Математика 6 класс учебник Виленкин, Жохов 1 часть ответы – номер 2.212

alt
  • Тип: ГДЗ, Решебник.
  • Авторы: Виленкин Н.Я., Жихов В.И., Чесноков А.С. и др.
  • Часть: 1.
  • Год: 2023-2024.
  • Серия: Школа России (ФГОС).
  • Издательство: Просвещение.

Номер 2.212.

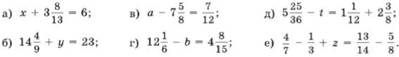
Найдите корень уравнения:

а) x + 3 8/13 = 6;        в) a − 7 5/8 = 7/12;        д) 5 25/36 − t = 1 1/12 + 2 3/8; б) 14 4/9 + y = 23;      г) 12 1/6 − b = 4 8/15;   е) 4/71/3 + z = 13/145/8.

Ответ:

а) x + 3 8/13 = 6 x = 6 − 3 8/13 x = 5 13/13 − 3 8/13 x = 2 5/13
Ответ: x = 2 5/13.
Проверка: 2 5/13 + 3 8/13 = 5 13/13 = 5 + 1 = 6 – верно.
б) 14 4/9 + y = 23 y = 23 − 14 4/9 y = 22 9/9 − 14 4/9 y = 8 5/9
Ответ: y = 8 5/9.
Проверка: 14 4/9 + 8 5/9 = 22 9/9 = 22 + 1 = 23 – верно.
в) a − 7 5/8 = 7/12 a = 7 5⁽³/8 + 7⁽²/12 a = 7 15/24 + 14/24 a = 7 29/24 a = 8 5/24
Ответ: a = 8 5/24.
Проверка: 8 5/24 − 7 5/8 = 7 29/24 − 7 15/24 = 14/24 = 7/12 – верно.
г) 12 1/6 − b = 4 8/15 b = 12 1⁽⁵/6 − 4 8⁽²/15 b = 12 5/30 − 4 16/30 b = 11 35/30 − 4 16/30 b = 7 19/30
Ответ: b = 7 19/30.
Проверка: 12 1/6 − 7 19/30 = 12 5/30 − 7 19/30 = 11 35/30 − 7 19/30 = 4 16/30 = 4 8/15 – верно.
д) 5 25/36 − t = 1 1⁽²/12 + 2 3⁽³/8 5 25/36 − t = 1 2/24 + 2 9/24 5 25/36 − t = 3 11/24 t = 5 25⁽²/36 − 3 11⁽³/24 t = 5 50/72 − 3 33/72 t = 2 17/72
Ответ: t = 2 17/72.
Проверка: 5 25⁽²/36 − 2 17/72 = 1 1⁽⁶/12 + 2 3⁽⁹/8 5 50/72 − 2 17/72 = 1 6/72 + 2 27/72 3 23/72 = 3 23/72 – верно.
е) 4⁽³/71⁽⁷/3 + z = 13⁽⁴/145⁽⁷/8 12/217/21 + z = 52/5635/56 5/21 + z = 17/56 z = 17⁽³/565⁽⁸/21 z = 51/16840/168 z = 11/168
Ответ: z = 11/168.
Проверка: 4⁽²⁴/71⁽⁵⁶/3 + 11/168 = 13⁽¹²/145⁽²¹/8 96/16856/168 + 11/168 = 156/168105/168 51/168 = 51/168 – верно.

Конец страницы
Переход на другие страницы Содержание
Информация на этой странице была полезной?
0/5 (0 голосов)
Нашли ошибку на сайте? Помогите нам ее исправить!

С подпиской рекламы не будет

Подключите премиум подписку со скидкой в 40% за 149 ₽

Понравились решения?
Напишите свой комментарий.

Вам может быть интересно