Алгебра 7 класс учебник Макарычев, Миндюк ответы – номер 1117

  • Тип: ГДЗ, Решебник.
  • Авторы: Макарычев Ю.Н., Миндюк Н.Г., Нешков К.И.
  • Часть: без частей.
  • Год: 2019-2024.
  • Серия: Школа России (ФГОС).
  • Издательство: Просвещение.
Отличается задание? Переключите год учебника.
Переключение года издания

Номер 1117.

Под озимыми культурами было занято на 480 га больше, чем под яровыми. После того как убрали 80% озимых и 25% яровых культур, площадь оставшаяся под озимыми, оказалась на 300 на меньше, чем площадь под яровыми. Какая площадь была отведена под яровые и какая под озимые культуры?

Ответ:
Ответ к учебнику по алгебре 7 класс Макарычев, Миндюк, Нешков, Суворова номер 1117

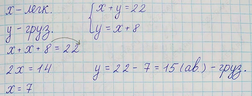
Номер 1117.

В мастерской «Автосервис» отремонтировали 22 легковых и грузовых автомобиля. Среди них легковых было на 8 меньше, чем грузовых. Сколько грузовых автомобилей отремонтировали в мастерской?

Ответ:
Алгебра 7 класс Учебник Макарычев номер 1117-ответ
Конец страницы
Переход на другие страницы
Содержание
Информация на этой странице была полезной?
0/5 (0 голосов)
Нашли ошибку на сайте? Помогите нам ее исправить!

С подпиской рекламы не будет

Подключите премиум подписку со скидкой в 40% за 149 ₽

Понравились решения?
Напишите свой комментарий.

Вам может быть интересно