Математика 2 класс учебник Моро, Волкова 2 часть ответы – страница 107

  • Тип: ГДЗ, Решебник.
  • Авторы: Моро М. И., Волкова С. И., Степанова С. В.
  • Часть: 2.
  • Год: 2020-2024.
  • Серия: Школа России (ФГОС).
  • Издательство: Просвещение.
Отличаются задания? Переключите год учебника.
Переключение года издания

Номер 3.

На одной полке стоит 25 книг, а на другой – 30 книг. Сколько всего книг на этих полках?
1) Реши задачу.
2) Измени вопрос так, чтобы задача решалась вычитанием. Реши ее.

Ответ:

Задача 1:

Математика 2 класс Моро, Волкова, Бантова, Бельтюкова - 2 часть страница 106, номер 7.

25 + 30 = 55 (кн.) – всего на полках.

Ответ: 55 книг всего стоит на полках.

Задача 2:
На одной полке 25 книг, а на другой – 30 книг. На сколько во второй полке больше книг, чем на первой?

Математика 2 класс Моро, Волкова, Бантова, Бельтюкова - 2 часть страница 106, номер 7-1.

30 – 25 = 5 (кн.) – на 5 книг больше на второй полке, чем на первой.

Ответ: на 5 книг больше стоит на второй полке, чем на первой.

Подсказка:

Повтори, как составить краткую запись задачи.

Шаг 1.
Оформляем условие в виде краткой записи
Пояснение к заданию 3
Шаг 2.
Рассуждаем

Узнаем, сколько книг на двух полках, для этого сложим количество книг на первой и второй полках вместе.
30 + 25 = 55 (к.)

Шаг 3.
Записываем ответ

Ответ: на двух полках 55 книг.

Изменим вопрос и решим задачу
Шаг 1.
Изменим вопрос

На сколько больше книг на второй полке, чем на первой?

Шаг 1.
Оформляем условие в виде краткой записи
Пояснение к заданию 3-1
Шаг 2.
Рассуждаем

Узнаем, на сколько больше книг на второй полке, чем на первой.
30 - 25 = 5 (к.)

Шаг 3.
Записываем ответ

Ответ: на 5 книг больше.

Номер 4.

Составь и реши задачу по краткой записи.

Ответ:

Задача 1: В кафе обедала группа туристов. Когда 6 человек ушли осталось 8 человек. Сколько человек было в группе?
6 + 8 = 14 (ч.) – было.
Ответ: 14 человек всего было в группе туристов.
Задача 2: У Пети было 100 р., он купил книгу и у него осталось 75 р. Сколько стоит книга?
100 − 75 = 25 (р.) – цена книги.
Ответ: 25 рублей стоит одна книга.

Подсказка:

Вспомни, из каких частей состоит задача.

Составим и решим первую задачу
Шаг 1.
Рассмотрим краткую запись
Пояснение к заданию 4
Шаг 2.
Составим условие задачи по данной краткой записи

На школьной площадке играли дети. Когда 6 человек ушли, то осталось 8 человек. Сколько человек было на площадке?

Шаг 3.
Рассуждаем

Чтобы узнать, сколько человек было на площадке, нужно сложить количество тех, кто ушел и остался вместе.
6 + 8 = 14 (ч.)

Шаг 4.
Записываем ответ

Ответ: было 14 человек.

Составим и решим вторую задачу
Шаг 1.
Рассмотрим краткую запись
Пояснение к заданию 4-1
Шаг 2.
Составим условие задачи по данной краткой записи

У Олега было 100 р. Он купил мороженое, и у него осталось 75 р. Сколько стоило мороженое?

Шаг 3.
Рассуждаем

Чтобы узнать, сколько стоило мороженое, нужно и з количества денег, которые были у Олега вычесть те, которые остались.
100 - 75 = 25 (р.)

Шаг 4.
Записываем ответ

Ответ: мороженое стоило 25 рублей.

Номер 5.

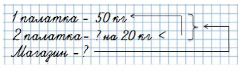
В первую овощную палатку привезли 50 кг огурцов, во вторую – на 20 кг меньше, а в магазин – столько, сколько в первую и вторую палатку вместе.
Поставь вопрос и реши задачу.

