Алгебра 7 класс учебник Мерзляк, Полонский ответы – номер 398

  • Тип: ГДЗ, Решебник.
  • Авторы: Мерзляк А. Г., Полонский В. Б., Якир М. С.
  • Часть: без частей.
  • Год: 2018-2024.
  • Серия: Школа России (ФГОС).
  • Издательство: Просвещение.
Отличается задание? Переключите год учебника.
Переключение года издания

Номер 398.

Решите уравнение:

1) (2х − 3)(4х + 3) − 8x2 = 33; 2) (2x − 6)(8х + 5) + (3 − 4х)(3 + 4х) = 55; 3) 21x2 − (3х − 7)(7х − 3) = 37; 4) (х + 1)(х + 2) − (х − 3)(х + 4) = 12; 5) (−4х + 1)(х − 1) − х = (5 − 2х)(2х + 3) − 17.

Ответ:
Ответ к учебнику по алгебре 7 класс Мерзляк, Полонский, Якир номер 398

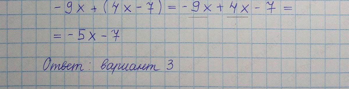
Номер 398.

Какому из данных выражений тождественно равно выражение −9х + (4х − 7):

1) 13х − 7; 2) −5х + 7; 3) −5х − 7; 4) 13х + 7.

Ответ:
Ответ к учебнику по алгебре 7 класс Мерзляк, Полонский, Якир номер 398 (2024)
Конец страницы
Переход на другие страницы Содержание
Информация на этой странице была полезной?
0/5 (0 голосов)
Нашли ошибку на сайте? Помогите нам ее исправить!

С подпиской рекламы не будет

Подключите премиум подписку со скидкой в 40% за 149 ₽

Понравились решения?
Напишите свой комментарий.

Вам может быть интересно