Алгебра 8 класс учебник Мерзляк, Полонский ответы – номер 69

  • Тип: ГДЗ, Решебник.
  • Авторы: Мерзляк А. Г., Полонский В. Б., Якир М. С.
  • Часть: без частей.
  • Год: 2018-2024.
  • Серия: Школа России (ФГОС).
  • Издательство: Просвещение.
Отличается задание? Переключите год учебника.
Переключение года издания

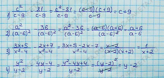
Номер 69.


Номер 69.

Упростите выражение:

1) с²/с – 981/с – 9; 2) a²/(a – 6)²36/(a – 6)²; 3) 3x + 5/x² – 42x + 7/x² – 4; 4) y²/y – 24y – 4/y – 2.

Ответ:

Ответ к учебнику по алгебре 8 класс Мерзляк, Полонский, Якир номер 69

Конец страницы
Переход на другие страницы Содержание
Информация на этой странице была полезной?
0/5 (0 голосов)
Нашли ошибку на сайте? Помогите нам ее исправить!

С подпиской рекламы не будет

Подключите премиум подписку со скидкой в 40% за 149 ₽

Понравились решения?
Напишите свой комментарий.

Вам может быть интересно