Ответ:

математика 2 класс учебник 2 часть Моро страница 107. Номер 5
Сколько кг огурцов привезли в магазин?
1) 50 − 20 = 30 (кг) – огурцов во второй палатке. 2) 50 + 30 = 80 (кг) – огурцов в магазине.
Ответ: 80 кг огурцов привезли в магазин всего.

Подсказка:

Если в задаче есть слова « на... меньше», то задача решается вычитанием.
Повтори, как составить краткую запись задачи.

Шаг 1.
Оформляем условие в виде краткой записи
Пояснение к заданию 5
Шаг 2.
Поставим вопрос к задаче

Сколько килограммов огурцов привезли в магазин?

Шаг 3.
Рассуждаем

Узнаем, сколько огурцов привезли во вторую палатку, нужно из количества килограмм огурцов, привезенных в первую палатку вычесть 20 килограмм.
1) 50 - 20 = 30 (кг) - огурцов привезли во вторую палатку.

Шаг 4.
Продолжаем рассуждение

Чтобы узнать, сколько огурцов привезли в магазин, нужно сложить количество огурцов, привезенных в первую и вторую палатки вместе.
2) 50 + 30 = 80 (кг)

Шаг 5.
Записываем ответ

Ответ: в магазин привезли 80 кг огурцов.

Номер 6.

1) Какое время показывают часы?
2) Какое время покажут эти часы через: 15 мин; 30 мин; 1 ч?
3) Какое время показывали эти часы 10 мин назад?

Ответ:

1) 1. 3 ч или 15 ч − показывают первые часы;     2. 3 ч 10 мин или 15 ч 10 мин − показывают вторые часы;     3. 12 ч 50 мин или 0 ч 50 мин или без 10 мин час или без 10 мин 13 ч − показывают третьи часы.
2. Первые часы:     1) 3 ч + 15 мин = 3 ч 15 мин или 15 ч 15 мин − покажут часы через 15 мин;     2) 3 ч + 30 мин = 3 ч 30 мин или 15 ч 30 мин − покажут часы через 30 мин;     3) 3 ч + 1 ч = 4 ч или 16 ч − покажут часы через 1 ч.
    Вторые часы:     1) 3 ч 10 мин + 15 мин = 3 ч 25 мин или 15 ч 25 мин − покажут часы через 15 мин;     2) 3 ч 10 мин + 30 мин = 3 ч 40 мин или 15 ч 20 мин − покажут часы через 30 мин;     3) 3 ч 10 мин + 1 ч = 4 ч 10 мин или 16 ч 10 мин − покажут часы через 1 ч.
    Третьи часы:     1) 12 ч 50 мин + 15 мин = 12 ч 65 мин = 13 ч 5 мин или 1 ч 5 мин − покажут часы через 15 мин;     2) 12 ч 50 мин + 30 мин = 12 ч 80 мин = 13 ч 20 мин или 1 ч 20 мин − покажут часы через 30 мин;     3) 12 ч 50 мин + 1 ч = 13 ч 50 мин или 1 ч 50 мин − покажут часы через 1 ч.
3. 1) 3 ч − 10 мин = 2 ч 60 мин − 10 мин = 2 ч 50 мин или 14 ч 50 мин − показывали первые часы 10 мин назад;     2) 3 ч 10 мин − 10 мин = 3 ч или 15 ч − показывали вторые часы 10 мин назад;     3) 12 ч 50 мин − 10 мин = 12 ч 40 мин или 0 ч 40 мин − показывали третьи часы 10 мин назад.

Подсказка:

Повтори материал о единицах времени.

Шаг 1.
Рассмотрим часы и ответим на вопросы
Пояснение к заданию 6
Шаг 2.
Ответим на первый вопрос задания

1) Какое время показывают часы?
1 часы: 3 часа,
2 часы: 10 минут четвёртого,
3 часы: без десяти минут час.

Шаг 3.
Ответим на второй вопрос задания

2) Какое время покажут эти часы через: 15 мин; 30 мин; 1 ч?

Пояснение к заданию 6-1
Шаг 4.
Ответим на третий вопрос задания

3) Какое время показывали эти часы 10 мин назад?
1 часы: без десяти минут три
2 часы: три часа ровно
3 часы: без двадцати минут час

Номер 7.

