Математика 2 класс учебник Моро, Волкова 2 часть ответы – страница 29

  • Тип: ГДЗ, Решебник.
  • Авторы: Моро М. И., Волкова С. И., Степанова С. В.
  • Часть: 2.
  • Год: 2020-2024.
  • Серия: Школа России (ФГОС).
  • Издательство: Просвещение.
Отличаются задания? Переключите год учебника.
Переключение года издания

Номер 1.

1) Вычисли с устным объяснением.
2) Проверь вычитанием сложением.

Ответ:

математика 2 класс учебник 2 часть Моро страница 29. Номер 1
Пишу десятки под десятками, а единицы под единицами. Вычитаю единицы: из 3 нельзя вычесть 8. Беру 1 дес. из 7 дес. (чтобы не забыть, ставлю точку над цифрой 7) 1 дес. = 10 ед. 13 − 8 = 5 Пишу под единицами 5. Вычитаю десятки: Было 7 дес., но 1 дес. взяли при вычитании единиц. Осталось 6 дес. 6 − 4 = 2 Пишу 2 под десятками. Читаю ответ: разность чисел 73 и 48 равна 25.
Пишу десятки под десятками, а единицы под единицами. Вычитаю единицы: из 3 нельзя вычесть 5. Беру 1 дес. из 2 дес. (чтобы не забыть, ставлю точку над цифрой 2) 1 дес. = 10 ед. 13 − 5 = 8 Пишу под единицами 8. Вычитаю десятки: Было 2 дес., но 1 дес. взяли при вычитании единиц. Остался 1 дес. 1 − 1 = 0 Читаю ответ: разность чисел 23 и 15 равна 8.
Пишу десятки под десятками, а единицы под единицами. Вычитаю единицы: из 6 нельзя вычесть 7. Беру 1 дес. из 4 дес. (чтобы не забыть, ставлю точку над цифрой 4) 1 дес. = 10 ед. 16 − 7 = 9 Пишу под единицами 9. Вычитаю десятки: Было 4 дес., но 1 дес. взяли при вычитании единиц. Осталось 3 дес. 3 − 2 = 1 Пишу 1 под десятками. Читаю ответ: разность чисел 46 и 27 равна 19.
Пишу десятки под десятками, а единицы под единицами. Вычитаю единицы: из 1 нельзя вычесть 4. Беру 1 дес. из 3дес. (чтобы не забыть, ставлю точку над цифрой 3) 1 дес. = 10 ед. 11 − 4 = 7 Пишу под единицами 7. Вычитаю десятки: Было 3 дес., но 1 дес. взяли при вычитании единиц. Осталось 2 дес. 2 − 2 = 0 Читаю ответ: разность чисел 31 и 24 равна 7.
Пишу десятки под десятками, а единицы под единицами. Складываю единицы: 4 + 8 = 12 12 ед. − это 1 дес. и 2 ед. Пишу под единицами 2, а 1 дес. запомню и прибавлю к десяткам. Складываю десятки: 7 + 1 = 8, да еще 1: 8 + 1 = 9 Пишу под десятками 9 Читаю ответ: сумма чисел 74 и 18 равна 92.

Подсказка:

Повтори письменные приёмы сложения в столбик и вычитания в столбик.

Шаг 1.
Выполняем вычисления с объяснением

73 – 48
Пишу десятки под десятками, а единицы под единицами.
Вычитаю единицы: из 3 нельзя вычесть 8. Беру 1 дес. из 7 дес. (чтобы не забыть, ставлю точку над цифрой 7)
1 дес. = 10 ед. 13 − 8 = 5
Пишу под единицами 5.
Вычитаю десятки:
Было 7 дес., но 1 дес. взяли при вычитании единиц. Осталось 6 дес.
6 − 4 = 2
Пишу 2 под десятками.
Читаю ответ: разность чисел 73 и 48 равна 25.

