Математика 2 класс учебник Моро, Волкова 2 часть ответы – страница 48

  • Тип: ГДЗ, Решебник.
  • Авторы: Моро М. И., Волкова С. И., Степанова С. В.
  • Часть: 2.
  • Год: 2020-2024.
  • Серия: Школа России (ФГОС).
  • Издательство: Просвещение.
Отличаются задания? Переключите год учебника.
Переключение года издания

Умножение

Номер 1.

Рассмотри рисунок и объясни записи.

Ответ:

По 5 треугольников взяли 3 раза. 5 ∙ 3 = 15 треугольников

Подсказка:

Повтори материал об умножении.

Шаг 1.
Рассмотрим рисунок
Пояснение к заданию 1
Шаг 2.
Объясним записи

Читаю записи:
5 + 5 + 5 = 15
5 • 3 = 15
по 5 взять 3 раза, получится 15
или 5 умножить на 3, получится 15

Номер 2.

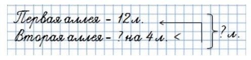
На одной аллее 12 лип, а на другой на 4 липы меньше. Поставь разные вопросы и реши задачи.

Ответ:
математика 2 класс учебник 2 часть Моро страница 48. Номер 2
Задача 1:
Сколько лип на другой аллее?
12 - 4 = 8 (л.) - на другой аллее всего.
Ответ: 8 лип на другой аллее всего.

Задача 2:
Сколько лип всего на двух аллеях?
12 + (12 - 4) = 20 (л.) - всего
Ответ: 20 лип на двух аллеях всего.
Подсказка:

Повтори, как составить краткую запись задачи.
Если в задаче есть слова « на... меньше», то задача решается вычитанием.

Задача 1.
Шаг 1.
Поставим вопрос к задаче

Сколько лип посадили на второй аллее?

Шаг 2.
Оформляем условие в виде краткой записи
Пояснение к заданию 2
Шаг 3.
Рассуждаем

Вычислим, сколько лип посадили на второй аллее, для этого из количества лип на первой аллее вычтем 4.
12 - 4 = 8 (л.)

Шаг 4.
Записываем ответ

Ответ: посадили 8 лип.

Задача 2.
Шаг 1.
Поставим вопрос к задаче

Сколько лип посадили на двух аллеях?

Шаг 2.
Оформляем условие в виде краткой записи
Пояснение к заданию 2-1
Шаг 3.
Рассуждаем

Вычислим, сколько лип посадили на второй аллее, для этого из количества лип на первой аллее вычтем 4.
1) 12 - 4 = 8 (л.) - посадили на второй аллее.

Шаг 4.
Продолжаем рассуждение

Вычислим, сколько лип посадили на двух аллеях вместе.
2) 12 + 8 = 20 (л.)

Шаг 5.
Записываем ответ

Ответ: посадили 20 лип.

Номер 3.

Составь задачу, которая решается так: 20 + (20 + 3).

Ответ:
В кружке по рисованию 20 детей, а в спортивной секции на 3 ребёнка больше. Сколько всего детей занимается в кружках?
математика 2 класс учебник 2 часть Моро страница 48. Номер 3
20 + (20 + 3) = 20 + 23 = 43 (р.) - всего
Ответ: 43 ребёнка всего занимается в кружках по рисованию
Подсказка:

Повтори, как составить краткую запись задачи.
Если в задаче есть слова « на... больше», то задача решается сложением.

Шаг 1.
Составим задачу по выражению

Коля и Лена собирали грибы. Коля нашел 20 грибов, а Лена на 3 гриба больше. Сколько грибов ребята принесли домой?

Шаг 2.
Оформляем условие в виде краткой записи
Пояснение к заданию 3
Шаг 3.
Рассуждаем

Узнаем, сколько грибов ребята принесли домой.
20 + (20 + 3) = 20 + 23 = 43 (гр.)

Шаг 4.
Записываем ответ

Ответ: 43 гриба ребята принесли домой.

Номер 4.

Ответ:
математика 2 класс Моро, Волкова, Бантова, Бельтюкова - 2 часть страница 48. Номер 4
Подсказка:

Повтори действия с двузначными числами.

Шаг 1.
Выполняем вычисления

29 + 17 (аналогично 56 + 34)
Пишу десятки под десятками, а единицы под единицами.
Складываю единицы:
9 + 7 = 16, это 1 дес. и 6 ед.
Пишу 6 под единицами , а 1 дес. запомню и прибавлю к десяткам.
Складываю десятки:
2 + 1 + 1 = 4
Пишу 4 под десятками.
Читаю ответ: сумма чисел 29 и 17 равна 46.

