Алгебра 7 класс учебник Макарычев, Миндюк ответы – номер 1073

  • Тип: ГДЗ, Решебник.
  • Авторы: Макарычев Ю.Н., Миндюк Н.Г., Нешков К.И.
  • Часть: без частей.
  • Год: 2019-2024.
  • Серия: Школа России (ФГОС).
  • Издательство: Просвещение.
Отличается задание? Переключите год учебника.
Переключение года издания

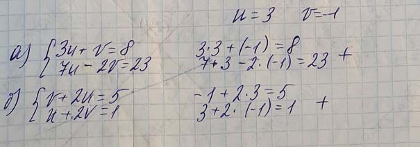
Номер 1073.

Не выполняя построения, найдите координаты точки пересечения графиков уравнений:

а) 7x + 4y = 23 и 8x − 10y = 19; б) 11x − 6y = 2 и −8x + 5y = 3.

Ответ:
Ответ к учебнику по алгебре 7 класс Макарычев, Миндюк, Нешков, Суворова номер 1073

Номер 1073.

Алгебра 7 класс учебник Макарычев номер 1073-2
Ответ:
Алгебра 7 класс учебник Макарычев номер 1073
Конец страницы
Переход на другие страницы
Содержание
Информация на этой странице была полезной?
0/5 (0 голосов)
Нашли ошибку на сайте? Помогите нам ее исправить!

С подпиской рекламы не будет

Подключите премиум подписку со скидкой в 40% за 149 ₽

Понравились решения?
Напишите свой комментарий.

Вам может быть интересно