23 – 15
Пишу десятки под десятками, а единицы под единицами.
Вычитаю единицы: из 3 нельзя вычесть 5. Беру 1 дес. из 2 дес. (чтобы не забыть, ставлю точку над цифрой 2)
1 дес. = 10 ед. 13 − 5 = 8
Пишу под единицами 8.
Вычитаю десятки:
Было 2 дес., но 1 дес. взяли при вычитании единиц. Остался 1 дес.
1 − 1 = 0
Читаю ответ: разность чисел 23 и 15 равна 8.

46 – 27
Пишу десятки под десятками, а единицы под единицами.
Вычитаю единицы: из 6 нельзя вычесть 7. Беру 1 дес. из 4 дес. (чтобы не забыть, ставлю точку над цифрой 4)
1 дес. = 10 ед. 16 − 7 = 9
Пишу под единицами 9.
Вычитаю десятки:
Было 4 дес., но 1 дес. взяли при вычитании единиц. Осталось 3 дес.
3 − 2 = 1
Пишу 1 под десятками.
Читаю ответ: разность чисел 46 и 27 равна 19.

31 – 24
Пишу десятки под десятками, а единицы под единицами.
Вычитаю единицы: из 1 нельзя вычесть 4. Беру 1 дес. из 3дес. (чтобы не забыть, ставлю точку над цифрой 3)
1 дес. = 10 ед. 11 − 4 = 7
Пишу под единицами 7.
Вычитаю десятки:
Было 3 дес., но 1 дес. взяли при вычитании единиц. Осталось 2 дес.
2 − 2 = 0
Читаю ответ: разность чисел 31 и 24 равна 7.

74 + 18
Пишу десятки под десятками, а единицы под единицами.
Складываю единицы:
4 + 8 = 12
12 ед. − это 1 дес. и 2 ед.
Пишу под единицами 2, а 1 дес. запомню и прибавлю к десяткам.
Складываю десятки:
7 + 1 = 8, да еще 1:
8 + 1 = 9
Пишу под десятками 9
Читаю ответ: сумма чисел 74 и 18 равна 92.

Шаг 2.
Проверяем вычитание сложением
Пояснение к заданию 1
Шаг 3.
Оформляем задание в тетрадь
Пояснение к заданию 1-1

Номер 2.

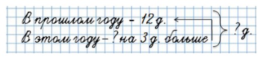
В прошлом году в нашем районе построили 12 новых домов, а в этом году – на 3 дома больше. Сколько всего ... ?

Ответ:
Сколько всего домов построили в районе?
математика 2 класс учебник 2 часть Моро страница 29. Номер 2
1) 12 + 3 = 15 (д.) - построили в этом году
2) 12 + 15 = 27 (д.) - построили всего
Ответ: 27 домов построили в нашем районе всего.
Подсказка:

Если в задаче есть слова «на... больше», то задача решается сложением.
Повтори, как оформить краткую запись задачи.

Шаг 1.
Поставим вопрос к задаче

Сколько всего домов построили за 2 года?

Шаг 2.
Оформляем условие в виде краткой записи
Пояснение к заданию 2
Шаг 3.
Рассуждаем

Вычислим, сколько домов построили в этом году.
1) 12 + 3 = 15 (д.)- построили в этом году.

Шаг 4.
Продолжаем рассуждение

Вычислим, сколько всего домов построили за 2 года.
2) 12 + 15 = 27 (д.)

Шаг 5.
Записываем ответ

Ответ: 27 домов построили.

Номер 3.

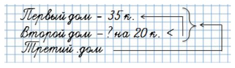
В первом из новых домов 35 квартир, во втором на 20 квартир меньше, а в третьем столько, сколько в первом и втором вместе.
Поставь вопрос и реши задачу

Ответ:
математика 2 класс учебник 2 часть Моро страница 29. Номер 3
Задача 1:
Сколько квартир в третьем доме?
1) 35 - 20 = 15 (кв.) - во втором доме
2) 35 + 15 = 50 (кв.) - в третьем доме
Ответ: 50 квартир в третьем доме всего

Задача 2:
Сколько всего квартир в трёх домах?
1) 35 - 20 = 15 (кв.) - во втором доме.
2) 35 + 15 = 50 (кв.) - в третьем доме
3) 35 + 15 + 50 = 100 (кв.) - в трёх домах
Ответ: 100 квартир в трёх домах всего.
Подсказка:

Если в задаче есть слова « на... меньше», то задача решается вычитанием.
Повтори, как оформить краткую запись задачи.

