Алгебра 7 класс учебник Макарычев, Миндюк ответы – номер 448

  • Тип: ГДЗ, Решебник.
  • Авторы: Макарычев Ю.Н., Миндюк Н.Г., Нешков К.И.
  • Часть: без частей.
  • Год: 2019-2024.
  • Серия: Школа России (ФГОС).
  • Издательство: Просвещение.
Отличается задание? Переключите год учебника.
Переключение года издания

Номер 448.

Запишите в виде степени с основанием а выражение:

а) (а2)4; б) a3 · (a3)2; в) (a5)2 · (a2)2; г) (а3)3 · (а3)3; д) (а3m3)2; е) (аа6)3.

Ответ:
Ответ к учебнику по алгебре 7 класс Макарычев, Миндюк, Нешков, Суворова номер 448

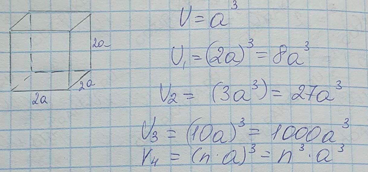
Номер 448.

Как изменится объём куба, если его ребро увеличить в 2 раза; в 3 раза; в 10 раз; в n раз?

Ответ:
Алгебра 7 класс учебник Макарычев номер 448 ответ
Конец страницы
Переход на другие страницы
Содержание
Информация на этой странице была полезной?
0/5 (0 голосов)
Нашли ошибку на сайте? Помогите нам ее исправить!

С подпиской рекламы не будет

Подключите премиум подписку со скидкой в 40% за 149 ₽

Понравились решения?
Напишите свой комментарий.

Вам может быть интересно