Алгебра 7 класс учебник Макарычев, Миндюк ответы – номер 1088

  • Тип: ГДЗ, Решебник.
  • Авторы: Макарычев Ю.Н., Миндюк Н.Г., Нешков К.И.
  • Часть: без частей.
  • Год: 2019-2024.
  • Серия: Школа России (ФГОС).
  • Издательство: Просвещение.
Отличается задание? Переключите год учебника.
Переключение года издания

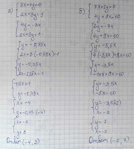
Номер 1088.

График линейной функции пересекает оси координат в точках (−5; 0) и (0; 11). Задайте эту функцию.

Ответ:
Ответ к учебнику по алгебре 7 класс Макарычев, Миндюк, Нешков, Суворова номер 1088

Номер 1088.

Алгебра 7 класс учебник Макарычев номер 1088
Ответ:
Алгебра 7 класс учебник Макарычев номер 1088-2
Алгебра 7 класс учебник Макарычев номер 1088-3
Конец страницы
Переход на другие страницы
Содержание
Информация на этой странице была полезной?
0/5 (0 голосов)
Нашли ошибку на сайте? Помогите нам ее исправить!

С подпиской рекламы не будет

Подключите премиум подписку со скидкой в 40% за 149 ₽

Понравились решения?
Напишите свой комментарий.

Вам может быть интересно