Алгебра 7 класс учебник Макарычев, Миндюк ответы – номер 185

  • Тип: ГДЗ, Решебник.
  • Авторы: Макарычев Ю.Н., Миндюк Н.Г., Нешков К.И.
  • Часть: без частей.
  • Год: 2019-2024.
  • Серия: Школа России (ФГОС).
  • Издательство: Просвещение.
Отличается задание? Переключите год учебника.
Переключение года издания

Номер 185.

Книгу в 296 страниц ученик прочитал за три дня. Во второй день он прочитал на 20% больше, чем в первый, а в третий - на 24 страницы больше, чем во второй. Сколько страниц прочитал ученик в первый день?

Ответ:
Ответ к учебнику по алгебре 7 класс Макарычев, Миндюк, Нешков, Суворова номер 185

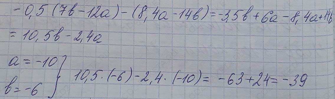
Номер 185.

Найдите значение выражения -0,5 (7b - 12a) - (8,4a - 14b) при а = -10, b = -6.

Ответ:
Алгебра 7 класс Учебник Макарычев номер 185-ответ
Конец страницы
Переход на другие страницы
Содержание
Информация на этой странице была полезной?
0/5 (0 голосов)
Нашли ошибку на сайте? Помогите нам ее исправить!

С подпиской рекламы не будет

Подключите премиум подписку со скидкой в 40% за 149 ₽

Понравились решения?
Напишите свой комментарий.

Вам может быть интересно