Математика 6 класс учебник Виленкин, Жохов 2 часть ответы – номер 4.219

  • Тип: ГДЗ, Решебник.
  • Авторы: Виленкин Н.Я., Жихов В.И., Чесноков А.С. и др.
  • Часть: 2.
  • Год: 2023-2024.
  • Серия: Школа России (ФГОС).
  • Издательство: Просвещение.

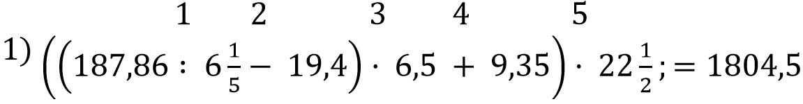
Номер 4.219.

Найдите значение выражения:

1) ((187,86 ∶ 61/5 - 19,4) · 6,5 + 9,35) · 221/2;
2) ((298,08 ∶ 71/5 - 32,9) · 6,4 + 26,1) · 323/5.

Ответ:
Математика 6 класс учебник Виленкин, Жохов - 2 часть Номер 4.219

1) 187,86 ∶ 61/5 = 187,86 ∶ 6,2 = 1878,6 ∶ 62 = 30,3; 2) 30,3 – 19,4 = 10,9; 3) 10,9 · 6,5 = 70,85; 4) 70,85 + 9,35 = 80,2; 5) 80,2 · 221/2 = 80,2 · 22,5 = 1804,5.

Математика 6 класс учебник Виленкин, Жохов - 2 часть Номер 4.219-1
Математика 6 класс учебник Виленкин, Жохов - 2 часть Номер 4.219-2

1) 298,08 ∶ 71/5 = 298,08 ∶ 7,2 = 2980,8 ∶ 72 = 41,4; 2) 41,4 – 32,9 = 8,5; 3) 8,5 · 6,4 = 54,4; 4) 54,4 + 26,1 = 80,5; 5) 80,5 · 323/5 = 80,5 · 326/10 = 80,5 · 32,6 = 2624,3.

Математика 6 класс учебник Виленкин, Жохов - 2 часть Номер 4.219-3
Конец страницы
Переход на другие страницы Содержание
Информация на этой странице была полезной?
0/5 (0 голосов)
Нашли ошибку на сайте? Помогите нам ее исправить!

С подпиской рекламы не будет

Подключите премиум подписку со скидкой в 40% за 149 ₽

Понравились решения?
Напишите свой комментарий.

Вам может быть интересно