Алгебра 7 класс учебник Макарычев, Миндюк ответы – номер 960

  • Тип: ГДЗ, Решебник.
  • Авторы: Макарычев Ю.Н., Миндюк Н.Г., Нешков К.И.
  • Часть: без частей.
  • Год: 2019-2024.
  • Серия: Школа России (ФГОС).
  • Издательство: Просвещение.
Отличается задание? Переключите год учебника.
Переключение года издания

Номер 960.

Используя формулу четвёртой степени двучлена, преобразуйте выражение:

а) (a2 + 2b)4; б) (a3 − b)4.

Ответ:
Ответ к учебнику по алгебре 7 класс Макарычев, Миндюк, Нешков, Суворова номер 960

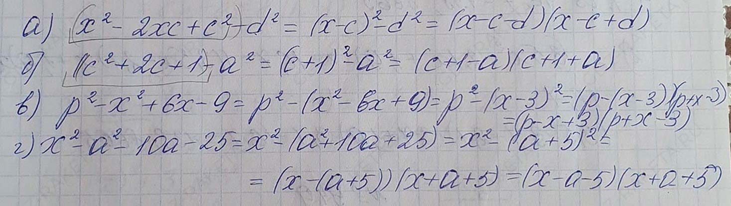
Номер 960.

Выполните разложение на множители:

а) x2 − 2xc + c2 − d2;
б) c2 + 2c + 1 − a2;
в) p2 − x2 + 6x − 9;
г) x2 − a2 − 10a − 25.

Ответ:
Алгебра 7 класс учебник Макарычев номер 960 ответ
Конец страницы
Переход на другие страницы
Содержание
Информация на этой странице была полезной?
0/5 (0 голосов)
Нашли ошибку на сайте? Помогите нам ее исправить!

С подпиской рекламы не будет

Подключите премиум подписку со скидкой в 40% за 149 ₽

Понравились решения?
Напишите свой комментарий.