Математика 6 класс учебник Мерзляк, Полонский ответы – номер 354

  • Тип: ГДЗ, Решебник.
  • Автор: Мерзляк А. Г., Полонский В. Б., Якир М. С.
  • Год: 2024.
  • Издательство: Просвещение.
  • Серия: Школа России (ФГОС).
  • Издательство: Просвещение.

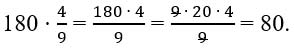
Номер 354.

Андрей прочитал 4/9 книги, в которой 180 страниц. Сколько страниц прочитал Андрей?

Ответ:

Математика 6 класс учебник Мерзляк номер 354
80 (стр.) – прочитал Андрей.
Ответ: 80 страниц.

Конец страницы
Переход на другие страницы Содержание
Информация на этой странице была полезной?
0/5 (0 голосов)
Нашли ошибку на сайте? Помогите нам ее исправить!

С подпиской рекламы не будет

Подключите премиум подписку со скидкой в 40% за 149 ₽

Понравились решения?
Напишите свой комментарий.

Вам может быть интересно