Алгебра 7 класс учебник Макарычев, Миндюк ответы – номер 1038

  • Тип: ГДЗ, Решебник.
  • Авторы: Макарычев Ю.Н., Миндюк Н.Г., Нешков К.И.
  • Часть: без частей.
  • Год: 2019-2024.
  • Серия: Школа России (ФГОС).
  • Издательство: Просвещение.
Отличается задание? Переключите год учебника.
Переключение года издания

Номер 1038.

Хозяйка купила глубокие и мелкие тарелки, уплатив за покупку 320 р. Глубокая тарелка стоит 35 р., а мелкая тарелка стоит 30 р. Сколько глубоких и сколько мелких тарелок купила хозяйка?

Ответ:
Ответ к учебнику по алгебре 7 класс Макарычев, Миндюк, Нешков, Суворова номер 1038

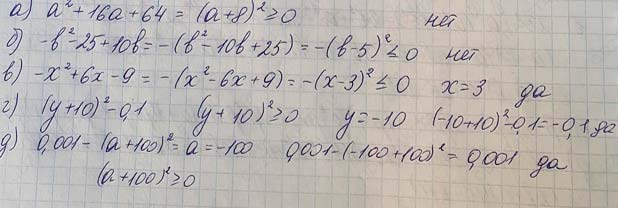
Номер 1038.

Может ли выражение:
а) а² + 16а + 64 принимать отрицательные значения;
б) -b² - 25 + 10b принимать положительные значения;
в) -x² + 6x – 9 принимать неотрицательные значения;
г) (у+10)² - 0,1 принимать отрицательные значения;
д) 0,001 – (а+100)² принимать положительные значения?

Ответ:
Алгебра 7 класс учебник Макарычев номер 1038
Конец страницы
Переход на другие страницы
Содержание
Информация на этой странице была полезной?
0/5 (0 голосов)
Нашли ошибку на сайте? Помогите нам ее исправить!

С подпиской рекламы не будет

Подключите премиум подписку со скидкой в 40% за 149 ₽

Понравились решения?
Напишите свой комментарий.

Вам может быть интересно