Как будут расположены стрелки часов в 12 ч? в половине пятого?

Ответ:

В 12 ч часовая и минутная стрелка будут указывать на число 12.
В половине пятого часовая стрелка будет расположена между цифрами 4 и 5, а минутная указывать на цифру 6.

Подсказка:

Повтори материал о единицах времени.

Шаг 1.
Рассмотрим часы и расположение стрелок в заданное время
Пояснение к заданию 7
Шаг 2.
Оформляем задание в тетрадь

В 12 ч - обе стрелки буду расположены на цифре 12
В половине пятого- маленькая стрелка будет стоять между цифрами 4 и 5, а большая стрелка на цифре 6.

Номер 8.

Что больше 1 ч или 59 мин?

Ответ:

1 ч = 60 мин    1 ч > 59 мин

Подсказка:

1 час = 60 минут

Шаг 1.
Выполняем вычисления

1 ч > 59 мин, потому что 1 ч = 60 мин, а 60 мин > 59 мин

Шаг 2.
Оформляем задание в тетрадь

1 ч > 59 мин

Номер 9.

Реши умножением.
В одном пакете 2 л сока. Сколько литров в четырех таких пакетах?

Ответ:
Математика 2 класс Моро, Волкова, Бантова, Бельтюкова - 2 часть страница 106, номер 7-1.

2 ∙ 4 = 8 (л)
Ответ: 8 литров сока всего в четырёх таких пакетах.

Подсказка:

Сумму одинаковых слагаемых можно заменить умножением.
Если есть схематический рисунок или чертёж, краткую запись задачи составлять не нужно.

Шаг 1.
Оформляем условие в виде схематического чертежа
Пояснение к заданию 9
Шаг 2.
Рассуждаем

Чтобы узнать, сколько литров сока в четырех пакетах, нужно количество литров сока в одном пакете умножить на 4.
2 * 4 = 8 (л)

Шаг 3.
Записываем ответ

Ответ: 8 л сока в четырёх пакетах.

Номер 10.

Реши делением.
В двух коробках 12 карандашей. Сколько карандашей в одной коробке, если в коробках карандашей поровну?

Ответ:
Математика 2 класс Моро, Волкова, Бантова, Бельтюкова - 2 часть страница 106, номер 7-1.

12 : 2 = 6 (к.) – в одной коробке.
Ответ: 6 карандашей всего в одной коробке.

Подсказка:

Если есть схематический рисунок или чертёж, краткую запись задачи составлять не нужно.

Шаг 1.
Оформляем условие в виде схематического чертежа
Пояснение к заданию 10
Шаг 2.
Рассуждаем

Чтобы узнать, сколько карандашей в одной коробке, нужно все количество карандашей разделить на количество коробок.
12 : 2 = 6 (к.)

Шаг 3.
Записываем ответ

Ответ: в одной коробке 6 карандашей.

Задание на полях страницы

Начерти и назови фигуры

Ответ:
математика 2 класс учебник 2 часть Моро страница 107. Задание на полях страницы
Подсказка:

Повтори материал о геометрических фигурах.

Шаг 1.
Начертим и назовем фигуры
Пояснение к заданию 11
Шаг 2.
Оформляем задание в тетрадь
Пояснение к заданию 11-1

Номер 15.

Используя рисунки, составь и реши задачи, в которых нужно узнать:
1) Сколько литров ... поместится в ... и в ... вместе?
2) Сколько литров ... останется в ..., если из него израсходуют ... литров?
3) На сколько литров в ... больше, чем в ...?
4) На сколько килограммов масса мешка ... меньше, чем масса мешка ...?

Математика 2 класс Моро, Волкова, Бантова, Бельтюкова - 2 часть страница 107, номер 15, 2024 год.
Ответ:

Задача 1:
Ведро вмещает 6 л воды. В бидон воды входит на 24 л больше.
Сколько воды поместится в ведро и бидон?

1) 6 + 24 = 30 (л) – воды входит в бидон.
2) 6 + 30 = 36 (л) – воды входит в ведро и бидон вместе.

