Алгебра 7 класс учебник Макарычев, Миндюк ответы – номер 1048

  • Тип: ГДЗ, Решебник.
  • Авторы: Макарычев Ю.Н., Миндюк Н.Г., Нешков К.И.
  • Часть: без частей.
  • Год: 2019-2024.
  • Серия: Школа России (ФГОС).
  • Издательство: Просвещение.
Отличается задание? Переключите год учебника.
Переключение года издания

Номер 1048.

Постройте график уравнения:

а) 2x − y = 6; б) 1,5x + 2y = 3; в) x + 6y = 0; г) 0,5y − x = 1; д) 1,2x = −4,8; е) 1,5y = 6.

Ответ:
Ответ к учебнику по алгебре 7 класс Макарычев, Миндюк, Нешков, Суворова номер 1048

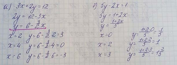
Номер 1048.

Выразите из данного уравнения переменную у через x.
Используя полученную формулу, найдите три каких-либо решения этого уравнения:
а) 3x + 2y = 12;
б) 5y – 2x = 1.

Ответ:
Алгебра 7 класс учебник Макарычев номер 1048
Конец страницы
Переход на другие страницы
Содержание
Информация на этой странице была полезной?
0/5 (0 голосов)
Нашли ошибку на сайте? Помогите нам ее исправить!

С подпиской рекламы не будет

Подключите премиум подписку со скидкой в 40% за 149 ₽

Понравились решения?
Напишите свой комментарий.

Вам может быть интересно