Алгебра 7 класс учебник Мерзляк, Полонский ответы – номер 208
- Тип: ГДЗ, Решебник.
- Авторы: Мерзляк А. Г., Полонский В. Б., Якир М. С.
- Часть: без частей.
- Год: 2018-2024.
- Серия: Школа России (ФГОС).
- Издательство: Просвещение.
Номер 208.
Представьте в виде степени частное:
1) a12 : a3; 2) b6 : b; 3) c7 : c6; 4) (a + b)8 : (a + b)4.
Ответ:
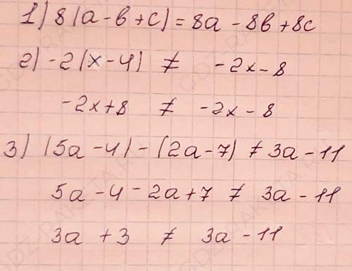
Номер 208.
Являются ли тождественно равными выражения:
С подпиской рекламы не будет
Подключите премиум подписку со скидкой в 40% за 149 ₽
Напишите свой комментарий.