Ответ: 36 литров всего входит в ведро и бидон вместе.

Задача 2:
В кастрюле 4 л супа. Сколько литров супа останется кастрюле, если из неё израсходуют 1 л супа?

4 − 1 = 3 (л) – супа останется в кастрюле.

Ответ: 3 литра супа останется в кастрюле всего.

Задача 3:
В одной бутылке 2 л, а в другой 1 л. На сколько литров в одной бутылке больше чем в другой?

2 − 1 = 1 (л) – на столько литров в одной бутылке больше, чем в другой.

Ответ: на 1 л больше больше в одной бутылке, чем во второй.

Задача 4:
На склад привезли сахар в мешках по 50 кг и рис по 5 кг в мешках. На сколько кг масса мешка с рисом легче, чем масса мешка с сахаром?

50 − 5 = 45 (кг) – на столько кг масса мешка с рисом легче, чем масса мешка с сахаром.

Ответ: на 45 кг легче масса мешка с рисом, чем с сахаром.

Подсказка:

Повтори, из каких частей состоит задача.

Составим первую задачу
Шаг 1.
Составляем условие задачи

В большом ведре 6 л воды, а в лейке - на 2 л больше. Сколько литров воды поместится в ведре и в лейке вместе?

Шаг 2.
Оформляем условие в виде краткой записи
Пояснение к заданию 15
Шаг 3.
Рассуждаем

Чтобы узнать, сколько литров в лейке, нужно к количеству воды в ведре прибавить 2 литра.
1) 6 + 2 = 8 (л)- в лейке

Шаг 4.
Продолжаем рассуждение

Узнаем, сколько литров воды в ведре и лейке вместе.
2) 8 + 6 = 14 (л)

Шаг 5.
Записываем ответ

Ответ: поместится 14 литров воды.

Составим вторую задачу
Шаг 1.
Составляем условие задачи

В большой фляге 50 л молока. Сколько литров молока останется во фляге, если из неё израсходуют 15 литров?

Шаг 2.
Оформляем условие в виде краткой записи
Пояснение к заданию 15-1
Шаг 3.
Рассуждаем

Чтобы узнать, сколько литров молока останется во фляге, нужно из количества молока, которое было, вычтем 15 литров, которые израсходовали.
50 - 15 = 35 (л)

Шаг 4.
Записываем ответ

Ответ: останется 35 литров молока.

Составим третью задачу
Шаг 1.
Составляем условие задачи

В одной банке 3 л сока, а в другой 2 л. На сколько литров сока в трёхлитровой банке больше, чем в двухлитровой?

Шаг 2.
Оформляем условие в виде краткой записи
Пояснение к заданию 15-2
Шаг 3.
Рассуждаем

Узнаем, на сколько больше сока в первой банке, чем во второй.
3 - 2 = 1 (л)

Шаг 4.
Записываем ответ

Ответ: на 1 л сока больше.

Составим четвертую задачу
Шаг 1.
Составляем условие задачи

В магазин привезли мешок сахара массой 50 кг и мешок риса массой 5 кг. На сколько килограммов масса мешка риса меньше, чем масса мешка сахара?

Шаг 2.
Оформляем условие в виде краткой записи
Пояснение к заданию 15-3
Шаг 3.
Рассуждаем

Узнаем, на сколько масса риса меньше массы сахара.
50 - 5 = 45 (кг)

Шаг 4.
Записываем ответ

Ответ: на 45 кг меньше.

Составим пятую задачу
Шаг 1.
Составляем условие задачи

К празднику родители купили ящик апельсинов и ящик бананов. Сколько всего купили килограммов фруктов, если купили 10 килограммов апельсинов и 6 килограммов бананов?

Шаг 2.
Оформляем условие в виде краткой записи
Пояснение к заданию 15-4
Шаг 3.
Рассуждаем

Узнаем, сколько килограмм всего родители купили бананов и апельсинов.
10 + 6 = 16 (кг)

Шаг 4.
Записываем ответ

Ответ: купили 16 кг фруктов.

Номер 16.

Составь и реши такие задачи:
1) в условии которых есть слова «больше на» или «меньше на»; «больше в … раз», «меньше в … раз»;
2) в вопросе которых есть слова «на сколько больше» или «на сколько меньше».

