Алгебра 8 класс учебник Мерзляк, Полонский ответы – номер 873

  • Тип: ГДЗ, Решебник.
  • Авторы: Мерзляк А. Г., Полонский В. Б., Якир М. С.
  • Часть: без частей.
  • Год: 2018-2024.
  • Серия: Школа России (ФГОС).
  • Издательство: Просвещение.
Отличается задание? Переключите год учебника.
Переключение года издания

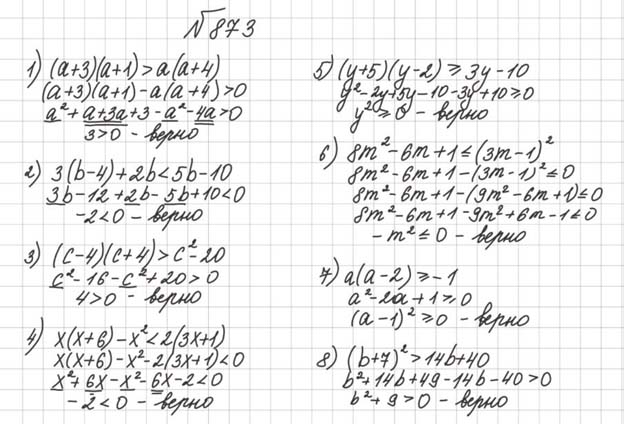
Номер 873.


Номер 873.

Докажите, что при любом значении переменной верно неравенство:

1) (a + 3)(a + 1) > a(a + 4);         5) (y + 5)(y – 2) ≥ 3y – 10;
2) 3(b – 4) + 2b < 5b – 10;        6) 8m2 – 6m + 1 ≤ (3m – 1)2;
3) (c – 4)(c + 4) > c2 – 20;        7) a(a – 2) ≥ – 1;
4) x(x + 6) – x2 < 2(3x + 1);       8) (b + 7)2 > 14b + 40.

Ответ:
Ответ к учебнику по алгебре 8 класс Мерзляк, Полонский, Якир номер 873
Конец страницы
Переход на другие страницы Содержание
Информация на этой странице была полезной?
0/5 (0 голосов)
Нашли ошибку на сайте? Помогите нам ее исправить!

С подпиской рекламы не будет

Подключите премиум подписку со скидкой в 40% за 149 ₽

Понравились решения?
Напишите свой комментарий.

Вам может быть интересно