Алгебра 7 класс учебник Мерзляк, Полонский ответы – номер 112

  • Тип: ГДЗ, Решебник.
  • Авторы: Мерзляк А. Г., Полонский В. Б., Якир М. С.
  • Часть: без частей.
  • Год: 2018-2024.
  • Серия: Школа России (ФГОС).
  • Издательство: Просвещение.
Отличается задание? Переключите год учебника.
Переключение года издания
Страница 23 из учебника по алгебре 7 класс Мерзляк, Полонский, Якир

Номер 112.

В двух ящиках было 55 кг печенья. Когда из первого ящика переложили во второй 1/3 массы находившегося в нем печенья, то в первом ящике осталось на 5 кг больше печенья, чем стало во втором. Сколько килограммов печенья было в каждом ящике сначала?

Ответ:
Ответ к учебнику по алгебре 7 класс Мерзляк, Полонский, Якир номер 112

Номер 112.

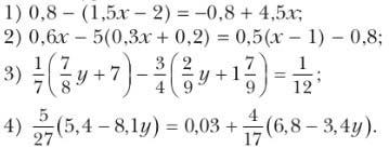
Решите уравнение:

Ответ к учебнику по алгебре 7 класс Мерзляк, Полонский, Якир номер 112 (2024)
Ответ:

1) 0,8 – (1,5x – 2) = −0,8 + 4,5x;
0,8 – 1,5x + 2 = −0,8 + 4,5x;
−1,5x – 4,5x = −0,8 – 2 – 0,8;
−6x = −3,6;
x = 0,6;
Ответ: 0,6;

2) 0,6x – 5(0,3x + 0,2) = 0,5(x – 1) – 0,8;
0,6x – 1,5x – 1 = 0,5x – 0,5 – 0,8;
−0,9x – 0,5x = −1,3 + 1;
−1,4x = −0,3;
14x = 3;
x = 3/14;
Ответ: 3/14;

3) 1/7(7/8y + 7) − 3/4(2/9y + 17/9) = 1/12;
1/77/8y + 1/7 ∙ 7 − 3/42/9y − 3/416/9 = 1/12;
1/8y + 1 – 1/6y − 4/3 = 1/12;
1/8y − 1/6y = 1/12 + 1/3;
(3 − 4)/24y = (1 + 4)/12;
1/24y = 5/12;
y = 5/12 ∶ (−1/24);
х = −5/1224/1;
х= −10;
Ответ: −10;

4) 5/27(5,4 − 8,1y) = 0,03 + 4/17(6,8 − 3,4y);
5/2754/105/2781/10y = 0,03 + 4/1768/104/1734/10y;
1 – 1,5y = 0,03 + 1,6 – 0,8y;
−1,5y + 0,8y = 1,63 – 1;
−0,7y = 0,63;
y = −0,9;
Ответ: −0,9.

Конец страницы
Переход на другие страницы Содержание
Информация на этой странице была полезной?
0/5 (0 голосов)
Нашли ошибку на сайте? Помогите нам ее исправить!

С подпиской рекламы не будет

Подключите премиум подписку со скидкой в 40% за 149 ₽

Понравились решения?
Напишите свой комментарий.