Шаг 1.
Поставим вопрос к задаче

Сколько всего квартир в третьем доме?

Шаг 2.
Оформляем условие в виде краткой записи
Пояснение к заданию 3
Шаг 3.
Рассуждаем

Вычислим, сколько квартир во втором доме, для этого из количества квартир в первом доме вычтем 20.
1) 35 - 20 = 15 (к.) - во втором доме.

Шаг 4.
Продолжаем рассуждение

Вычислим, сколько квартир в третьем доме, для этого сложим количество квартир первого и второго домов вместе.
2) 35 + 15 = 50 (к.)

Шаг 5.
Записываем ответ

Ответ: в третьем доме 50 квартир.

Номер 4.

Ответ:
математика 2 класс учебник 2 часть Моро страница 29. Номер 4
Подсказка:

Повтори письменные приемы сложения в столбик и вычитания в столбик.

Шаг 1.
Выполняем вычисления

57 + 16 (аналогично 48 + 25)
Пишу десятки под десятками, а единицы под единицами.
Складываю единицы:
7 + 6 = 13, это 1 дес. и 3 ед.
Пишу 3 под единицами , а 1 дес. запомню и прибавлю к десяткам.
Складываю десятки:
5 + 1 + 1 = 7
Пишу 7 под десятками.
Читаю ответ: сумма чисел 57 и 16 равна 73.

29 – 18 (аналогично 54 – 32)
Пишу десятки под десятками, а единицы под единицами.
Вычитаю единицы:
9 − 8 = 1
Пишу 1 под единицами.
Вычитаю десятки:
2 − 1 = 1
Пишу 1 под десятками.
Читаю ответ: разность чисел 29 и 18 равна 11.

Шаг 2.
Оформляем задание в тетрадь
Пояснение к заданию 4

Номер 5.

Ответ:

32 + 4 + 4 + 4 = 44     18 + 9 + 9 = 36 27 − 9 − 9 − 9 = 0       14 − 7 − 7 = 0

Подсказка:

Повтори случаи табличного сложения и вычитания.

Шаг 1.
Выполняем вычисления

32 + 4 + 4 + 4 = 36 + 4 + 4 = 40 + 4 = 44
27 - 9 - 9 - 9 = 18 - 9 - 9 = 9 - 9 = 0

18 + 9 + 9 = 27 + 9 = 36
14 - 7 - 7 = 7 - 7 = 0

Шаг 2.
Оформляем задание в тетрадь

32 + 4 + 4 + 4 = 44
27 − 9 − 9 − 9 = 0

18 + 9 + 9 = 36
14 − 7 − 7 = 0

Задание внизу страницы

Ответ:

30 − 6 = 24 30 − 16 = 14 32 − 16 = 16

Подсказка:

Повтори действия с двузначными числами.

Шаг 1.
Выполняем вычисления

30 – 6 = (20 + 10) – 6 = 20 + (10 – 6) = 20 + 4 = 24
30 – 16 = 30 – 10 – 6 = 20 – 6 = 14
32 – 16 = 32 – 10 – 6 = 22 – 6 = 22 – 2 – 4 = 20 – 4 = 16

Шаг 2.
Оформляем задание в тетрадь

30 − 6 = 24
30 − 16 = 14
32 − 16 = 16

Задание на полях страницы

Вычисли. Разбей на 2 группы

Ответ:

18 + 12 = 30    9 + 31 = 40 65 − 35 = 30    24 + 16 = 40 23 + 7 = 30      90 − 50 = 40 70 − 40 = 30

Подсказка:

Повтори действия с двузначными числами.

Шаг 1.
Выполним вычисления и разобьем на 2 группы

Первая группа:
18 + 12 = 30
65 – 35 = 30
23 + 7 = 30
70 – 40 = 30

Вторая группа:
9 + 31 = 40
24 + 16 = 40
90 – 50 = 40

Номер 1.