61 – 28 (аналогично 90 – 16)
Пишу десятки под десятками, а единицы под единицами.
Вычитаю единицы:
1 − 8 = не вычесть, занимаем 1 дес.
10 – 8 + 1= 3
Пишу 3 под единицами.
Вычитаю десятки:
5 − 2 = 3
Пишу 3 под десятками.
Читаю ответ: разность чисел 61 и 28 равна 33.

Шаг 2.
Оформляем условие в виде краткой записи
Пояснение к заданию 4

Номер 5.

Ответ:

100 − (3 + 67) = 100 − 70 = 30 (62 + 18) − 45 = 80 − 45 = 35
59 + 16 + 4 = 59 + 20 = 79 35 + 5 + 28 = 40 + 28 = 68
21 − 9 = 12 43 + 9 = 52

Подсказка:

Вспомни порядок выполнения действий при нахождении значения числовых выражений со скобками и без них.

Шаг 1.
Выполняем вычисления

100 - (3 + 67) = 100 - 70 = 30
(62 + 18) - 45 = 80 - 45 = 35

59 + 16 + 4 = 59 + (16 + 4) = 59 + 20 = 79
35 + 5 + 28 = 40 + 28 = 68

21 - 9 = 21 - 1 - 8 = 20 - 8 = 12
43 + 9 = 43 + 7 + 2 = 50 + 2 = 52

Шаг 2.
Оформляем задание в тетрадь

100 − (3 + 67) = 100 − 70 = 30
(62 + 18) − 45 = 80 − 45 = 35

59 + 16 + 4 = 59 + 20 = 79
35 + 5 + 28 = 40 + 28 = 68

21 − 9 = 12
43 + 9 = 52

Номер 6.

Ответ:

10 + 9 > 1     28 − 12 < 30 10 − 9 = 1     28 + 12 > 30

Подсказка:

Чтобы проверить, верны ли равенства и неравенства, нужно решить левую и правую часть и сравнить ответы.

Шаг 1.
Выполняем вычисления

10 + 9 > 1
19 > 1

10 - 9 = 1
1 = 1

28 - 12 < 30
16 < 30

28 + 12 > 30
40 > 30

Шаг 2.
Оформляем задание в тетрадь

10 + 9 > 1
10 − 9 = 1

28 − 12 < 30
28 + 12 > 30

Задание внизу страницы

Сколько всего кружков на рисунке?

Ответ:

Всего 12 кружков: 4 + 4 + 4 = 12 4 ∙ 3 = 12

Подсказка:

Повтори, что такое умножение.

Шаг 1.
Выполняем вычисления

4 + 4 + 4 = 12
4 * 3 = 12
По 4 взять 3 раза, получится 12.
4 умножить на 3, получится 12.

Шаг 2.
Оформляем задание в тетрадь

Всего 12 кружков:
4 + 4 + 4 = 12
4 ∙ 3 = 12

Задание на полях страницы

Продолжи ряд чисел:

Ответ:

Закономерность: + 4, + 3
7 + 4 = 11 11 + 3 = 14 14 + 4 = 18 18 + 3 = 21 21 + 4 = 25 25 + 3 = 28

Подсказка:

Рассмотри числа и установи закономерность.

Шаг 1.
Выполним вычисления и найдем закономерность

Закономерность: + 4, + 3

7 + 4 = 11
11 + 3 = 14
14 + 4 = 18
18 + 3 = 21
21 + 4 = 25
25 + 3 = 28

Шаг 2.
Оформим задание в тетрадь

7 + 4 = 11
11 + 3 = 14
14 + 4 = 18
18 + 3 = 21
21 + 4 = 25
25 + 3 = 28

Умножение и деление с числом 10

Номер 1.

Рассуждая так же, составь равенства по образцу: в первом столбике последним должно быть равенство 10 · 10 = 100.
10 · 2 = 20     2 · 10     20 : 2 = 10     20 : 10
10 · 3 =              ...             ...                       ...
10 · 4 =              ...             ...                       ...
      ...                  ...             ...                       ...

