Алгебра 7 класс учебник Мерзляк, Полонский ответы – номер 356

  • Тип: ГДЗ, Решебник.
  • Авторы: Мерзляк А. Г., Полонский В. Б., Якир М. С.
  • Часть: без частей.
  • Год: 2018-2024.
  • Серия: Школа России (ФГОС).
  • Издательство: Просвещение.
Отличается задание? Переключите год учебника.
Переключение года издания
Страница 67 из учебника по алгебре 7 класс Мерзляк, Полонский, Якир

Номер 356.

Выполните умножение:

1) 3х(4х2 − х); 2) −5a(a2 − 6a − 3); 3) (8b2 − 10b + 2) ∙ 0,5b; 4) x3(x5 − x2 + 7x − 1); 5) −2c2d2(4c2 − c3d + 5d4); 6) (5m3n − 8mn2 − 2n6) ∙ (−4m2n8).

Ответ:
Ответ к учебнику по алгебре 7 класс Мерзляк, Полонский, Якир номер 356

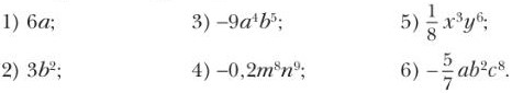
Номер 356.

Возведите в квадрат одночлен:

Ответ к учебнику по алгебре 7 класс Мерзляк, Полонский, Якир номер 356 (2024)
Ответ:

1) (6a)2 = 6a · 6a = 36a2;
2) (3b2)2 = 3b2 · 3b2 = 9b4;
3) (– 9a4b5)2 = –9a4b5 · (–9a4b5) = 81a8b10;
4) (–0,2m8n9)2 = –0,2m8n9 · (–0,2m8n9) = 0,04m16n18;
5) (1/8х3у6)2 = 1/8х3у6 · 1/8х3у6 = 1/64х6у12;
6) (–5/7ab2c8)2 = (–5/7ab2c8) · (–5/7ab2c8) = 25/49a2b4c16.

Конец страницы
Переход на другие страницы Содержание
Информация на этой странице была полезной?
0/5 (0 голосов)
Нашли ошибку на сайте? Помогите нам ее исправить!

С подпиской рекламы не будет

Подключите премиум подписку со скидкой в 40% за 149 ₽

Понравились решения?
Напишите свой комментарий.