Алгебра 8 класс учебник Мерзляк, Полонский ответы – номер 752

  • Тип: ГДЗ, Решебник.
  • Авторы: Мерзляк А. Г., Полонский В. Б., Якир М. С.
  • Часть: без частей.
  • Год: 2018-2024.
  • Серия: Школа России (ФГОС).
  • Издательство: Просвещение.
Отличается задание? Переключите год учебника.
Переключение года издания

Номер 752.


Номер 752.

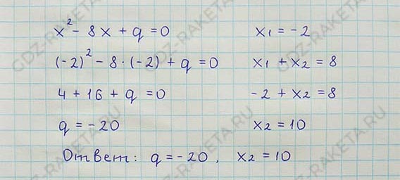
Число – 2 является корнем уравнения x2 – 8x + q = 0. Найдите значение q и второй корень уравнения.

Ответ:
Ответ к учебнику по алгебре 8 класс Мерзляк, Полонский, Якир номер 752
Конец страницы
Переход на другие страницы Содержание
Информация на этой странице была полезной?
0/5 (0 голосов)
Нашли ошибку на сайте? Помогите нам ее исправить!

С подпиской рекламы не будет

Подключите премиум подписку со скидкой в 40% за 149 ₽

Понравились решения?
Напишите свой комментарий.

Вам может быть интересно