Алгебра 7 класс учебник Макарычев, Миндюк ответы – номер 514

  • Тип: ГДЗ, Решебник.
  • Авторы: Макарычев Ю.Н., Миндюк Н.Г., Нешков К.И.
  • Часть: без частей.
  • Год: 2019-2024.
  • Серия: Школа России (ФГОС).
  • Издательство: Просвещение.
Отличается задание? Переключите год учебника.
Переключение года издания

Номер 514.

Представьте число в виде степени с основанием 2 или 3:

а) 64. б) 81. в) 512. г) 729. д) 1024.

Ответ:
Ответ к учебнику по алгебре 7 класс Макарычев, Миндюк, Нешков, Суворова номер 514

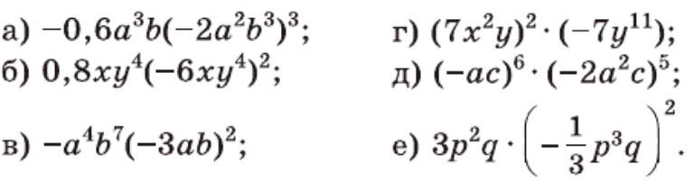
Номер 514.

Упростите выражение:

Алгебра 7 класс учебник Макарычев номер 514
Ответ:
Алгебра 7 класс учебник Макарычев номер 514 ответ
Конец страницы
Переход на другие страницы
Содержание
Информация на этой странице была полезной?
0/5 (0 голосов)
Нашли ошибку на сайте? Помогите нам ее исправить!

С подпиской рекламы не будет

Подключите премиум подписку со скидкой в 40% за 149 ₽

Понравились решения?
Напишите свой комментарий.

Вам может быть интересно