Алгебра 8 класс учебник Мерзляк, Полонский ответы – номер 705

  • Тип: ГДЗ, Решебник.
  • Авторы: Мерзляк А. Г., Полонский В. Б., Якир М. С.
  • Часть: без частей.
  • Год: 2018-2024.
  • Серия: Школа России (ФГОС).
  • Издательство: Просвещение.
Отличается задание? Переключите год учебника.
Переключение года издания

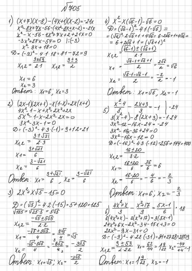
Номер 705.


Номер 705.

Решите уравнение:

1) (x + 7)(x – 8) – (4x + 1)(x – 2) = – 21x;
2) (2x – 1)(2x + 1) – x(1 – x) = 2x(x + 1);
3) 2x² + x$$\sqrt{5}$$ – 15 = 0;
4) x² – x($$\sqrt{6}$$ – 1) – $$\sqrt{6}$$ = 0;
5) x² – 4/82x + 3/3 = – 1;
6) 4x² + x/3x² + 17/9 = 5x – 1/6.

Ответ:
Ответ к учебнику по алгебре 8 класс Мерзляк, Полонский, Якир номер 705
Конец страницы
Переход на другие страницы Содержание
Информация на этой странице была полезной?
0/5 (0 голосов)
Нашли ошибку на сайте? Помогите нам ее исправить!

С подпиской рекламы не будет

Подключите премиум подписку со скидкой в 40% за 149 ₽

Понравились решения?
Напишите свой комментарий.

Вам может быть интересно