Алгебра 7 класс учебник Мерзляк, Полонский ответы – номер 378

  • Тип: ГДЗ, Решебник.
  • Авторы: Мерзляк А. Г., Полонский В. Б., Якир М. С.
  • Часть: без частей.
  • Год: 2018-2024.
  • Серия: Школа России (ФГОС).
  • Издательство: Просвещение.
Отличается задание? Переключите год учебника.
Переключение года издания
Страница 69 из учебника по алгебре 7 класс Мерзляк, Полонский, Якир

Номер 378.

Длина прямоугольника в 3 раза больше его ширины. Если ширину прямоугольника уменьшить на 6 см, то его площадь уменьшится на 144 см2. Найдите исходную ширину прямоугольника.

Ответ:
Ответ к учебнику по алгебре 7 класс Мерзляк, Полонский, Якир номер 378

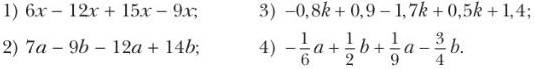
Номер 378.

Упростите выражение:

Ответ к учебнику по алгебре 7 класс Мерзляк, Полонский, Якир номер 378 (2024)
Ответ:
Ответ к учебнику по алгебре 7 класс Мерзляк, Полонский, Якир номер 378 (2024)
Конец страницы
Переход на другие страницы Содержание
Информация на этой странице была полезной?
0/5 (0 голосов)
Нашли ошибку на сайте? Помогите нам ее исправить!

С подпиской рекламы не будет

Подключите премиум подписку со скидкой в 40% за 149 ₽

Понравились решения?
Напишите свой комментарий.