Алгебра 7 класс учебник Макарычев, Миндюк ответы – номер 1229

  • Тип: ГДЗ, Решебник.
  • Авторы: Макарычев Ю.Н., Миндюк Н.Г., Нешков К.И.
  • Часть: без частей.
  • Год: 2019-2024.
  • Серия: Школа России (ФГОС).
  • Издательство: Просвещение.
Отличается задание? Переключите год учебника.
Переключение года издания

Номер 1229.

Всадник и пешеход одновременно отправились из пункта А в пункт В. Всадник, прибыв в пункт В на 50 мин раньше пешехода, возвратился обратно в пункт А. На обратном пути он встретился с пешеходом в двух километрах от пункта В. На весь путь всадник затратил 1 ч 40 мин. Найдите расстояние от А до В и скорость всадника и пешехода.

Ответ:
Ответ к учебнику по алгебре 7 класс Макарычев, Миндюк, Нешков, Суворова номер 1229

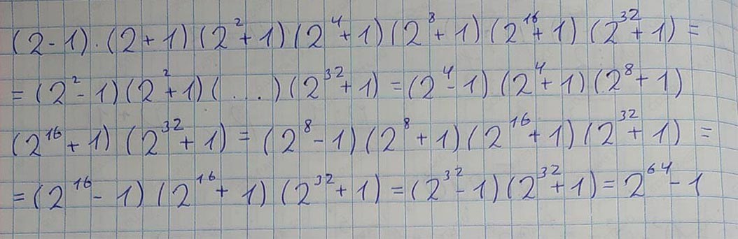
Номер 1229.

Упростите выражение
(2 + 1)(2² + 1)(24 + 1)(28 + 1)(216 + 1)(232 + 1).

Ответ:
Алгебра 7 класс Учебник Макарычев номер 1229-ответ
Конец страницы
Переход на другие страницы
Содержание
Информация на этой странице была полезной?
0/5 (0 голосов)
Нашли ошибку на сайте? Помогите нам ее исправить!

С подпиской рекламы не будет

Подключите премиум подписку со скидкой в 40% за 149 ₽

Понравились решения?
Напишите свой комментарий.

Вам может быть интересно