Ответ:

Задача 1:
1) В одной корзине 15 кг яблок, а в другой на 6 кг яблок больше.
Сколько всего яблок в двух корзинах?

1) 15 + 6 = 21 (кг) – яблок во второй корзине.
2) 21 + 15 = 36 (кг) – яблок в обеих корзинах вместе.

Ответ: 36 кг яблок в обеих корзинах вместе.

2) В одном ящике 3 кг груш, а в другом больше в 5 раз груш. Сколько груш во втором ящике?

3 ∙ 5 = 15 (кг.) – во втором ящике.

Ответ:: 15 кг груш во втором ящике.

Задача 2:
В классе 14 девочек и 12 мальчиков.
На сколько меньше мальчиков в классе?

14 − 12 = 2 (ч.) – на столько в классе меньше мальчиков, чем девочек.

Ответ: на 2 мальчика меньше в классе, чем девочек.

Подсказка:

Повтори, из каких частей состоит задача.

Составим первую задачу
Шаг 1.
Составляем условие задачи

В одной корзине 15 кг яблок, а в другой на 6 кг яблок больше.
Сколько всего яблок в двух корзинах?

Шаг 2.
Рассуждаем

1) 15 + 6 = 21 (кг) – яблок во второй корзине.
2) 21 + 15 = 36 (кг) – яблок в обеих корзинах вместе.

Шаг 3.
Записываем ответ

Ответ: 36 кг.

Составим вторую задачу
Шаг 1.
Составляем условие задачи

В одном ящике 3 кг груш, а в другом больше в 5 раз груш. Сколько груш во втором ящике?

Шаг 2.
Рассуждаем

3 ∙ 5 = 15 (кг.) – во втором ящике.

Шаг 3.
Записываем ответ

Ответ: 15 кг.

Составим третью задачу
Шаг 1.
Составляем условие задачи

В классе 14 девочек и 12 мальчиков. На сколько меньше мальчиков в классе?

Шаг 2.
Рассуждаем

14 − 12 = 2 (ч.) – на столько в классе меньше мальчиков, чем девочек.

Шаг 3.
Записываем ответ

Ответ: на 2 мальчика меньше.

Номер 17.

На диаграмме показаны массы животных: кошки, кролика и щенка.
На сколько килограммов щенок тяжелее кошки?

Математика 2 класс Моро, Волкова, Бантова, Бельтюкова - 2 часть страница 107, номер 17, 2024 год.
Ответ:

Щенок – 8 кг
Кошка – 5 кг

8 – 5 = 3 (кг) – щенок тяжелее кошки.

Ответ:: на 3 кг щенок тяжелее кошки.

Подсказка:

Повтори, из каких частей состоит задача.

Шаг 1.
Рассмотрим диаграмму и составим краткую запись к ней

Щенок – 8 кг
Кошка – 5 кг
Тяжелее - ?

Шаг 2.
Рассуждаем

Вычтем из массы щенка массу кошки, тем самым узнаем на сколько щенок тяжелее кошки.
8 – 5 = 3 (кг)

Шаг 3.
Записываем ответ

Ответ: 3 кг щенок тяжелее кошки.

Задание на полях страницы.

Ребусы:

Математика 2 класс Моро, Волкова, Бантова, Бельтюкова - 2 часть страница 107, номер на полях страницы, 2024 год.
Ответ:
Математика 2 класс Моро, Волкова, Бантова, Бельтюкова - 2 часть страница 107, номер на полях страницы, 2024 год.
Подсказка:

Повтори способы письменного вычитания в столбик и письменного сложения в столбик.

Шаг 1.
Рассмотрим ребус
Пояснение к заданию 16
Шаг 2.
Разгадаем ребус и оформим задание в тетрадь
Пояснение к заданию 16-1
Конец страницы
Переход на другие страницы Содержание
Информация на этой странице была полезной?
0/5 (0 голосов)
Нашли ошибку на сайте? Помогите нам ее исправить!

С подпиской рекламы не будет

Подключите премиум подписку со скидкой в 40% за 149 ₽

Понравились решения?
Напишите свой комментарий.

Вам может быть интересно