Математика 6 класс учебник Мерзляк, Полонский ответы – номер 1479

  • Тип: ГДЗ, Решебник.
  • Автор: Мерзляк А. Г., Полонский В. Б., Якир М. С.
  • Год: 2024.
  • Издательство: Просвещение.
  • Серия: Школа России (ФГОС).
  • Издательство: Просвещение.

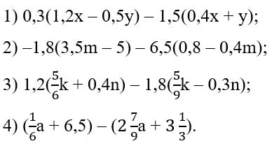
Номер 1479.

Упростите выражение:

Математика 6 класс учебник Мерзляк номер 1479
Ответ:
Математика 6 класс учебник Мерзляк номер 1479 продолжение
Конец страницы
Переход на другие страницы Содержание
Информация на этой странице была полезной?
0/5 (0 голосов)
Нашли ошибку на сайте? Помогите нам ее исправить!

С подпиской рекламы не будет

Подключите премиум подписку со скидкой в 40% за 149 ₽

Понравились решения?
Напишите свой комментарий.

Вам может быть интересно