Ответ:

10 ∙ 2 = 20              2 ∙ 10 = 20
10 ∙ 3 = 30              3 ∙ 10 = 30
10 ∙ 4 = 40              4 ∙ 10 = 40
10 ∙ 5 = 50              5 ∙ 10 = 50
10 ∙ 6 = 60              6 ∙ 10 = 60
10 ∙ 7 = 70              7 ∙ 10 = 70
10 ∙ 8 = 80              8 ∙ 10 = 80
10 ∙ 9 = 90              9 ∙ 10 = 90
10 ∙ 10 = 100         10 ∙ 10 = 100

20 : 2 = 10              20 : 10 = 2
30 : 3 = 10              30 : 10 = 3
40 : 4 = 10              40 : 10 = 4
50 : 5 = 10              50 : 10 = 5
60 : 6 = 10              60 : 10 = 6
70 : 7 = 10              70 : 10 = 7
80 : 8 = 10              80 : 10 = 8
90 : 9 = 10              90 : 10 = 9
100 : 10 = 10         100 : 10 = 10

Подсказка:

Будем рассуждать так:
Чтобы 10 умножить на 2, надо по 10 взять 2 раза, получится 20.
Но 10 * 2 = 2 * 10.
Значит, и 2 * 10 = 20.
Зная произведения, найдём частные:
20 : 2= 10 и 20 : 10 = 2.

Шаг 1.
Выполняем вычисления

10 ∙ 2 = 20
10 ∙ 3 = 30
10 ∙ 4 = 40
10 ∙ 5 = 50
10 ∙ 6 = 60
10 ∙ 7 = 70
10 ∙ 8 = 80
10 ∙ 9 = 90
10 ∙ 10 = 100

2 ∙ 10 = 20
3 ∙ 10 = 30
4 ∙ 10 = 40
5 ∙ 10 = 50
6 ∙ 10 = 60
7 ∙ 10 = 70
8 ∙ 10 = 80
10 ∙ 10 = 100
9 ∙ 10 = 90

20 : 2 = 10
30 : 3 = 10
40 : 4 = 10
50 : 5 = 10
60 : 6 = 10
70 : 7 = 10
80 : 8 = 10
90 : 9 = 10
100 : 10 = 10

20 : 10 = 2
30 : 10 = 3
40 : 10 = 4
50 : 10 = 5
60 : 10 = 6
70 : 10 = 7
80 : 10 = 8
90 : 10 = 9
100 : 10 = 10

Шаг 2.
Оформляем задание в тетрадь

10 ∙ 2 = 20              2 ∙ 10 = 20
10 ∙ 3 = 30              3 ∙ 10 = 30
10 ∙ 4 = 40              4 ∙ 10 = 40
10 ∙ 5 = 50              5 ∙ 10 = 50
10 ∙ 6 = 60              6 ∙ 10 = 60
10 ∙ 7 = 70              7 ∙ 10 = 70
10 ∙ 8 = 80              8 ∙ 10 = 80
10 ∙ 9 = 90              9 ∙ 10 = 90
10 ∙ 10 = 100         10 ∙ 10 = 100

20 : 2 = 10              20 : 10 = 2
30 : 3 = 10              30 : 10 = 3
40 : 4 = 10              40 : 10 = 4
50 : 5 = 10              50 : 10 = 5
60 : 6 = 10              60 : 10 = 6
70 : 7 = 10              70 : 10 = 7
80 : 8 = 10              80 : 10 = 8
90 : 9 = 10              90 : 10 = 9
100 : 10 = 10         100 : 10 = 10

Номер 2.

Цена ручки 6 р. Сколько стоят 2 такие руч-ки? 3 ручки? 4 ручки? 10 ручек?

Ответ:
Математика 2 класс Моро, Волкова, Бантова, Бельтюкова - 2 часть страница 48, номер 2, 2024 год.

1) 6 ∙ 2 = 12 (р.) – стоят 2 ручки.
2) 6 ∙ 3 = 18 (р.) – стоят 3 ручки.
3) 6 ∙ 4 = 24 (р.) – стоят 4 ручки.
4) 6 ∙ 10 = 60 (р.) – стоят 10 ручек.

Ответ: 12р. стоят 2 ручки, 18р. стоят 3 ручки, 24р. стоят 4 ручки, 60 р. стоят 10 ручек.

Подсказка:

Сумму одинаковых слагаемых можно заменить умножением.

