Математика 6 класс учебник Виленкин, Жохов 1 часть ответы – номер 2.367

alt
  • Тип: ГДЗ, Решебник.
  • Авторы: Виленкин Н.Я., Жихов В.И., Чесноков А.С. и др.
  • Часть: 1.
  • Год: 2023-2024.
  • Серия: Школа России (ФГОС).
  • Издательство: Просвещение.

Номер 2.367.

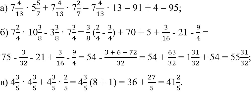
Выполните действия:

а) 7 4/13 · 5 5/7 + 7 4/13 · 7 2/7; б) 7 3/4 · 10 3/8 − 3 3/8 · 7 3/4; в) 4 3/5 · 4 3/5 + 4 3/5 · 2/5.

Ответ:

а) 7 4/13 · 5 5/7 + 7 4/13 · 7 2/7 = 7 4/13 · (5 5/7 + 7 2/7) = 7 4/13 · 12 7/7 = 95/13 · 13 = 95 · ̶1̶3̶/̶1̶3̶ = 95
б) 7 3/4 · 10 3/8 − 3 3/8 · 7 3/4 = 7 3/4 · (10 3/8 − 3 3/8) = 7 3/4 · 7 = 7 · 7 + 3/4 · 7 = 49 + 21/4 = 49 + 5 1/4 = 54 1/4
в) 4 3/5 · 4 3/5 + 4 3/5 · 2/5 = 4 3/5 · (4 3/5 + 2/5) = 4 3/5 · 4 5/5 = 4 3/5 · 5 = 4 · 5 + 3/5 · 5 = 20 + 3 · ̶5̶/̶5̶ = 20 + 3 = 23

Конец страницы
Переход на другие страницы Содержание
Информация на этой странице была полезной?
0/5 (0 голосов)
Нашли ошибку на сайте? Помогите нам ее исправить!

С подпиской рекламы не будет

Подключите премиум подписку со скидкой в 40% за 149 ₽

Понравились решения?
Напишите свой комментарий.