математика 2 класс Моро, Волкова, Бантова, Бельтюкова - 2 часть страница 29 номер 1
Ответ:
математика 2 класс Моро, Волкова, Бантова, Бельтюкова - 2 часть страница 29 номер 1
Подсказка:

Повторим, как называются числа при умножении.

Шаг 1.
Выполняем вычисления

2 * 6 = 2 + 2 + 2 + 2 + 2 + 2 = 12
2 * 7 = 2 + 2 + 2 + 2 + 2 + 2 + 2 = 14
3 * 2 = 3 + 3 = 6
3 * 3 = 3 + 3 + 3 = 9
4 * 2 = 4 + 4 = 8
4 * 3 = 4 + 4 + 4 = 12

Шаг 2.
Оформляем задание в тетрадь
Пояснение к заданию 1

Номер 2.

В каждом столбике найди значение второго выражения, используя значение первого.
9 ∙ 2 = 18    2 ∙ 6 = 12    7 ∙ 4 = 28
9 ∙ 3 =         2 ∙ 7 =          7 ∙ 5 =   

Ответ:

9 ∙ 2 = 18    9 ∙ 3 = 18 + 9 = 27
2 ∙ 6 = 12    2 ∙ 3 = 12 + 2 = 14
7 ∙ 4 = 28    7 ∙ 5 = 28 + 7 = 35

Подсказка:

Сумму одинаковых слагаемых можно заменить умножением.

Шаг 1.
Выполняем вычисления с пояснениями

9 * 2 = 18
9 * 3 = 27
на 9 больше, значит, 27, так как 18 + 9 = 27

2 * 6 = 12
2 * 7 = 14
на 2 больше, значит, 14, так как 12 + 2 = 14

7 * 4 = 28
7 * 5 = 35
на 7 больше, значит, 35, так как 28 + 7 = 35

Шаг 2.
Оформляем задание в тетрадь

9 * 2 = 18
9 * 3 = 18 + 9 = 27

2 * 6 = 12
2 * 7 = 12 + 2 = 14

7 * 4 = 28
7 * 5 = 28 + 7 = 35

Номер 3.

Составь задачу по её решению.
3 ∙ 5 = 15 (л)
Ответ: 15 л.

Ответ:

В магазине разливали молоко, в 5 банок по 3 литра в каждую. Сколько всего литров молока было?
3 ∙ 5 = 15 (л) – всего.
Ответ: 15 литров молока было в магазине всего.

Подсказка:

Повтори, из каких частей состоит задача.

Шаг 1.
Составляем условие задачи по ее решению

В магазине разливали молоко, в 5 банок по 3 литра в каждую. Сколько всего литров молока было?

Шаг 2.
Рассуждаем

Узнаем, сколько молока в пяти таких банках, для этого объем одной банки умножим на их количество.
3 * 5 = 15 (л)

Шаг 3.
Записываем ответ

Ответ: 15 литров молока в пяти банках.

Номер 4.

Объясни, как узнавали разными способами, на сколько клеток разбит прямоугольник. Вычисли результаты.
1)6 + 6 + 6 + 6 =   
6 ∙ 4 =   
2) 4 + 4 + 4 + 4 + 4 + 4 =   
4 ∙ 6 =   
Расскажи, чем похожи и чем различаются полученные произведения.

математика 2 класс Моро, Волкова, Бантова, Бельтюкова - 2 часть страница 29 номер 4
Ответ:

Способ 1:
6 + 6 + 6 + 6 = 24
6 ∙ 4 = 24
В данном случае клетки считали по строчкам: →

Способ 2:
4 + 4 + 4 + 4 + 4 + 4 = 24
6 ∙ 4 = 24
В этом случае клетки считали по столбикам: ↓

Результаты одинаковы.
Меняются местами только множители в произведениях: 6 ∙ 4 и 4 ∙ 6.

Подсказка:

Сумму одинаковых слагаемых можно заменить умножением.

