9.

Вычисли удобным способом.
1 + 5 + 9 + 15;
18 + 7 + 13 + 22;

26 + 19 + 20 + 4;
47 + 35 + 13.

Ответ:

1 + 5 + 9 + 15 = (1 + 9) + (5 + 15) = 10 + 20 = 30;
18 + 7 + 13 + 22 = (18 + 22) + (7 + 13) = 40 + 20 = 60;

26 + 19 + 20 + 4 = (26 + 4) + 20 + 19 = 50 + 19 = 69;
47 + 35 + 13 = (47 + 13) + 35 = 60 + 35 = 95.

Подсказка:

От перестановки мест слагаемых сумма не меняется.
Два соседних слагаемых можно заменить их суммой.

Шаг 1.
Выполняем вычисления

1 + 5 + 9 + 15 = (15 + 5) + (9 + 1) = 20 + 10 = 30.
18 + 7 + 13 + 22 = (18 + 22) + (13 + 7) = 40 + 20 = 60.

26 + 19 + 20 + 4 = (26 + 4) + (19 + 20) = 30 + 39 = 69.
47 + 35 + 13 = (47 + 13) + 35 = 60 + 35 = 95

Шаг 2.
Оформляем задание в тетрадь

1 + 5 + 9 + 15 = 30
18 + 7 + 13 + 22 = 60
26 + 19 + 20 + 4 = 69
47 + 35 + 13 = 95

Номер 10.

У Юры есть 3 шарика разного цвета. Сколькими способами он может сложить пирамиду из двух шариков? из трёх шариков?

Математика 2 класс Моро, Волкова, Бантова, Бельтюкова - 2 часть страница 51, номер 10, 2024 год.
Ответ:

Шесть способов: синий + зеленый, зеленый + синий, синий + красный, красный + синий, красный + зеленый, зеленый + красный.

Шесть способов: синий + красный + зеленый, синий + зеленый + красный, красный + синий + зеленый, красный + зеленый + синий, зеленый + красный + синий, зеленый + синий + красный

Подсказка:

Внимательно рассмотрим рисунок и найдем все способы составления пирамидок.

Шаг 1.
Рассмотри рисунок на полях страницы
Пояснение к заданию 10
Шаг 2.
При помощи рисунка на полях страницы ответим на первый вопрос

1) Сколькими способами он может сложить пирамиду из двух шариков?

Шесть способов: синий + зеленый, зеленый + синий, синий + красный, красный + синий, красный + зеленый, зеленый + красный.

Шаг 3.
При помощи рисунка на полях страницы ответим на второй вопрос

2) Сколькими способами он может сложить пирамиду из трёх шариков?

Шесть способов: синий + красный + зеленый, синий + зеленый + красный, красный + синий + зеленый, красный + зеленый + синий, зеленый + красный + синий, зеленый + синий + красный

Шаг 4.
Оформим задание в тетрадь

1) Шесть способов: синий + зеленый, зеленый + синий, синий + красный, красный + синий, красный + зеленый, зеленый + красный.

2) Шесть способов: синий + красный + зеленый, синий + зеленый + красный, красный + синий + зеленый, красный + зеленый + синий, зеленый + красный + синий, зеленый + синий + красный

Задание внизу страницы.

Начерти прямоугольник со сторонами 1 см и 10 см. Найди его периметр.

Ответ:
Математика 2 класс Моро, Волкова, Бантова, Бельтюкова - 2 часть страница 51, номер внизу страницы, 2024 год.
Подсказка:

Периметр прямоугольника - это сумма длины и ширина, умноженная на 2.

Шаг 1.
Начертим прямоугольник с заданными сторонами
Пояснение к заданию 11
Шаг 2.
Найдем периметр данного прямоугольника

Р = (10 + 1) * 2 = 22 (см)

Шаг 3.
Оформим задание в тетрадь
Пояснение к заданию 11-1
Конец страницы
Переход на другие страницы Содержание
Информация на этой странице была полезной?
0/5 (0 голосов)
Нашли ошибку на сайте? Помогите нам ее исправить!

С подпиской рекламы не будет

Подключите премиум подписку со скидкой в 40% за 149 ₽

Понравились решения?
Напишите свой комментарий.

Вам может быть интересно