Шаг 1.
Оформляем условие в виде таблицы
Пояснение к заданию 2
Шаг 2.
Выполняем вычисления

1) 6 * 2 = 6 + 6 = 12 (р.) - по 6 р. взяли 2 раза.
2) 6 * 3 = 6 + 6 + 6 = 18 (р.) - по 6 р. взяли 3 раза.
3) 6 * 4 = 6 + 6 + 6 + 6 = 24 (р.) - по 6 р. взяли 4 раза.
4) 6 * 10 = 60 (р.) - по 6 р. взяли 10 раз.

Шаг 3.
Оформляем задание в тетрадь

1) 6 * 2 = 12 (р.)
2) 6 * 3 = 18 (р.)
3) 6 * 4 = 24 (р.)
4) 6 * 10 = 60 (р.)
Ответ: 12 рублей, 18 рублей, 24 рубля, 60 рублей.

Номер 3.

Повар разложил 40 пирожков на 10 тарелок поровну. Сколько пирожков он положил на каждую тарелку?
Составь и реши две задачи, обратные данной.

Ответ:

Количество пирожков – 40 шт.
Количество пирожков на 1 тарелке – ? шт.
Количество тарелок – 10 шт.

40 : 10 = 4 (шт.) – пирожков на одной тарелке.

Ответ: 4 пирожка лежит на одной тарелке..

Обратная задача 1:
Повар разложил на 10 тарелок по 4 пирожка. Сколько всего пирожков разложил повар?
Количество пирожков – ? шт.
Количество пирожков на 1 тарелке – 4 шт.
Количество тарелок – 10 шт.

4 ∙ 10 = 40 (шт.) – всего пирожков разложил повар.

Ответ: 40 пирожков всего разложил повар по тарелкам.

Обратная задача 2:
Повар разложил 40 пирожков на тарелки по 4 пирожка на каждую. Сколько потребовалось тарелок?
Количество пирожков – 40 шт.
Количество пирожков на 1 тарелке – 4 шт.
Количество тарелок – ? шт.

40 : 4 = 10 (шт.) – тарелок потребовалось повару.

Ответ: 10 тарелок всего потребовалось повару.

Подсказка:

Поделить «поровну» - это разделить на равные части и не важно на сколько частей.

Шаг 1.
Оформляем условие в виде краткой записи

Количество пирожков – 40 шт.
Количество пирожков на 1 тарелке – ? шт.
Количество тарелок – 10 шт.

Шаг 2.
Рассуждаем

Чтобы узнать, сколько пирожков на одной тарелке, нужно общее количество пирожков разделить на количество тарелок.
40 : 10 = 4 (шт.) – пирожков на одной тарелке.

Шаг 3.
Записываем ответ

Ответ: 4 пирожка.

Составим и решим первую задачу обратную данной.
Шаг 1.
Составляем условие первой задачи обратной данной

Повар разложил на 10 тарелок по 4 пирожка. Сколько всего пирожков разложил повар?

Шаг 2.
Оформляем условие в виде краткой записи

Количество пирожков – ? шт.
Количество пирожков на 1 тарелке – 4 шт.
Количество тарелок – 10 шт.

Шаг 3.
Рассуждаем

Чтобы узнать, сколько всего пирожков, нужно количество пирожков на одной тарелке умножить на количество тарелок.
4 ∙ 10 = 40 (шт.) – всего пирожков разложил повар.

Шаг 4.
Записываем ответ

Ответ: 40 пирожков.

Составим и решим вторую задачу обратную данной.
Шаг 1.
Составляем условие второй задачи обратной данной

Повар разложил 40 пирожков на тарелки по 4 пирожка на каждую. Сколько потребовалось тарелок?

Шаг 2.
Оформляем условие в виде краткой записи

Количество пирожков – 40 шт.
Количество пирожков на 1 тарелке – 4 шт.
Количество тарелок – ? шт.

Шаг 3.
Рассуждаем

Чтобы узнать, сколько тарелок потребовалось для пирожков, нужно все количество пирожков разделить на количество пирожков на одной тарелке.
40 : 4 = 10 (шт.) – тарелок потребовалось повару.

Шаг 4.
Записываем ответ

Ответ: 10 тарелок.

Номер 4.

Периметр квадрата 20 см. Узнай длину стороны этого квадрата.

Ответ:

20 : 4 = 5 (см) – длина одной стороны квадрата.

Ответ: длина одной стороны квадрата составляет 5 см.

Подсказка:

Периметр многоугольника - это сумма длин всех его сторон. У квадрата все стороны равны, поэтому мы можем длину умножить на 4 и вычислить периметр.

