Алгебра 7 класс учебник Мерзляк, Полонский ответы – номер 351

  • Тип: ГДЗ, Решебник.
  • Авторы: Мерзляк А. Г., Полонский В. Б., Якир М. С.
  • Часть: без частей.
  • Год: 2018-2024.
  • Серия: Школа России (ФГОС).
  • Издательство: Просвещение.
Отличается задание? Переключите год учебника.
Переключение года издания
Страница 64 из учебника по алгебре 7 класс Мерзляк, Полонский, Якир

Номер 351.

Найдите значение выражения, используя распределительное свойство умножения:

1) 12 ∙ (1/41/6); 2) 36 ∙ (17/185/12 + 4/9); 3) (5/7 + 5/14) ∙ 28/25.

Ответ:
Ответ к учебнику по алгебре 7 класс Мерзляк, Полонский, Якир номер 351

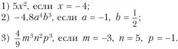
Номер 351.

Найдите значение одночлена:

Ответ к учебнику по алгебре 7 класс Мерзляк, Полонский, Якир номер 351 (2024)
Ответ:
Ответ к учебнику по алгебре 7 класс Мерзляк, Полонский, Якир номер 351 (2024)
Конец страницы
Переход на другие страницы Содержание
Информация на этой странице была полезной?
0/5 (0 голосов)
Нашли ошибку на сайте? Помогите нам ее исправить!

С подпиской рекламы не будет

Подключите премиум подписку со скидкой в 40% за 149 ₽

Понравились решения?
Напишите свой комментарий.