Алгебра 7 класс учебник Мерзляк, Полонский ответы – номер 359

  • Тип: ГДЗ, Решебник.
  • Авторы: Мерзляк А. Г., Полонский В. Б., Якир М. С.
  • Часть: без частей.
  • Год: 2018-2024.
  • Серия: Школа России (ФГОС).
  • Издательство: Просвещение.
Отличается задание? Переключите год учебника.
Переключение года издания
Страница 67 из учебника по алгебре 7 класс Мерзляк, Полонский, Якир

Номер 359.

Упростите выражение и найдите его значение:

1) 3x(2x − 5) − 8x(4x − 3), если х = −1; 2) 2х(14х2 − х + 5) + 4х(2,5 + 3х − 7х2), если х = 7; 3) 8аb(a2 − 2b2) − 7a(a2b − 3b2), если а = −3, b = 2.

Ответ:
Ответ к учебнику по алгебре 7 класс Мерзляк, Полонский, Якир номер 358

Номер 359.

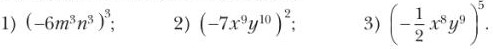
Выполните возведение в степень:

Ответ к учебнику по алгебре 7 класс Мерзляк, Полонский, Якир номер 359 (2024)
Ответ:

1) (–6m3n3)3 = (–6)3m9n9 = –216m9n9;
2) (–7x9y10)2 = (– 7)2x18y20 = 49x18y20;
3) (–1/2х8у9)5 = (–1/2)5х40у45 = –1/32х40у45.

Конец страницы
Переход на другие страницы Содержание
Информация на этой странице была полезной?
0/5 (0 голосов)
Нашли ошибку на сайте? Помогите нам ее исправить!

С подпиской рекламы не будет

Подключите премиум подписку со скидкой в 40% за 149 ₽

Понравились решения?
Напишите свой комментарий.