Математика 6 класс учебник Мерзляк, Полонский ответы – номер 1472

  • Тип: ГДЗ, Решебник.
  • Автор: Мерзляк А. Г., Полонский В. Б., Якир М. С.
  • Год: 2024.
  • Издательство: Просвещение.
  • Серия: Школа России (ФГОС).
  • Издательство: Просвещение.

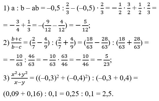
Номер 1472.

Найдите значение выражения:
1) a : b – ab, если a = –0,5, b = 2/3;
2) (b + c)/(b – c), если b = 2/7, c = –4/9;
3) (x2+y2)/(x – y), если x = –0,3, y = –0,4.

Ответ:
Математика 6 класс учебник Мерзляк номер 1472
Конец страницы
Переход на другие страницы Содержание
Информация на этой странице была полезной?
0/5 (0 голосов)
Нашли ошибку на сайте? Помогите нам ее исправить!

С подпиской рекламы не будет

Подключите премиум подписку со скидкой в 40% за 149 ₽

Понравились решения?
Напишите свой комментарий.

Вам может быть интересно