Математика 6 класс учебник Виленкин, Жохов 1 часть ответы – номер 2.366

alt
  • Тип: ГДЗ, Решебник.
  • Авторы: Виленкин Н.Я., Жихов В.И., Чесноков А.С. и др.
  • Часть: 1.
  • Год: 2023-2024.
  • Серия: Школа России (ФГОС).
  • Издательство: Просвещение.

Номер 2.366.

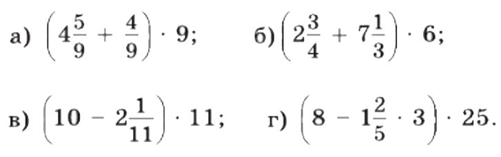
Найдите значение выражения:

а) (4 5/9 + 4/9) · 9; б) (2 3/4 + 7 1/3) · 6; в) (10 − 2 1/11) · 11; г) (8 − 1 2/5 · 3) · 25.

Ответ:

а) (4 5/9 + 4/9) · 9 = 4 9/9 · 9 = 5 · 9 = 45
б) (2 3⁽³/4 + 7 1⁽⁴/3) · 6 = (2 9/12 + 7 4/12) · 6 = 9 13/12 · 6 = 10 1/12 · 6 = 10 · 6 + 1 · ̶6̶¹/̶1̶2̶ ₂ = 60 + 1/2 = 60 1/2
в) (10 − 2 1/11) · 11 = (9 11/11 − 2 1/11) · 11 = 7 10/11 · 11 = 7 · 11 + 10 · ̶1̶1̶/̶1̶1̶ = 77 + 10 = 87
г) (8 − 1 2/5 · 3) · 25 = (8 − 7/5 · 3) · 25 = (8 − 7 · 3/5) · 25 = (8 − 21/5) · 25 = (7 5/5 − 4 1/5) · 25 = 3 4/5 · 25 = 19/5 · 25 = 19 · ̶2̶5̶⁵/̶5̶ ₁ = 19 · 5 = 95

Конец страницы
Переход на другие страницы Содержание
Информация на этой странице была полезной?
0/5 (0 голосов)
Нашли ошибку на сайте? Помогите нам ее исправить!

С подпиской рекламы не будет

Подключите премиум подписку со скидкой в 40% за 149 ₽

Понравились решения?
Напишите свой комментарий.

Вам может быть интересно