Математика 2 класс учебник Моро, Волкова 1 часть ответы – страница 101

  • Тип: ГДЗ, Решебник.
  • Авторы: Моро М. И., Волкова С. И., Степанова С. В.
  • Часть: 1.
  • Год: 2020-2024.
  • Серия: Школа России (ФГОС).
  • Издательство: Просвещение.

Номер 8.

Костя спросил у шести своих друзей, какие сказки они любили слушать в детстве. Полученные ответы он записал в таблице.
Используя данные этой таблицы, ответь на вопросы:
1) Кто из друзей любил слушать сказку "Золушка"? Назови их имена.
2) Кто из друзей любил слушать и сказку "Золушка", и сказку "Белоснежка и семь гномов"? Назови их имена.

математика 2 класс Моро, Волкова, Бантова, Бельтюкова - 1 часть страница 101. Номер 8
Ответ:

1) Дима, Саша, Юля
2) Дима, Юля

Подсказка:

Внимательно рассмотри таблицу и ответь на вопросы.

Шаг 1.
Ответим на первый вопрос задания

1) Кто из друзей любил слушать сказку «Золушка"?
Дима, Саша, Юля.

Шаг 2.
Ответим на второй вопрос задания

2) Кто из друзей любил слушать и сказку «Золушка", и сказку «Белоснежка и семь гномов"?
Дима и Юля.

Шаг 3.
Оформим задание в тетрадь

1) Дима, Саша, Юля
2) Дима, Юля

Номер 9.

Назови номер той последовательности чисел, которая составлена по правилу: "Каждое следующее число на 3 меньше предыдущего".
1) 8, 11, 14, 17, 20;
2) 32, 29, 26, 23, 20;
3) 48, 45, 43, 40, 38, 35.

Ответ:

2) ряд: 32, 29, 26, 23, 20.

Подсказка:

Внимательно рассмотри строки с числами и установи закономерность.Если в задаче есть слова «на ... меньше», то задача решается вычитанием.

Шаг 1.
Выполним вычисления и найдём закономерность

32 – 3 = 29
29 – 3 = 26
26 – 3 = 23
23 – 3 = 20

«Каждое следующее число на 3 меньше предыдущего».
32, 29, 26, 23, 20.

Шаг 2.
Оформим задание в тетрадь

2) ряд: 32, 29, 26, 23, 20.

Номер 10.

Этого ли чайника тень?

математика 2 класс Моро, Волкова, Бантова, Бельтюкова - 1 часть страница 101. Номер 10
Ответ:

Да, это тень этого чайника.

Подсказка:

Внимательно рассмотри рисунок на полях страницы.

Шаг 1.
Рассуждаем

Рассмотрим рисунок

Пояснение к заданию 10

По длине, ширине и контуру рисунок совпадает с тенью, значит, это день данного чайника.

Шаг 2.
Оформляем задание в тетрадь

Да, это тень этого чайника.

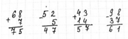
Задание внизу страницы.

Вычисли:

Ответ:
математика 2 класс Моро, Волкова, Бантова, Бельтюкова - 1 часть страница 101. Задание внизу страницы
Подсказка:

Повтори письменные приемы сложения в столбик и вычитания в столбик.

Шаг 1.
Выполняем вычисления

68 + 7
Пишу десятки под десятками, а единицы под единицами.
Складываю единицы:
8 + 7 = 15, это 1 дес. и 5 ед.
Пишу 5 под единицами, 1 дес. запоминаю.
Складываю десятки:
6 + 1 = 7
Пишу 7 под десятками.
Читаю ответ: сумма чисел 68 и 7 равна 75.

52 – 5
Пишу десятки под десятками, а единицы под единицами.
Вычитаю единицы:
2 − 5 = не вычесть, занимаем 1 дес.
10 – 5 + 2 = 5 + 2 = 7
Пишу 7 под единицами.
После того как занимали, осталось 4 дес.
Пишу 4 под десятками.
Читаю ответ: разность чисел 52 и 5 равна 47.

43 + 14
Пишу десятки под десятками, а единицы под единицами.
Складываю единицы:
3 + 4 = 7
Пишу 7 под единицами.
Складываю десятки:
4 + 1 = 5
Пишу 5 под десятками.
Читаю ответ: сумма чисел 43 и 14 равна 57.

98 – 37
Пишу десятки под десятками, а единицы под единицами.
Вычитаю единицы:
8 − 7 = 1
Пишу 1 под единицами.
Вычитаю десятки:
9 − 3 = 6
Пишу 6 под десятками.
Читаю ответ: разность чисел 98 и 37 равна 61.

Шаг 2.
Оформляем задание в тетрадь
Пояснение к заданию 11
Конец страницы
Переход на другие страницы Содержание
Информация на этой странице была полезной?
0/5 (0 голосов)
Нашли ошибку на сайте? Помогите нам ее исправить!

С подпиской рекламы не будет

Подключите премиум подписку со скидкой в 40% за 149 ₽

Понравились решения?
Напишите свой комментарий.

Вам может быть интересно