Шаг 1.
Рассмотрим данный прямоугольник
Пояснение к заданию 4
Шаг 2.
Рассмотрим как узнавали на сколько клеток разбит прямоугольник

Способ 1:
6 + 6 + 6 + 6 = 24
6 ∙ 4 = 24
В данном случае клетки считали по строчкам: →

Способ 2:
4 + 4 + 4 + 4 + 4 + 4 = 24
6 ∙ 4 = 24
В этом случае клетки считали по столбикам: ↓

Шаг 3.
Делаем вывод

Результаты одинаковы.
Меняются местами только множители в произведениях: 6 ∙ 4 и 4 ∙ 6.

Номер 5.

Начерти ломаную, у которой длина первого звена равна 20 мм, второго - 40 мм, а длина третьего равна сумме длин первого и второго звеньев.

Ответ:

20 + 40 = 60 (мм) – длина третьего звена.
20 + 40 + 60 = 120 (мм) - общая длина ломаной.
Ответ: общая длина ломаной составляет 120 мм.

математика 2 класс Моро, Волкова, Бантова, Бельтюкова - 2 часть страница 29 номер 5
Подсказка:

Повторим, что такое ломаная линия.
1 см = 10 мм

Шаг 1.
Оформляем условие в виде краткой записи

Первое звено – 20 мм
Второе звено – 40 мм
Третье звено - ? мм, столько, сколько первое и второе вместе

Шаг 2.
Рассуждаем

Узнаем, длину третьего звена, для этого сложим длины первого и второго звена вместе.
20 + 40 = 60 (мм)

Шаг 3.
Записываем ответ

Ответ: третье звено равно 60 мм.

Шаг 4.
Начертим ломаную, которую получили
Пояснение к заданию 5

Номер 6.

Вычисли с проверкой
72 − 18
78 − 12
35 + 44
57 + 28

Ответ:
математика 2 класс Моро, Волкова, Бантова, Бельтюкова - 2 часть страница 29 номер 6
Подсказка:

Повторим действия с двузначными числами.

Шаг 1.
Выполняем вычисления
Пояснение к заданию 6
Шаг 2.
Оформляем задание в тетрадь
Пояснение к заданию 6-1

Номер 7.

15 + 18 + 2    56 + 20    60 − 32
45 + 5 + 26    50 + 26    80 − 32
37 + 19 + 3    56 + 6      50 −32

Ответ:
математика 2 класс Моро, Волкова, Бантова, Бельтюкова - 2 часть страница 29 номер 7
Подсказка:

Повторим действия с двузначными числами.

Шаг 1.
Выполняем вычисления

15 + 8 + 2 = 15 + (18 + 2) = 15 + 20 = 35
45 + 5 + 26 = 50 + 26 = 76
37 + 19 + 3 = (37 + 3) + 19 = 40 + 19 = 59
56 + 20 = 76
50 + 26 = 50 + 20 + 6 = 70 + 6 = 76
56 + 6 = 56 + 4 + 2 = 60 + 2 = 62
60 – 32 = 60 – 30 – 2 = 30 – 2 = 28
80 – 32 = 80 – 30 – 2 = 50 – 2 = 48
50 – 32 = 50 – 30 – 2 = 20 – 2 = 18

Шаг 2.
Оформляем задание в тетрадь
Пояснение к заданию 7

Номер 8.

Переложи 3 палочки так, чтобы домик повернулся в другую сторону.

математика 2 класс Моро, Волкова, Бантова, Бельтюкова - 2 часть страница 29 номер 8
Ответ:
математика 2 класс Моро, Волкова, Бантова, Бельтюкова - 2 часть страница 29 номер 8
Подсказка:

Внимательно рассмотри рисунок и догадайся, как выполнить задание.

Шаг 1.
Рассмотрим рисунок на полях страницы
Пояснение к заданию 8
Шаг 2.
Переложим палочки так, чтобы домик повернулся в другую сторону
Пояснение к заданию 8-1
Конец страницы
Переход на другие страницы Содержание
Информация на этой странице была полезной?
0/5 (0 голосов)
Нашли ошибку на сайте? Помогите нам ее исправить!

С подпиской рекламы не будет

Подключите премиум подписку со скидкой в 40% за 149 ₽

Понравились решения?
Напишите свой комментарий.

Вам может быть интересно