Шаг 1.
Рассуждаем и выполняем вычисления

У квадрата все четыре стороны равны между собой. Чтобы найти периметр квадрата, нужно длину одной стороны умножить на 4. По условию задачи это произведение, то есть периметр, равно 20. Один множитель равен 4. Тогда, чтобы найти второй множитель, нужно произведение разделить на 4, получаем 20 : 4 = 5. Значит, длина стороны квадрата равна 5 см.

Шаг 2.
Оформляем задание в тетрадь

20 : 4 = 5 (см)

Шаг 3.
Записываем ответ

Ответ: сторона квадрата 5 см.

Номер 5.

74 – 58;
46 + 37;
83 – 29;
64 + 36.

Ответ:
Математика 2 класс Моро, Волкова, Бантова, Бельтюкова - 2 часть страница 48, номер 5, 2024 год.
Подсказка:

Повторим действия с двузначными числами.

Шаг 1.
Выполняем вычисления
Пояснение к заданию 5
Шаг 2.
Оформляем задание в тетрадь
Пояснение к заданию 5-1

Номер 6.

9 + 6 – 8     32 – (24 + 6)     28 + 37 + 2 + 3
7 + 5 – 6     49 – (33 + 6)     64 + 18 + 2 + 6

Ответ:

9 + 6 − 8 = 15 − 8 = 7;
7 + 5 − 6 = 12 − 6 = 6;

32 − (24 + 6) = 32 − 30 = 2;
49 − (33 + 6) = 49 − 39 = 10;

(28 + 2) + (37 + 3) = 30 + 40 = 70;
(64 + 6) + (18 + 2) = 70 + 20 = 90.

Подсказка:

От перестановки мест слагаемых сумма не меняется.
Два соседних слагаемых можно заменить их суммой.

Шаг 1.
Выполняем вычисления

9 + 6 - 8 = 15 - 8 = 7
7 + 5 - 6 = 12 - 6 = 6

32 - (24 + 6) = 32 - 30 = 2
49 - (33 + 6) = 49 - 39 = 10

28 + 37 + 2 + 3 = (28 + 2) + (37 + 3) = 30 + 40 = 70
64 + 18 + 2 + 6 = (64 + 6) + (18 + 2) = 70 + 20 = 90

Шаг 2.
Оформляем задание в тетрадь

9 + 6 − 8 = 15 − 8 = 7
7 + 5 − 6 = 12 − 6 = 6

32 − (24 + 6) = 32 − 30 = 2
49 − (33 + 6) = 49 − 39 = 10

(28 + 2) + (37 + 3) = 30 + 40 = 70
(64 + 6) + (18 + 2) = 70 + 20 = 90

Задание внизу страницы.

10 ∙ 6 = ☐;
60 : 6 = ☐;
6 ∙ 10 = ☐;
☐ : 10 = 6.

Ответ:

10 ∙ 6 = 60;
60 : 6 = 10;
6 ∙ 10 = 60;
60 : 10 = 6.

Подсказка:

Если произведение двух множителей, разделить на один из них, то получится другой множитель.
От перемены мест множителей произведение не меняется.

Шаг 1.
Выполняем вычисления

10 * 6 = 60
60 : 6 = 10
6 * 10 = 60
60 : 10 = 6

Шаг 2.
Оформляем задание в тетрадь

10 ∙ 6 = 60
60 : 6 = 10
6 ∙ 10 = 60
60 : 10 = 6

Задание на полях страницы.

Сколько всего треугольников?

Математика 2 класс Моро, Волкова, Бантова, Бельтюкова - 2 часть страница 48, номер на полях страницы, 2024 год.
Ответ:

Всего 9 треугольников. Каждый состоит из трех треугольников.
3 + 3 + 3 = 9

Подсказка:

Треугольник - это замкнутая ломаная линия из трёх звеньев.
У треугольника три вершины, три угла и три стороны.

Шаг 1.
Сосчитаем количество треугольников
Пояснение к заданию 6
Шаг 2.
Оформляем задание в тетрадь

Всего 9 треугольников. Каждый состоит из трех треугольников.
3 + 3 + 3 = 9

Конец страницы
Переход на другие страницы Содержание
Информация на этой странице была полезной?
0/5 (0 голосов)
Нашли ошибку на сайте? Помогите нам ее исправить!

С подпиской рекламы не будет

Подключите премиум подписку со скидкой в 40% за 149 ₽

Понравились решения?
Напишите свой комментарий.

Вам может быть интересно