Алгебра 7 класс учебник Макарычев, Миндюк ответы – номер 981

  • Тип: ГДЗ, Решебник.
  • Авторы: Макарычев Ю.Н., Миндюк Н.Г., Нешков К.И.
  • Часть: без частей.
  • Год: 2019-2024.
  • Серия: Школа России (ФГОС).
  • Издательство: Просвещение.
Отличается задание? Переключите год учебника.
Переключение года издания

Номер 981.

Представьте в виде произведения:

а) x10 − 1; б) y12 − 16; в) a2x8 − 81; г) 36 − b4y6; д) 25p4q4 − 1; е) −9 + 121m8n8; ж) 0,01x16 − 0,16; з) 1.69y16 − 1,21; и)

Ответ:
Ответ к учебнику по алгебре 7 класс Макарычев, Миндюк, Нешков, Суворова номер 981

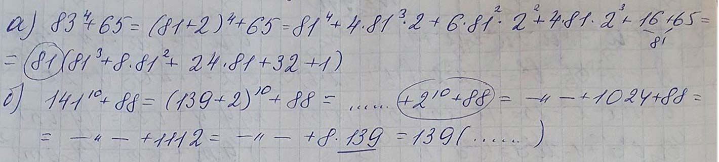
Номер 981.

Докажите, что значение выражения:

а) 834 + 65 кратно 81;
б) 14110 + 88 кратно 139.

Ответ:
Алгебра 7 класс учебник Макарычев номер 981 ответ
Конец страницы
Переход на другие страницы
Содержание
Информация на этой странице была полезной?
0/5 (0 голосов)
Нашли ошибку на сайте? Помогите нам ее исправить!

С подпиской рекламы не будет

Подключите премиум подписку со скидкой в 40% за 149 ₽

Понравились решения?
Напишите свой комментарий.

Вам может быть интересно