Математика 6 класс учебник Мерзляк, Полонский ответы – номер 1119

  • Тип: ГДЗ, Решебник.
  • Автор: Мерзляк А. Г., Полонский В. Б., Якир М. С.
  • Год: 2024.
  • Издательство: Просвещение.
  • Серия: Школа России (ФГОС).
  • Издательство: Просвещение.

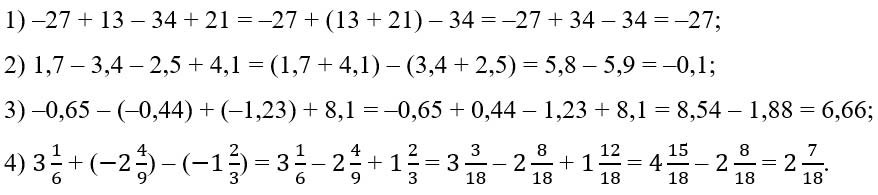
Номер 1119.

Найдите значение выражения:
1) –27 + 13 – 34 + 21;
2) 1,7 – 3,4 – 2,5 + 4,1;
3) –0,65 – (–0,44) + (–1,23) + 8,1;
4) 31/6 + (–24/9) – (–12/3).

Ответ:
Математика 6 класс учебник Мерзляк номер 1119
Конец страницы
Переход на другие страницы Содержание
Информация на этой странице была полезной?
0/5 (0 голосов)
Нашли ошибку на сайте? Помогите нам ее исправить!

С подпиской рекламы не будет

Подключите премиум подписку со скидкой в 40% за 149 ₽

Понравились решения?
Напишите свой комментарий.

Вам может быть интересно