Математика 6 класс учебник Мерзляк, Полонский ответы – номер 1180

  • Тип: ГДЗ, Решебник.
  • Автор: Мерзляк А. Г., Полонский В. Б., Якир М. С.
  • Год: 2024.
  • Издательство: Просвещение.
  • Серия: Школа России (ФГОС).
  • Издательство: Просвещение.

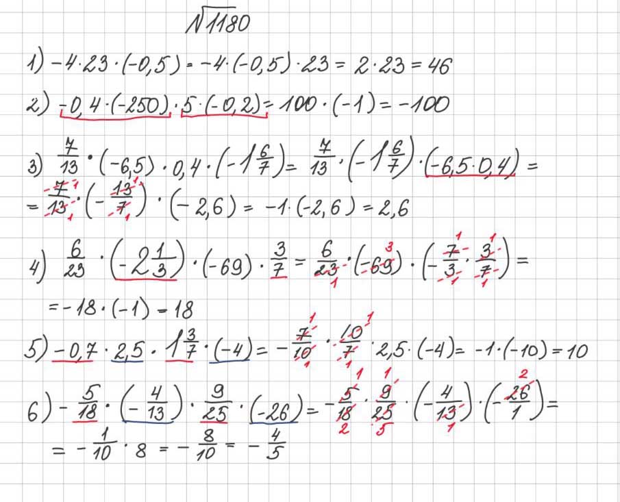
Номер 1180.

Вычислите наиболее удобным способом:

1) – 4 ∙ 23 ∙ (– 0,5);
2) – 0,4 ∙ (– 250) ∙ 5 ∙ (– 0,2);
3) 7/13 ∙ (– 6,5) ∙ 0,4 ∙ (– 16/7);
4) 6/23 ∙ (– 21/3) ∙ (– 69) ∙ 3/7;
5) – 0,7 ∙ 2,5 ∙ 13/7 ∙ (– 4);
6) – 5/18 ∙ (– 4/13) ∙ 9/25 ∙ (– 26).

Ответ:
Математика 6 класс учебник Мерзляк номер 1180
Конец страницы
Переход на другие страницы Содержание
Информация на этой странице была полезной?
0/5 (0 голосов)
Нашли ошибку на сайте? Помогите нам ее исправить!

С подпиской рекламы не будет

Подключите премиум подписку со скидкой в 40% за 149 ₽

Понравились решения?
Напишите свой комментарий.

Вам может быть интересно